在matlab中画图包含以下三个步骤:
(1)定义·函数
(2)指定要绘制的函数图形的值的范围
(3)利用matlab的plot(x,y)函数
当指定函数在某一范围时,我们利用matlab函数的变量增量,使用较少的增量可以使图像更加平滑。
我们在绘制0<x<10的函数y=sin(x)
例1:
x=[0:0.1:10]
y=sin(x)
plot(x,y)
输出:

例2:画出y=e.^2t*sint在[0.5]之间的范围
t=[0:0.01:5]
y=exp(2.*t).*sin(t)
plot(t,y)
输出:

1.2 坐标轴命令
例:
x=[-6:0.1:6]
y=sin(x)
plot(x,y),grid on,axis equal
输出:

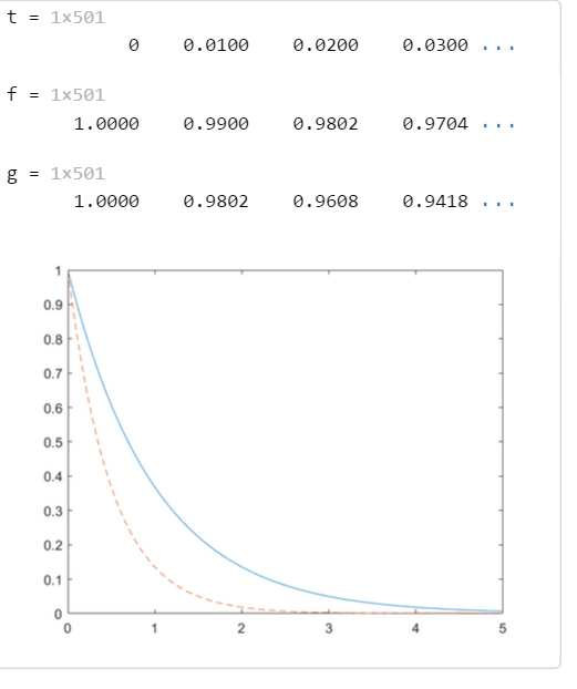
1.3在同一个图像中显示多个函数
例:绘制函数f(x)=e.^(-t)和g(x)=e.^(-2t)
t=[0:0.1:5]
f=exp(-t)
g(x)=exp(-2.*t)
输出:

注:在matlab中可以用4种基本线条风格,他们放在plot函数中表示线条风格字符串
1.实线:'-’
2.虚线:'--’
3.虚点线:'-.'
4。点线:':’
·例:
x=[-5:0.01:5]
y=sinh(x)
z=cosh(x)
plot(x,y,'r',x,z,'b')
输出:

matlab颜色选择分类:
白 | 黑 | 蓝 | 红 | 青 | 绿 | 洋红 | 蓝 | |
| w | k | b | r | c | g | m | y |
例: 画出matlab小心心
代码:
LoveFunc
LoveFunchdl=@(x,a)(x.^2).^(1/3)+0.9.*((3.3-x.^2).^(1/2)).*sin(a.*pi.*x);
hold on
grid on
axis([-3 3,-2 4])
x=-1.8:0.005:1.8;
text(0,3.3,'$f(x)=x^{\frac{2}{3}}+0.9(3.3-x^2)^{\frac{1}{2}}\sin(\alpha\pi x)$',...
'FontSize',13,'HorizontalAlignment','center','Interpreter','latex');
txt2=text(-0.35,2.9,'','FontSize',13,'HorizontalAlignment','left','Interpreter','latex','tag','alphadata');
for a=1:0.01:20
delete(findobj('type','line'))
AlphaString=['$\alpha=',num2str(a),'$'];
Color=([1.0000 0.4902 0.6627]-[0.2118 0.4667 0.9961]).*(a/20)+[0.2118 0.4667 0.9961];
set(txt2,'string',AlphaString)
plot(x,LoveFunchdl(x,a),'color',Color,'LineWidth',1.2);
pause(0.003)
end
输出图形: