如有错误,恳请指出。
文章目录
对于学习率的调整一直是个比较困难的问题, 在yolov5中提供了两种学习率的调整方式,一种是线性调整,另外一种就是One Cycle Policy。而在查找资料的过程中,了解到了其他的学习率调整策略,这里一并归纳到这篇笔记中。
其中包括:LR Range Test、Cyclical LR、One Cycle Policy、SGDR、AdamW 、SGDW、pytorch实现的余弦退火策略。具体的学习率调整策略,详细见参考资料。
0. Yolov5的学习率调整方案
yolov5代码中提供了两种学习率调整方案:线性学习率与One Cycle学习率调整
代码比较简单,如下所示:
# Scheduler
if opt.linear_lr:
lf = lambda x: (1 - x / (epochs - 1)) * (1.0 - hyp['lrf']) + hyp['lrf'] # linear
else:
lf = one_cycle(1, hyp['lrf'], epochs) # cosine 1->hyp['lrf']
scheduler = lr_scheduler.LambdaLR(optimizer, lr_lambda=lf) # plot_lr_scheduler(optimizer, scheduler, epochs)
配合辅助绘制函数plot_lr_scheduler,这里可以将两种学习率调整策略的学习率随epochs变化绘制出来,这里我重新写了一个函数比较方便调用lf。
参考代码:
def plot_lr_scheduler(optimizer, scheduler, epochs=300, save_dir=''):
# Plot LR simulating training for full epochs
optimizer, scheduler = copy(optimizer), copy(scheduler) # do not modify originals
y = []
for _ in range(epochs):
scheduler.step()
y.append(optimizer.param_groups[0]['lr'])
plt.plot(y, '.-', label='LR')
plt.xlabel('epoch')
plt.ylabel('LR')
plt.grid()
plt.xlim(0, epochs)
plt.ylim(0)
plt.savefig(Path(save_dir) / 'LR.png', dpi=200)
plt.close()
# 功能: 绘制在学习率调整方法lr下, 学习率随epoch的曲线
def plot_lr(lf, epochs=30):
# load model
weight = r"./runs/train/mask/weights/last.pt"
device = torch.device('cpu')
ckpt = torch.load(weight, map_location=device)
model = Model(ckpt['model'].yaml, ch=3, nc=3, anchors=None).to(device)
model.load_state_dict(ckpt['model'].state_dict())
# optimizer
g0, g1, g2 = [], [], [] # optimizer parameter groups
for v in model.modules():
if hasattr(v, 'bias') and isinstance(v.bias, nn.Parameter): # bias
g2.append(v.bias)
if isinstance(v, nn.BatchNorm2d): # weight (no decay)
g0.append(v.weight)
elif hasattr(v, 'weight') and isinstance(v.weight, nn.Parameter): # weight (with decay)
g1.append(v.weight)
optimizer = SGD(g0, lr=0.01, momentum=0.937, nesterov=True)
optimizer.add_param_group({'params': g1, 'weight_decay': 0.0005}) # add g1 with weight_decay
optimizer.add_param_group({'params': g2}) # add g2 (biases)
scheduler = lr_scheduler.LambdaLR(optimizer, lr_lambda=lf)
plot_lr_scheduler(optimizer, scheduler, epochs, save_dir='./runs/test')
print('plot successes')
下面利用以上函数分别查看线性学习率与One Cycle的学习率变化曲线
- 线性学习率变化曲线
绘制曲线代码:
if __name__ == '__main__':
epochs = 30
lrf = 0.1
lf = lambda x: (1 - x / (epochs - 1)) * (1.0 - lrf) + lrf
plot_lr(lf, epochs)
学习率曲线图:
- OneCycle学习率变化曲线
绘制曲线代码:
def one_cycle(y1=0.0, y2=1.0, steps=100):
# lambda function for sinusoidal ramp from y1 to y2 https://arxiv.org/pdf/1812.01187.pdf
return lambda x: ((1 - math.cos(x * math.pi / steps)) / 2) * (y2 - y1) + y1
if __name__ == '__main__':
epochs = 30
lf = one_cycle(1, 0.1, 30) # cosine 1->hyp['lrf']
plot_lr(lf, epochs)
学习率曲线图:
分析:One Cycle的学习率变化过程是从lr0=0.01呈余弦变化衰退到lr0*lrf = 0.01*0.1 = 0.001上。在了解完下诉的one cycle,就可以侧面从yolov5的学习率变化曲线可出,其不完全是按照One Cycle Policy图像来设置的,更偏向于普通的余弦退火策略。
下面的内容就是对各种学习率调整方法进行理论分析介绍与归纳。
1. LR Range Test
2015年,Leslie N. Smith提出了该技术。其核心是将模型进行几次迭代,在最初的时候,将学习率设置的足够小,然后,随着迭代次数的增加,逐渐增加学习率,记录下每个学习率对应的损失,并绘图:(LR 的初始值仅为 1e-7,然后增加到 10)

LR Range Test 图应该包括三个区域,第一个区域中学习率太小以至于损失几乎没有减少,第二个区域里损失收敛很快,最后一个区域中学习率太大以至于损失开始发散。因此,第二个区域中的学习率范围就是我们在训练时应该采用的。
所以,这个方法字如其名,就是学习率范围测试,为训练寻找一个合适的学习率范围。
2. Cyclical LR
在一些经典方法中,学习率总是逐步下降的,从而保证模型能够稳定收敛,但Leslie Smith对此提出了质疑,Leslie Smith认为让学习率在合理的范围内周期性变化(即Cyclical LR: 在 lr 和 max_lr 范围内循环学习率)是更合理的方法,能够以更小的步骤提高模型准确率。

如上图所示,max_lr 与 lr 可以通过 LR Range test 确定,作者认为:最优学习率将在处于这个范围内,所以如果学习率在这个区间变化,大多数情况下你将得到一个接近最优学习率的学习率。
总结:
- Cyclical LR是一种有效避开鞍点的方法,因为在鞍点附近梯度较小,通过增加学习率可以让模型走出困境。
- Cyclical LR能够加速模型训练过程
- Cyclical LR在一定程度上可以提高模型的泛化能力(将模型带入平坦最小值区域)
3. One Cycle Policy
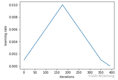
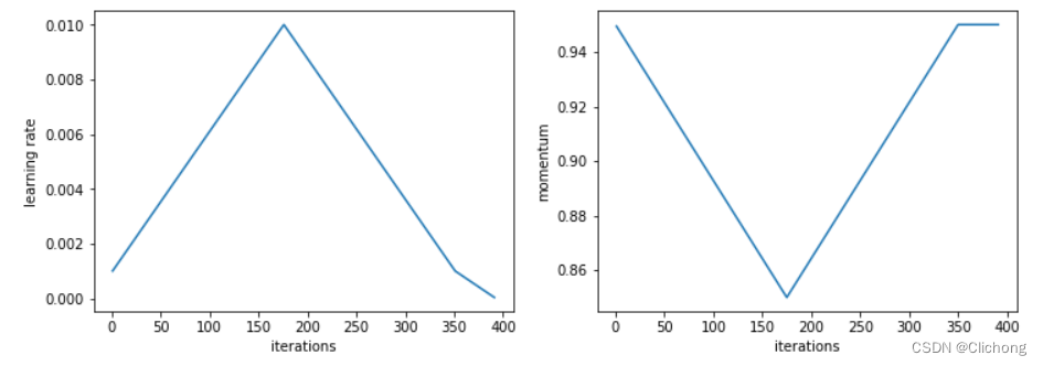
在Cyclical LR和LR Range Test的基础上,Leslie 继续改进,提出了The 1cycle policy。即周期性学习率调整中,周期被设置为1。在一周期策略中,最大学习率被设置为 LR Range test 中可以找到的最高值,最小学习率比最大学习率小几个数量级(比如设为最大值的0.1倍)。

如上图,一整个训练周期约400个iter,前175个iter用来warm-up,中间175个iter用来退火到初始学习率,最后几十个iter学习率进行进一步衰减。我们将上述三个过程称为三个阶段。
- 第一阶段:线性warm-up:其效果与一般的warm-up效果类似,防止冷启动导致的一些问题。
- 第二阶段:线性下降至初始学习率:由于第一、第二阶段中有相当大的时间模型处于较高的学习率,作者认为,这将起到一定的正则化作用,防止模型在陡峭最小值驻留,从而更倾向于寻找平坦的局部最小值。
- 第三阶段:学习率衰减至0:将使得模型在一个‘平坦’区域内收敛至一个较为‘陡峭’的局部最小值。

上图展示了一周期策略训练时,模型在训练集和验证集上的损失变化。在该图中,学习率在 0 和 41 时期之间从 0.08 上升到 0.8,在 41 和 82 时期之间回到 0.08,然后在最后几个时期达到 0.08 的百分之一。可见,在学习率较大时,验证集损失变得不稳定,但平均来看,验证集损失与训练集损失的差值没有变化太多,说明这个阶段模型学习到的知识具有较好的泛化能力(即大学习率一定程度上起到了正则化的作用)。而在训练末期,学习率不断衰减,这时训练集损失有明显下降,而验证集损失没有明显下降,两者的差值扩大了,因此,在训练末期,模型开始产生了一定的过拟合。

在这张图中,学习率在 0 和 22.5 时期之间从 0.15 上升到 3,在 22.5 和 45 时期之间回到 0.15,然后在最后几个时期达到 0.15 的百分之一。凭借非常高的学习率,我们可以更快地学习并防止过度拟合。在我们消除学习率之前,验证损失和训练损失之间的差异一直非常小。这就是 Leslie Smith 所描述的超收敛现象。使用这种技术,我们可以在 50 个 epoch 内训练一个 resnet-56,使其在 cifar10 上的准确率达到 92.3%。进入一个 70 个 epoch 的周期可以让我们达到 93% 的准确率。
- Cyclical momentum
在参考资料3中还提到了Cyclical momentum周期性动量的方法。
伴随着向更大学习率的转变, Leslie Smith 在他的实验中发现,降低动量会带来更好的结果。这支持了这样一种直觉,即在训练的那部分,我们希望 SGD 快速进入新的方向以找到更平坦的区域,因此需要赋予新的梯度更多的权重。在实践中,他建议选择 0.85 和 0.95 这样的两个值,当我们提高学习率时,从较高的值减小到较低的值,然后随着学习率的下降返回到较高的动量。如下图所示:

根据 Leslie 的说法,在整个训练期间选择的确切最佳动量值可以给我们相同的最终结果,但使用循环动量消除了尝试多个值和运行几个完整循环的麻烦,从而浪费了宝贵的时间。
- 总结:
One Cycle Policy的含义也从图也可以看见,就是学习率变化分为3个阶段但是只有一个周期,也就是称为1周期策略的学习率调整。同时也可以侧面从yolov5的学习率变化曲线可出,其不完全是按照One Cycle Policy图像来设置的,更偏向于普通的余弦退火策略。
4. SGDR
来源见参考资料2.
SGDR是性能良好的旧版热重启 SGD。原则上,SGDR 与 CLR 本质是非常相似的,即在训练过程中学习率是不断变化的。

其中,主动退火策略(余弦退火)与重启计划相结合。重启是一个「热」重启,因为模型没有像全新模型那样重启,而是在重新启动学习率后,使用重启前的参数作为模型的初始解决方案。这在实现中非常简单,因为你不需要对模型执行任何操作,只需要即时更新学习率。
到目前为止,Adam 等自适应优化方法仍然是训练深度神经网络的最快方法。然而,各种基准测试的许多最优解决方案或在 Kaggle 中获胜的解决方案仍然选用 SGD,因为他们认为,Adam 获得的局部最小值会导致不良的泛化。
SGDR 将两者结合在一起,迅速「热」重启到较大的学习率,然后利用积极的退火策略帮助模型与 Adam 一样快速(甚至更快)学习,同时保留普通 SGD 的泛化能力。
5. AdamW 、SGDW
来源见参考资料1,2.(参考资料1对这部分内容可能更详细一点)
「热」启动策略非常好,并且在训练期间改变学习率似乎是可行的。但为什么上一篇论文没有扩展到 AdamR 呢?论文《Fixing Weight Decay Regularization in Adam》的作者曾说:
虽然我们初始版本的 Adam 在「热」启动时性能比 Adam 更好,但相比于热启动的 SGD 没有什么竞争力。
作者在论文中提出了以下意见:
- L2 正则化和权值衰减不同。
- L2 正则化在 Adam 中无效。
- 权值衰减在 Adam 和 SGD 中同样有效。
- 在 SGD 中,再参数化可以使 L2 正则化和权值衰减等效。
- 主流的库将权值衰减作为 SGD 和 Adam 的 L2 正则化。
他们提出了 AdamW 和 SGDW,这两种方法可以将权值衰减和 L2 正则化的步骤分离开来。
通过新的 AdamW,作者证明了 AdamW(重启 AdamWR)在速度和性能方面都与 SGDWR 相当。
这部分看到有点懵逼,不太了解。
6. Pytorch的余弦退火学习率策略
详细见参考资料4.
这里补充个额外的插曲,在pytorch其实也实现了余弦退火策略,主要是两个函数:CosineAnnealingLR 与 CosineAnnealingWarmRestarts
- CosineAnnealingLR
这个比较简单,只对其中的最关键的Tmax参数作一个说明,这个可以理解为余弦函数的半周期.如果max_epoch=50次,那么设置T_max=5则会让学习率余弦周期性变化5次.

- CosineAnnealingWarmRestarts
这个最主要的参数有两个:T_0是学习率第一次回到初始值的epoch位置;T_mult是控制了学习率变化的速度。
如果T m u l t = 1 T_{mult}=1Tmult=1,则学习率在T 0 T_0T0,2 ∗ T 0 2*T_02∗T0,3 ∗ T 0 3*T_03∗T0,. . . ......,i ∗ T 0 i*T_0i∗T0,…处回到最大值(初始学习率);

如果T m u l t > 1 T_{mult}>1Tmult>1,则学习率在T 0 T_0T0,( 1 + T m u l t ) T 0 (1+T_{mult})T_0(1+Tmult)T0,( 1 + T m u l t + T m u l t 2 ) T 0 (1+T_{mult}+T_{mult}^2)T_0(1+Tmult+Tmult2)T0,. . . ......,( T m u l t + T m u l t 2 + . . . + T m u l t i ) ∗ T 0 (T_{mult}+T_{mult}^2+...+T_{mult}^i)*T0(Tmult+Tmult2+...+Tmulti)∗T0,处回到最大值。

参考资料: