Matrix Calculus
Matrix Calculus
http://www.matrixcalculus.org/
MatrixCalculus为每个人提供矩阵演算。它是一个在线工具,用于计算向量和矩阵导数(矩阵微积分)。


微分运算法则

迹运算法则

微分与导数关系
复合导数关系
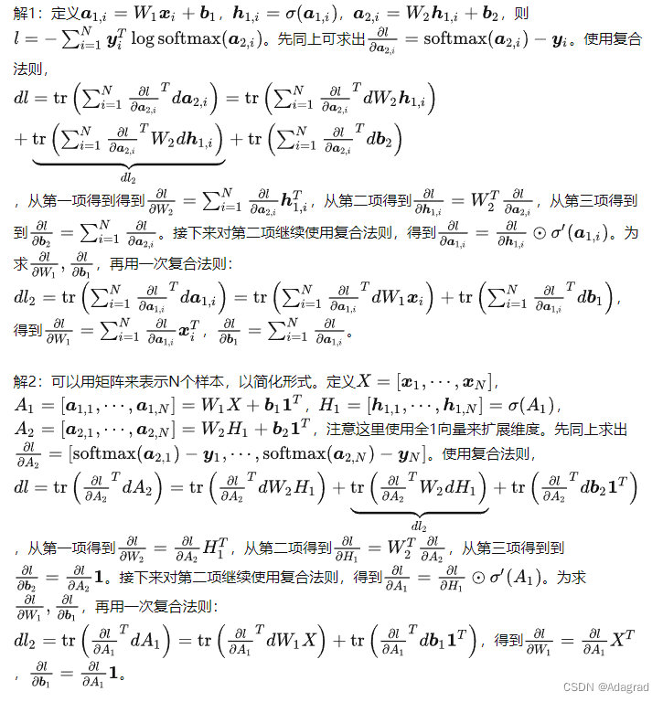
练习
example 1
example 2
example 3
example 4
example 5
example 6
example 7

版权声明:本文为u013049912原创文章,遵循CC 4.0 BY-SA版权协议,转载请附上原文出处链接和本声明。









