目录
2.2.1、多尺度特征图预测(Multi-Scale Feature Maps Prediction)
2.2.2、根据不同尺度的特征图进行定制不同尺度的默认边界框
2.2.3、使用3x3的小卷积核进行预测分类结果和边界框的信息
2.2.5、带孔卷积(Atrous/Dilation Convolution)
2.2.6、困难负样本挖掘(Hard negative mining)
1、SSD的知识思维脑图

2、简介
2.1、SSD出现的背景
针对YOLO V1对于小目标检测的缺陷一个死板的边框定制,导致如果出现过于密集检测物体时,效果就会比较差,而对于多阶段检测的方法,诸如,RCNN,Fast RCNN,Faster RCNN虽然对于小目标有比较好的检测效果,但是由于其自身会产生很多的冗余边界框导致基于分类的检测方法的检测时间比较久,很难满足实时性的要求。
SSD是一个端到端的模型,所有的检测过程和识别过程都是在同一个网络中进行的;同时SSD借鉴了Faster R-CNN的Anchor机制的想法,这样就像相当于在基于回归的的检测过程中结合了区域的思想,可以使得检测效果较定制化边界框的YOLO v1有比较好的提升。
2.2、SSD的模型思想
2.2.1、多尺度特征图预测(Multi-Scale Feature Maps Prediction)
SSD较传统的检测方法使用顶层特征图的方法选择了使用多尺度特征图,因为在比较浅的特征图中可以对于小目标有比较好的表达,随着特征图的深入,网络对于比较大特征也有了比较好表达能力,故SSD选择使用多尺度特征图可以很好的兼顾大目标和小目标。

对于对尺度特征图的实验如下,全部使用是可以达到最好的效果:

2.2.2、根据不同尺度的特征图进行定制不同尺度的默认边界框
如下图和表所示,针对不同的特征图,SSD定制了不同数量的默认边界框的数量(借鉴了YOLO V1的定制边界框的思想)
但是默认框的数量是动手选择的,SSD为每个特征图定义一个尺度值,从左侧开始,conv4_3的最小尺度值为0.2,然后以0.14的线性增加到最右边的层的0.9(即0.20、0.34、0.48、0.62、0.76、0.90),然后将尺度值(Scale)与目标的宽高比结合,计算默认框的宽度和高度。

对于进行预测6次的层,SSD以5个目标高宽比开始{1,2,3,1/2,1/3},具体的计算如下:
定义定义的宽高比为:
边界框的宽高为:
m表示特征图的数量,s_min=0.2,s_max=0.9。


由上面的表和图可以看出,最终总共产生了8732个边界框,最后使用非最大值抑制的方法进行筛选。
2.2.3、使用3x3的小卷积核进行预测分类结果和边界框的信息
SSD不使用特定的区域建议网络。 它采用一个非常简单的方法,即使用小卷积滤波器计算位置和类别得分。
在提取特征图之后,SSD对每个单元应用3×3卷积滤波器以进行预测(这些滤波器像常规CNN滤波器一样计算结果)。 每个滤波器输出25个通道:21个类别分数+1个边界框的信息(cx,cy,w,h)。

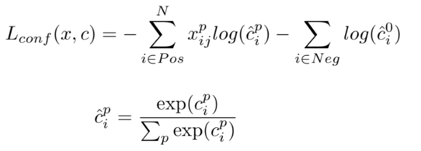
2.2.4、多任务损失函数
匹配策略
SSD预测分为正匹配或负匹配。 如果相应的默认边界框(不是预测的边界框)与GT的IoU大于0.5, 则匹配为正。 否则,是负的。
SSD仅使用正匹配来计算边界框不匹配的代价。

只有默认框1和2(但不是3)的IoU大于0.5。 因此, 只有第1和第2个框是正匹配。 一旦识别出正匹配,就使用相应的预测边界框来计算代价。 这种匹配策略很好地划分了预测所负责的GT框的形状。
该匹配策略鼓励每个预测更接近相应默认框的形状。 因此,预测在训练中更加多样化和稳定。
损失函数:
总体目标损失函数是定位误差(loc)和置信度损失或者叫分类误差(conf)的加权和:

•定位损失:是GT框与预测边界框之间的不匹配。是预测框(?)和GT框(?)参数之间的Smooth L1损失


SSD仅对正匹配的预测进行惩罚。 希望正匹配的预测能够更接近GT。 负匹配可以忽略。
• 置信度损失或者叫分类误差:是多类置信度(c)下的softmax损失。

2.2.5、带孔卷积(Atrous/Dilation Convolution)
由于SSD借鉴了DeepLab-LargeFOV,分别将VGG16的全连接层fc6和fc7转换成3×3卷积层Conv6和1×1卷积层Conv7, 同时将池化层pool5由原来的2×2−s2变成3×3−s1。 为了配合这种变化,采用了一种Atrous Algorithm,其实就是Conv6采用带孔卷积(Atrous/Dilation Convolution),带孔卷积在不增加参数与模型复杂度的条件下指数级扩大卷积的感受野。
Atrous/Dilation Convolution的思想:紧密相邻的像素几乎相同,全部纳入的话会存在很多的冗余关系,于是选择跳跃H(hole)个像素取一个有效值,这样可以在较少的参数下增大感受野,也节省了内存的使用。
如下图所示,(a)是普通的3×3卷积,其感受野就是3×3,(b)是扩张率为2,此时感受野变成7×7,(c)扩张 率为4时,感受野扩大为15×15,但是感受野的特征更稀疏了。

2.2.6、困难负样本挖掘(Hard negative mining)
由于做出的预测远远超过目标存在的数量,所以负匹配比正匹配要多得多。 这造成了一种训 练的类别不平衡:更多地学习背景空间而不是检测目标。
然而,SSD仍然需要负采样,因此它可以了解什么构成不良的预测。 因此,我们不是使用所 有的样本,而是通过计算的置信度损失对这些负样本进行排序。 SSD选择最高损失的负样本并 确保所选负样本与正样本之间的比率最多为3:1。 这导致更快和更稳定的训练。
2.3、SSD的训练过程与细节
2.3.1、框架训练的具体步骤

- 首先VGG16在ILSVRC CLS-LOC数据集上进行预训练。
- 然后将VGG16的全连接层fc6和fc7转换成3×3卷积层Conv6(Conv6采用带孔卷积Dilation Convolution,Conv6采用3×3大小,dilation rate=6的膨胀卷积)和1×1卷积层Conv7;
- 然后移除dropout层和fc8层,并新增一系列卷积层,在检测数据集上做fine tuning;
- 从后面新增的卷积层中提取Conv7,Conv8_2,Conv9_2,Conv10_2,Conv11_2作为检测所用的特征图,加上Conv4_3层,共提取了6个特征图,其大小分别(38,38),(19,19),(10,10),(5,5),(3,3),(1,1),但是不同特征图设置的先验框数目不同(同一个特征图上每个单元设置的先验框是相同的,这里的数目指的是一个单元的先验框数目),由于每个先验框都会预测一个边界框,所以 SSD300一共可以预测38×38×4+19×19×6+10×10×6+5×5×6+3×3×4+1×1×4 = 8732 个边界框,这是一个相当大的数字, 所以说SSD本质上是密集采样;
- 得到了特征图之后,对特征图进行3x3卷积得到检测结果;
- 对于每个预测框,首先根据类别置信度确定其类别(置信度最大者)与置信度值, 并过滤掉属于背景的预测框。
- 然后根据置信度阈值(如0.5)过滤掉阈值较低的预测框。对于留下的预测框进行解码,根据先验框得 到其真实的位置参数(解码后一般还需要做clip,防止预测框位置超出图片)。解码之后,一般需要 根据置信度进行降序排列,然后仅保留top-k(如400)个预测框。
- 使用非最大值抑制NMS进行筛选,过滤掉那些重叠度较大的预测框。最后剩余的预测框就是检测结果。
2.3.2、特征图的检测过程:
检测值包含两个部分:类别置信度和边界框位置, 各采用一次3×3卷积来进行完成。令?_?为该特征 图所采用的先验框数目,那么类别置信度需要的 卷积核数量为?_? × ?,而边界框位置需要的卷积 核数量为?_? × 4。

2.3.3、Anchor中心的获取
每个默认框的中心位置为:
其中,W、H分别输入图像宽度和高度,i=0,1,...,m-1,j=0,1,...,n-1。
2.3.4、数据增强
为了提高关于目标大小和形状的鲁棒性,SSD采用了数据增强的随机采样策略。
- 使用整幅原始输入图像
- 采样图像块,与目标的最小交并比为0.1、0.3、0.5、0.7、0.9
- 随机采样图像块,每个采样块的大小为原始图像大小的[0.1,1],高宽比为[0.5,2],如果真是边框的中心在采样块内,则保留重叠部分;
- 采样块的增强(亮度变化、大小调整、概率翻转等操作)。



2.4、SSD的优缺点
2.4.1、SSD的优点
- 对于小尺寸目标对象,SSD的性能比Faster R-CNN差。 SSD只能在较高分辨率的层(最左边的层)检测小 目标。 但是这些层包含低级特征,如边缘或色块,分类的信息量较少。
- 准确率随着默认边界框的数量而增加,但以速度为代价。
- 多尺度特征图改进了不同尺度的目标的检测。
- 设计更好的默认边界框将有助于准确性。
- COCO数据集具有较小的目标。 要提高准确性,使用较小的默认框(以较小的尺度0.15开始)。
- 与R-CNN相比,SSD具有较低的定位误差,但处理相似类别的分类错误较多。 较高的分类错误可能是因为使 用相同的边界框来进行多个类别预测。
- SSD512 具有比SSD300更高的精度(2.5%),但运行速度为22 FPS而不是59 FPS。
2.4.2、SSD的缺点
- SSD算法对小目标不够鲁棒(会出现误检和漏检);
- 最主要的原因是浅层特征图的表示能力 不够强。
3、SSD的改进——DSSD
3.1、DSSD模型概览
DSSD在原来的SSD模型上主要作了两大改进:
- 替换掉VGG,而改用了Resnet-101作为特征提取网络并在对不同尺度的特征图进行默 认框检测时使用了更新的检测单元;
- 在网络的后端使用了多个反卷积层(deconvolution layers)以有效地扩展低维度信息 的上下文信息(contextual information) ,从而有效地改善了小尺度目标的检测。

3.2、新的预测模块
为每个预测层添加一个残差块,如(c)所示。
还尝试了原始的SSD方法(a)和具有跳跃连接(b)的残差块的版本以及两个连续的残差块(d)。

3.3、反卷积模块
DSSD的第二个重大创新来自于在模型后端添加了多个反卷积模块来扩大模型在小尺度上的high level特征信息。而这 种反卷积输出的特征图又会与模型前端卷积层的相同尺度的特征图进行元素级的乘法(element-wise product)来 生成相应尺度的特征图。

添加额外的反卷积层以连续增加特征图层的分辨率。
为了加强特征,采用了沙漏模型中的“跳跃连接”理念
- 首先,在每个卷积层之后添加BN层。
- 其次,使用学习的反卷积层而不是双线性上采样。
- 最后,测试了不同的 组合方法:逐元素相加和逐元素乘积。
实验结果表明,逐元素乘积提供了最佳的准确性。新的DSSD模型能够胜过以前的SSD框架,特别是在小目标或上下文特定目标上, 同时仍然保持与其他检测器相当的速度。
4、Tensorflow实现SSD
4.1、训练网络文件
# Copyright 2016 Paul Balanca. All Rights Reserved.
#
# Licensed under the Apache License, Version 2.0 (the "License");
# you may not use this file except in compliance with the License.
# You may obtain a copy of the License at
#
# http://www.apache.org/licenses/LICENSE-2.0
#
# Unless required by applicable law or agreed to in writing, software
# distributed under the License is distributed on an "AS IS" BASIS,
# WITHOUT WARRANTIES OR CONDITIONS OF ANY KIND, either express or implied.
# See the License for the specific language governing permissions and
# limitations under the License.
# ==============================================================================
"""Generic training script that trains a SSD model using a given dataset."""
import tensorflow as tf
from tensorflow.python.ops import control_flow_ops
from datasets import dataset_factory
from deployment import model_deploy
from nets import nets_factory
from preprocessing import preprocessing_factory
import tf_utils
slim = tf.contrib.slim
DATA_FORMAT = 'NCHW'
# =========================================================================== #
# SSD Network flags.
# =========================================================================== #
tf.app.flags.DEFINE_float(
'loss_alpha', 1., 'Alpha parameter in the loss function.')
tf.app.flags.DEFINE_float(
'negative_ratio', 3., 'Negative ratio in the loss function.')
tf.app.flags.DEFINE_float(
'match_threshold', 0.5, 'Matching threshold in the loss function.')
# =========================================================================== #
# General Flags.
# =========================================================================== #
tf.app.flags.DEFINE_string(
'train_dir', '/tmp/tfmodel/',
'Directory where checkpoints and event logs are written to.')
tf.app.flags.DEFINE_integer('num_clones', 1,
'Number of model clones to deploy.')
tf.app.flags.DEFINE_boolean('clone_on_cpu', False,
'Use CPUs to deploy clones.')
tf.app.flags.DEFINE_integer(
'num_readers', 4,
'The number of parallel readers that read data from the dataset.')
tf.app.flags.DEFINE_integer(
'num_preprocessing_threads', 4,
'The number of threads used to create the batches.')
tf.app.flags.DEFINE_integer(
'log_every_n_steps', 10,
'The frequency with which logs are print.')
tf.app.flags.DEFINE_integer(
'save_summaries_secs', 600,
'The frequency with which summaries are saved, in seconds.')
tf.app.flags.DEFINE_integer(
'save_interval_secs', 600,
'The frequency with which the model is saved, in seconds.')
tf.app.flags.DEFINE_float(
'gpu_memory_fraction', 0.8, 'GPU memory fraction to use.')
# =========================================================================== #
# Optimization Flags.
# =========================================================================== #
tf.app.flags.DEFINE_float(
'weight_decay', 0.00004, 'The weight decay on the model weights.')
tf.app.flags.DEFINE_string(
'optimizer', 'rmsprop',
'The name of the optimizer, one of "adadelta", "adagrad", "adam",'
'"ftrl", "momentum", "sgd" or "rmsprop".')
tf.app.flags.DEFINE_float(
'adadelta_rho', 0.95,
'The decay rate for adadelta.')
tf.app.flags.DEFINE_float(
'adagrad_initial_accumulator_value', 0.1,
'Starting value for the AdaGrad accumulators.')
tf.app.flags.DEFINE_float(
'adam_beta1', 0.9,
'The exponential decay rate for the 1st moment estimates.')
tf.app.flags.DEFINE_float(
'adam_beta2', 0.999,
'The exponential decay rate for the 2nd moment estimates.')
tf.app.flags.DEFINE_float('opt_epsilon', 1.0, 'Epsilon term for the optimizer.')
tf.app.flags.DEFINE_float('ftrl_learning_rate_power', -0.5,
'The learning rate power.')
tf.app.flags.DEFINE_float(
'ftrl_initial_accumulator_value', 0.1,
'Starting value for the FTRL accumulators.')
tf.app.flags.DEFINE_float(
'ftrl_l1', 0.0, 'The FTRL l1 regularization strength.')
tf.app.flags.DEFINE_float(
'ftrl_l2', 0.0, 'The FTRL l2 regularization strength.')
tf.app.flags.DEFINE_float(
'momentum', 0.9,
'The momentum for the MomentumOptimizer and RMSPropOptimizer.')
tf.app.flags.DEFINE_float('rmsprop_momentum', 0.9, 'Momentum.')
tf.app.flags.DEFINE_float('rmsprop_decay', 0.9, 'Decay term for RMSProp.')
# =========================================================================== #
# Learning Rate Flags.
# =========================================================================== #
tf.app.flags.DEFINE_string(
'learning_rate_decay_type',
'exponential',
'Specifies how the learning rate is decayed. One of "fixed", "exponential",'
' or "polynomial"')
tf.app.flags.DEFINE_float('learning_rate', 0.01, 'Initial learning rate.')
tf.app.flags.DEFINE_float(
'end_learning_rate', 0.0001,
'The minimal end learning rate used by a polynomial decay learning rate.')
tf.app.flags.DEFINE_float(
'label_smoothing', 0.0, 'The amount of label smoothing.')
tf.app.flags.DEFINE_float(
'learning_rate_decay_factor', 0.94, 'Learning rate decay factor.')
tf.app.flags.DEFINE_float(
'num_epochs_per_decay', 2.0,
'Number of epochs after which learning rate decays.')
tf.app.flags.DEFINE_float(
'moving_average_decay', None,
'The decay to use for the moving average.'
'If left as None, then moving averages are not used.')
# =========================================================================== #
# Dataset Flags.
# =========================================================================== #
tf.app.flags.DEFINE_string(
'dataset_name', 'imagenet', 'The name of the dataset to load.')
tf.app.flags.DEFINE_integer(
'num_classes', 21, 'Number of classes to use in the dataset.')
tf.app.flags.DEFINE_string(
'dataset_split_name', 'train', 'The name of the train/test split.')
tf.app.flags.DEFINE_string(
'dataset_dir', None, 'The directory where the dataset files are stored.')
tf.app.flags.DEFINE_integer(
'labels_offset', 0,
'An offset for the labels in the dataset. This flag is primarily used to '
'evaluate the VGG and ResNet architectures which do not use a background '
'class for the ImageNet dataset.')
tf.app.flags.DEFINE_string(
'model_name', 'ssd_300_vgg', 'The name of the architecture to train.')
tf.app.flags.DEFINE_string(
'preprocessing_name', None, 'The name of the preprocessing to use. If left '
'as `None`, then the model_name flag is used.')
tf.app.flags.DEFINE_integer(
'batch_size', 32, 'The number of samples in each batch.')
tf.app.flags.DEFINE_integer(
'train_image_size', None, 'Train image size')
tf.app.flags.DEFINE_integer('max_number_of_steps', None,
'The maximum number of training steps.')
# =========================================================================== #
# Fine-Tuning Flags.
# =========================================================================== #
tf.app.flags.DEFINE_string(
'checkpoint_path', None,
'The path to a checkpoint from which to fine-tune.')
tf.app.flags.DEFINE_string(
'checkpoint_model_scope', None,
'Model scope in the checkpoint. None if the same as the trained model.')
tf.app.flags.DEFINE_string(
'checkpoint_exclude_scopes', None,
'Comma-separated list of scopes of variables to exclude when restoring '
'from a checkpoint.')
tf.app.flags.DEFINE_string(
'trainable_scopes', None,
'Comma-separated list of scopes to filter the set of variables to train.'
'By default, None would train all the variables.')
tf.app.flags.DEFINE_boolean(
'ignore_missing_vars', False,
'When restoring a checkpoint would ignore missing variables.')
FLAGS = tf.app.flags.FLAGS
# =========================================================================== #
# Main training routine.
# =========================================================================== #
def main(_):
if not FLAGS.dataset_dir:
raise ValueError('You must supply the dataset directory with --dataset_dir')
tf.logging.set_verbosity(tf.logging.DEBUG)
with tf.Graph().as_default():
# Config model_deploy. Keep TF Slim Models structure.
# Useful if want to need multiple GPUs and/or servers in the future.
deploy_config = model_deploy.DeploymentConfig(
num_clones=FLAGS.num_clones,
clone_on_cpu=FLAGS.clone_on_cpu,
replica_id=0,
num_replicas=1,
num_ps_tasks=0)
# Create global_step.
with tf.device(deploy_config.variables_device()):
global_step = slim.create_global_step()
# Select the dataset.
dataset = dataset_factory.get_dataset(
FLAGS.dataset_name, FLAGS.dataset_split_name, FLAGS.dataset_dir)
# Get the SSD network and its anchors.
ssd_class = nets_factory.get_network(FLAGS.model_name)
ssd_params = ssd_class.default_params._replace(num_classes=FLAGS.num_classes)
ssd_net = ssd_class(ssd_params)
ssd_shape = ssd_net.params.img_shape
ssd_anchors = ssd_net.anchors(ssd_shape)
# Select the preprocessing function.
preprocessing_name = FLAGS.preprocessing_name or FLAGS.model_name
image_preprocessing_fn = preprocessing_factory.get_preprocessing(
preprocessing_name, is_training=True)
tf_utils.print_configuration(FLAGS.__flags, ssd_params,
dataset.data_sources, FLAGS.train_dir)
# =================================================================== #
# Create a dataset provider and batches.
# =================================================================== #
with tf.device(deploy_config.inputs_device()):
with tf.name_scope(FLAGS.dataset_name + '_data_provider'):
provider = slim.dataset_data_provider.DatasetDataProvider(
dataset,
num_readers=FLAGS.num_readers,
common_queue_capacity=20 * FLAGS.batch_size,
common_queue_min=10 * FLAGS.batch_size,
shuffle=True)
# Get for SSD network: image, labels, bboxes.
[image, shape, glabels, gbboxes] = provider.get(['image', 'shape',
'object/label',
'object/bbox'])
# Pre-processing image, labels and bboxes.
image, glabels, gbboxes = \
image_preprocessing_fn(image, glabels, gbboxes,
out_shape=ssd_shape,
data_format=DATA_FORMAT)
# Encode groundtruth labels and bboxes.
gclasses, glocalisations, gscores = \
ssd_net.bboxes_encode(glabels, gbboxes, ssd_anchors)
batch_shape = [1] + [len(ssd_anchors)] * 3
# Training batches and queue.
r = tf.train.batch(
tf_utils.reshape_list([image, gclasses, glocalisations, gscores]),
batch_size=FLAGS.batch_size,
num_threads=FLAGS.num_preprocessing_threads,
capacity=5 * FLAGS.batch_size)
b_image, b_gclasses, b_glocalisations, b_gscores = \
tf_utils.reshape_list(r, batch_shape)
# Intermediate queueing: unique batch computation pipeline for all
# GPUs running the training.
batch_queue = slim.prefetch_queue.prefetch_queue(
tf_utils.reshape_list([b_image, b_gclasses, b_glocalisations, b_gscores]),
capacity=2 * deploy_config.num_clones)
# =================================================================== #
# Define the model running on every GPU.
# =================================================================== #
def clone_fn(batch_queue):
"""Allows data parallelism by creating multiple
clones of network_fn."""
# Dequeue batch.
b_image, b_gclasses, b_glocalisations, b_gscores = \
tf_utils.reshape_list(batch_queue.dequeue(), batch_shape)
# Construct SSD network.
arg_scope = ssd_net.arg_scope(weight_decay=FLAGS.weight_decay,
data_format=DATA_FORMAT)
with slim.arg_scope(arg_scope):
predictions, localisations, logits, end_points = \
ssd_net.net(b_image, is_training=True)
# Add loss function.
ssd_net.losses(logits, localisations,
b_gclasses, b_glocalisations, b_gscores,
match_threshold=FLAGS.match_threshold,
negative_ratio=FLAGS.negative_ratio,
alpha=FLAGS.loss_alpha,
label_smoothing=FLAGS.label_smoothing)
return end_points
# Gather initial summaries.
summaries = set(tf.get_collection(tf.GraphKeys.SUMMARIES))
# =================================================================== #
# Add summaries from first clone.
# =================================================================== #
clones = model_deploy.create_clones(deploy_config, clone_fn, [batch_queue])
first_clone_scope = deploy_config.clone_scope(0)
# Gather update_ops from the first clone. These contain, for example,
# the updates for the batch_norm variables created by network_fn.
update_ops = tf.get_collection(tf.GraphKeys.UPDATE_OPS, first_clone_scope)
# Add summaries for end_points.
end_points = clones[0].outputs
for end_point in end_points:
x = end_points[end_point]
summaries.add(tf.summary.histogram('activations/' + end_point, x))
summaries.add(tf.summary.scalar('sparsity/' + end_point,
tf.nn.zero_fraction(x)))
# Add summaries for losses and extra losses.
for loss in tf.get_collection(tf.GraphKeys.LOSSES, first_clone_scope):
summaries.add(tf.summary.scalar(loss.op.name, loss))
for loss in tf.get_collection('EXTRA_LOSSES', first_clone_scope):
summaries.add(tf.summary.scalar(loss.op.name, loss))
# Add summaries for variables.
for variable in slim.get_model_variables():
summaries.add(tf.summary.histogram(variable.op.name, variable))
# =================================================================== #
# Configure the moving averages.
# =================================================================== #
if FLAGS.moving_average_decay:
moving_average_variables = slim.get_model_variables()
variable_averages = tf.train.ExponentialMovingAverage(
FLAGS.moving_average_decay, global_step)
else:
moving_average_variables, variable_averages = None, None
# =================================================================== #
# Configure the optimization procedure.
# =================================================================== #
with tf.device(deploy_config.optimizer_device()):
learning_rate = tf_utils.configure_learning_rate(FLAGS,
dataset.num_samples,
global_step)
optimizer = tf_utils.configure_optimizer(FLAGS, learning_rate)
summaries.add(tf.summary.scalar('learning_rate', learning_rate))
if FLAGS.moving_average_decay:
# Update ops executed locally by trainer.
update_ops.append(variable_averages.apply(moving_average_variables))
# Variables to train.
variables_to_train = tf_utils.get_variables_to_train(FLAGS)
# and returns a train_tensor and summary_op
total_loss, clones_gradients = model_deploy.optimize_clones(
clones,
optimizer,
var_list=variables_to_train)
# Add total_loss to summary.
summaries.add(tf.summary.scalar('total_loss', total_loss))
# Create gradient updates.
grad_updates = optimizer.apply_gradients(clones_gradients,
global_step=global_step)
update_ops.append(grad_updates)
update_op = tf.group(*update_ops)
train_tensor = control_flow_ops.with_dependencies([update_op], total_loss,
name='train_op')
# Add the summaries from the first clone. These contain the summaries
summaries |= set(tf.get_collection(tf.GraphKeys.SUMMARIES,
first_clone_scope))
# Merge all summaries together.
summary_op = tf.summary.merge(list(summaries), name='summary_op')
# =================================================================== #
# Kicks off the training.
# =================================================================== #
gpu_options = tf.GPUOptions(per_process_gpu_memory_fraction=FLAGS.gpu_memory_fraction)
config = tf.ConfigProto(log_device_placement=False,
gpu_options=gpu_options)
saver = tf.train.Saver(max_to_keep=5,
keep_checkpoint_every_n_hours=1.0,
write_version=2,
pad_step_number=False)
slim.learning.train(
train_tensor,
logdir=FLAGS.train_dir,
master='',
is_chief=True,
init_fn=tf_utils.get_init_fn(FLAGS),
summary_op=summary_op,
number_of_steps=FLAGS.max_number_of_steps,
log_every_n_steps=FLAGS.log_every_n_steps,
save_summaries_secs=FLAGS.save_summaries_secs,
saver=saver,
save_interval_secs=FLAGS.save_interval_secs,
session_config=config,
sync_optimizer=None)
if __name__ == '__main__':
tf.app.run()
4.2、模型定义文件
# Copyright 2016 Paul Balanca. All Rights Reserved.
#
# Licensed under the Apache License, Version 2.0 (the "License");
# you may not use this file except in compliance with the License.
# You may obtain a copy of the License at
#
# http://www.apache.org/licenses/LICENSE-2.0
#
# Unless required by applicable law or agreed to in writing, software
# distributed under the License is distributed on an "AS IS" BASIS,
# WITHOUT WARRANTIES OR CONDITIONS OF ANY KIND, either express or implied.
# See the License for the specific language governing permissions and
# limitations under the License.
# ==============================================================================
"""Definition of 300 VGG-based SSD network.
This model was initially introduced in:
SSD: Single Shot MultiBox Detector
Wei Liu, Dragomir Anguelov, Dumitru Erhan, Christian Szegedy, Scott Reed,
Cheng-Yang Fu, Alexander C. Berg
https://arxiv.org/abs/1512.02325
Two variants of the model are defined: the 300x300 and 512x512 models, the
latter obtaining a slightly better accuracy on Pascal VOC.
Usage:
with slim.arg_scope(ssd_vgg.ssd_vgg()):
outputs, end_points = ssd_vgg.ssd_vgg(inputs)
This network port of the original Caffe model. The padding in TF and Caffe
is slightly different, and can lead to severe accuracy drop if not taken care
in a correct way!
In Caffe, the output size of convolution and pooling layers are computing as
following: h_o = (h_i + 2 * pad_h - kernel_h) / stride_h + 1
Nevertheless, there is a subtle difference between both for stride > 1. In
the case of convolution:
top_size = floor((bottom_size + 2*pad - kernel_size) / stride) + 1
whereas for pooling:
top_size = ceil((bottom_size + 2*pad - kernel_size) / stride) + 1
Hence implicitely allowing some additional padding even if pad = 0. This
behaviour explains why pooling with stride and kernel of size 2 are behaving
the same way in TensorFlow and Caffe.
Nevertheless, this is not the case anymore for other kernel sizes, hence
motivating the use of special padding layer for controlling these side-effects.
@@ssd_vgg_300
"""
import math
from collections import namedtuple
import numpy as np
import tensorflow as tf
import tf_extended as tfe
from nets import custom_layers
from nets import ssd_common
slim = tf.contrib.slim
# =========================================================================== #
# SSD class definition.
# =========================================================================== #
SSDParams = namedtuple('SSDParameters', ['img_shape',
'num_classes',
'no_annotation_label',
'feat_layers',
'feat_shapes',
'anchor_size_bounds',
'anchor_sizes',
'anchor_ratios',
'anchor_steps',
'anchor_offset',
'normalizations',
'prior_scaling'
])
class SSDNet(object):
"""Implementation of the SSD VGG-based 300 network.
The default features layers with 300x300 image input are:
conv4 ==> 38 x 38
conv7 ==> 19 x 19
conv8 ==> 10 x 10
conv9 ==> 5 x 5
conv10 ==> 3 x 3
conv11 ==> 1 x 1
The default image size used to train this network is 300x300.
"""
default_params = SSDParams(
img_shape=(300, 300),
num_classes=21,
no_annotation_label=21,
feat_layers=['block4', 'block7', 'block8', 'block9', 'block10', 'block11'],
feat_shapes=[(38, 38), (19, 19), (10, 10), (5, 5), (3, 3), (1, 1)],
anchor_size_bounds=[0.15, 0.90],
# anchor_size_bounds=[0.20, 0.90],
anchor_sizes=[(21., 45.),
(45., 99.),
(99., 153.),
(153., 207.),
(207., 261.),
(261., 315.)],
# anchor_sizes=[(30., 60.),
# (60., 111.),
# (111., 162.),
# (162., 213.),
# (213., 264.),
# (264., 315.)],
anchor_ratios=[[2, .5],
[2, .5, 3, 1./3],
[2, .5, 3, 1./3],
[2, .5, 3, 1./3],
[2, .5],
[2, .5]],
anchor_steps=[8, 16, 32, 64, 100, 300],
anchor_offset=0.5,
normalizations=[20, -1, -1, -1, -1, -1],
prior_scaling=[0.1, 0.1, 0.2, 0.2]
)
def __init__(self, params=None):
"""Init the SSD net with some parameters. Use the default ones
if none provided.
"""
if isinstance(params, SSDParams):
self.params = params
else:
self.params = SSDNet.default_params
# ======================================================================= #
def net(self, inputs,
is_training=True,
update_feat_shapes=True,
dropout_keep_prob=0.5,
prediction_fn=slim.softmax,
reuse=None,
scope='ssd_300_vgg'):
"""SSD network definition.
"""
r = ssd_net(inputs,
num_classes=self.params.num_classes,
feat_layers=self.params.feat_layers,
anchor_sizes=self.params.anchor_sizes,
anchor_ratios=self.params.anchor_ratios,
normalizations=self.params.normalizations,
is_training=is_training,
dropout_keep_prob=dropout_keep_prob,
prediction_fn=prediction_fn,
reuse=reuse,
scope=scope)
# Update feature shapes (try at least!)
if update_feat_shapes:
shapes = ssd_feat_shapes_from_net(r[0], self.params.feat_shapes)
self.params = self.params._replace(feat_shapes=shapes)
return r
def arg_scope(self, weight_decay=0.0005, data_format='NHWC'):
"""Network arg_scope.
"""
return ssd_arg_scope(weight_decay, data_format=data_format)
def arg_scope_caffe(self, caffe_scope):
"""Caffe arg_scope used for weights importing.
"""
return ssd_arg_scope_caffe(caffe_scope)
# ======================================================================= #
def update_feature_shapes(self, predictions):
"""Update feature shapes from predictions collection (Tensor or Numpy
array).
"""
shapes = ssd_feat_shapes_from_net(predictions, self.params.feat_shapes)
self.params = self.params._replace(feat_shapes=shapes)
def anchors(self, img_shape, dtype=np.float32):
"""Compute the default anchor boxes, given an image shape.
"""
return ssd_anchors_all_layers(img_shape,
self.params.feat_shapes,
self.params.anchor_sizes,
self.params.anchor_ratios,
self.params.anchor_steps,
self.params.anchor_offset,
dtype)
def bboxes_encode(self, labels, bboxes, anchors,
scope=None):
"""Encode labels and bounding boxes.
"""
return ssd_common.tf_ssd_bboxes_encode(
labels, bboxes, anchors,
self.params.num_classes,
self.params.no_annotation_label,
ignore_threshold=0.5,
prior_scaling=self.params.prior_scaling,
scope=scope)
def bboxes_decode(self, feat_localizations, anchors,
scope='ssd_bboxes_decode'):
"""Encode labels and bounding boxes.
"""
return ssd_common.tf_ssd_bboxes_decode(
feat_localizations, anchors,
prior_scaling=self.params.prior_scaling,
scope=scope)
def detected_bboxes(self, predictions, localisations,
select_threshold=None, nms_threshold=0.5,
clipping_bbox=None, top_k=400, keep_top_k=200):
"""Get the detected bounding boxes from the SSD network output.
"""
# Select top_k bboxes from predictions, and clip
rscores, rbboxes = \
ssd_common.tf_ssd_bboxes_select(predictions, localisations,
select_threshold=select_threshold,
num_classes=self.params.num_classes)
rscores, rbboxes = \
tfe.bboxes_sort(rscores, rbboxes, top_k=top_k)
# Apply NMS algorithm.
rscores, rbboxes = \
tfe.bboxes_nms_batch(rscores, rbboxes,
nms_threshold=nms_threshold,
keep_top_k=keep_top_k)
if clipping_bbox is not None:
rbboxes = tfe.bboxes_clip(clipping_bbox, rbboxes)
return rscores, rbboxes
def losses(self, logits, localisations,
gclasses, glocalisations, gscores,
match_threshold=0.5,
negative_ratio=3.,
alpha=1.,
label_smoothing=0.,
scope='ssd_losses'):
"""Define the SSD network losses.
"""
return ssd_losses(logits, localisations,
gclasses, glocalisations, gscores,
match_threshold=match_threshold,
negative_ratio=negative_ratio,
alpha=alpha,
label_smoothing=label_smoothing,
scope=scope)
# =========================================================================== #
# SSD tools...
# =========================================================================== #
def ssd_size_bounds_to_values(size_bounds,
n_feat_layers,
img_shape=(300, 300)):
"""Compute the reference sizes of the anchor boxes from relative bounds.
The absolute values are measured in pixels, based on the network
default size (300 pixels).
This function follows the computation performed in the original
implementation of SSD in Caffe.
Return:
list of list containing the absolute sizes at each scale. For each scale,
the ratios only apply to the first value.
"""
assert img_shape[0] == img_shape[1]
img_size = img_shape[0]
min_ratio = int(size_bounds[0] * 100)
max_ratio = int(size_bounds[1] * 100)
step = int(math.floor((max_ratio - min_ratio) / (n_feat_layers - 2)))
# Start with the following smallest sizes.
sizes = [[img_size * size_bounds[0] / 2, img_size * size_bounds[0]]]
for ratio in range(min_ratio, max_ratio + 1, step):
sizes.append((img_size * ratio / 100.,
img_size * (ratio + step) / 100.))
return sizes
def ssd_feat_shapes_from_net(predictions, default_shapes=None):
"""Try to obtain the feature shapes from the prediction layers. The latter
can be either a Tensor or Numpy ndarray.
Return:
list of feature shapes. Default values if predictions shape not fully
determined.
"""
feat_shapes = []
for l in predictions:
# Get the shape, from either a np array or a tensor.
if isinstance(l, np.ndarray):
shape = l.shape
else:
shape = l.get_shape().as_list()
shape = shape[1:4]
# Problem: undetermined shape...
if None in shape:
return default_shapes
else:
feat_shapes.append(shape)
return feat_shapes
def ssd_anchor_one_layer(img_shape,
feat_shape,
sizes,
ratios,
step,
offset=0.5,
dtype=np.float32):
"""Computer SSD default anchor boxes for one feature layer.
Determine the relative position grid of the centers, and the relative
width and height.
Arguments:
feat_shape: Feature shape, used for computing relative position grids;
size: Absolute reference sizes;
ratios: Ratios to use on these features;
img_shape: Image shape, used for computing height, width relatively to the
former;
offset: Grid offset.
Return:
y, x, h, w: Relative x and y grids, and height and width.
"""
# Compute the position grid: simple way.
# y, x = np.mgrid[0:feat_shape[0], 0:feat_shape[1]]
# y = (y.astype(dtype) + offset) / feat_shape[0]
# x = (x.astype(dtype) + offset) / feat_shape[1]
# Weird SSD-Caffe computation using steps values...
y, x = np.mgrid[0:feat_shape[0], 0:feat_shape[1]]
y = (y.astype(dtype) + offset) * step / img_shape[0]
x = (x.astype(dtype) + offset) * step / img_shape[1]
# Expand dims to support easy broadcasting.
y = np.expand_dims(y, axis=-1)
x = np.expand_dims(x, axis=-1)
# Compute relative height and width.
# Tries to follow the original implementation of SSD for the order.
num_anchors = len(sizes) + len(ratios)
h = np.zeros((num_anchors, ), dtype=dtype)
w = np.zeros((num_anchors, ), dtype=dtype)
# Add first anchor boxes with ratio=1.
h[0] = sizes[0] / img_shape[0]
w[0] = sizes[0] / img_shape[1]
di = 1
if len(sizes) > 1:
h[1] = math.sqrt(sizes[0] * sizes[1]) / img_shape[0]
w[1] = math.sqrt(sizes[0] * sizes[1]) / img_shape[1]
di += 1
for i, r in enumerate(ratios):
h[i+di] = sizes[0] / img_shape[0] / math.sqrt(r)
w[i+di] = sizes[0] / img_shape[1] * math.sqrt(r)
return y, x, h, w
def ssd_anchors_all_layers(img_shape,
layers_shape,
anchor_sizes,
anchor_ratios,
anchor_steps,
offset=0.5,
dtype=np.float32):
"""Compute anchor boxes for all feature layers.
"""
layers_anchors = []
for i, s in enumerate(layers_shape):
anchor_bboxes = ssd_anchor_one_layer(img_shape, s,
anchor_sizes[i],
anchor_ratios[i],
anchor_steps[i],
offset=offset, dtype=dtype)
layers_anchors.append(anchor_bboxes)
return layers_anchors
# =========================================================================== #
# Functional definition of VGG-based SSD 300.
# =========================================================================== #
def tensor_shape(x, rank=3):
"""Returns the dimensions of a tensor.
Args:
image: A N-D Tensor of shape.
Returns:
A list of dimensions. Dimensions that are statically known are python
integers,otherwise they are integer scalar tensors.
"""
if x.get_shape().is_fully_defined():
return x.get_shape().as_list()
else:
static_shape = x.get_shape().with_rank(rank).as_list()
dynamic_shape = tf.unstack(tf.shape(x), rank)
return [s if s is not None else d
for s, d in zip(static_shape, dynamic_shape)]
def ssd_multibox_layer(inputs,
num_classes,
sizes,
ratios=[1],
normalization=-1,
bn_normalization=False):
"""Construct a multibox layer, return a class and localization predictions.
"""
net = inputs
if normalization > 0:
net = custom_layers.l2_normalization(net, scaling=True)
# Number of anchors.
num_anchors = len(sizes) + len(ratios)
# Location.
num_loc_pred = num_anchors * 4
loc_pred = slim.conv2d(net, num_loc_pred, [3, 3], activation_fn=None,
scope='conv_loc')
loc_pred = custom_layers.channel_to_last(loc_pred)
loc_pred = tf.reshape(loc_pred,
tensor_shape(loc_pred, 4)[:-1]+[num_anchors, 4])
# Class prediction.
num_cls_pred = num_anchors * num_classes
cls_pred = slim.conv2d(net, num_cls_pred, [3, 3], activation_fn=None,
scope='conv_cls')
cls_pred = custom_layers.channel_to_last(cls_pred)
cls_pred = tf.reshape(cls_pred,
tensor_shape(cls_pred, 4)[:-1]+[num_anchors, num_classes])
return cls_pred, loc_pred
def ssd_net(inputs,
num_classes=SSDNet.default_params.num_classes,
feat_layers=SSDNet.default_params.feat_layers,
anchor_sizes=SSDNet.default_params.anchor_sizes,
anchor_ratios=SSDNet.default_params.anchor_ratios,
normalizations=SSDNet.default_params.normalizations,
is_training=True,
dropout_keep_prob=0.5,
prediction_fn=slim.softmax,
reuse=None,
scope='ssd_300_vgg'):
"""SSD net definition.
"""
# if data_format == 'NCHW':
# inputs = tf.transpose(inputs, perm=(0, 3, 1, 2))
# End_points collect relevant activations for external use.
end_points = {}
with tf.variable_scope(scope, 'ssd_300_vgg', [inputs], reuse=reuse):
# Original VGG-16 blocks.
net = slim.repeat(inputs, 2, slim.conv2d, 64, [3, 3], scope='conv1')
end_points['block1'] = net
net = slim.max_pool2d(net, [2, 2], scope='pool1')
# Block 2.
net = slim.repeat(net, 2, slim.conv2d, 128, [3, 3], scope='conv2')
end_points['block2'] = net
net = slim.max_pool2d(net, [2, 2], scope='pool2')
# Block 3.
net = slim.repeat(net, 3, slim.conv2d, 256, [3, 3], scope='conv3')
end_points['block3'] = net
net = slim.max_pool2d(net, [2, 2], scope='pool3')
# Block 4.
net = slim.repeat(net, 3, slim.conv2d, 512, [3, 3], scope='conv4')
end_points['block4'] = net
net = slim.max_pool2d(net, [2, 2], scope='pool4')
# Block 5.
net = slim.repeat(net, 3, slim.conv2d, 512, [3, 3], scope='conv5')
end_points['block5'] = net
net = slim.max_pool2d(net, [3, 3], stride=1, scope='pool5')
# Additional SSD blocks.
# Block 6: let's dilate the hell out of it!
net = slim.conv2d(net, 1024, [3, 3], rate=6, scope='conv6')
end_points['block6'] = net
net = tf.layers.dropout(net, rate=dropout_keep_prob, training=is_training)
# Block 7: 1x1 conv. Because the fuck.
net = slim.conv2d(net, 1024, [1, 1], scope='conv7')
end_points['block7'] = net
net = tf.layers.dropout(net, rate=dropout_keep_prob, training=is_training)
# Block 8/9/10/11: 1x1 and 3x3 convolutions stride 2 (except lasts).
end_point = 'block8'
with tf.variable_scope(end_point):
net = slim.conv2d(net, 256, [1, 1], scope='conv1x1')
net = custom_layers.pad2d(net, pad=(1, 1))
net = slim.conv2d(net, 512, [3, 3], stride=2, scope='conv3x3', padding='VALID')
end_points[end_point] = net
end_point = 'block9'
with tf.variable_scope(end_point):
net = slim.conv2d(net, 128, [1, 1], scope='conv1x1')
net = custom_layers.pad2d(net, pad=(1, 1))
net = slim.conv2d(net, 256, [3, 3], stride=2, scope='conv3x3', padding='VALID')
end_points[end_point] = net
end_point = 'block10'
with tf.variable_scope(end_point):
net = slim.conv2d(net, 128, [1, 1], scope='conv1x1')
net = slim.conv2d(net, 256, [3, 3], scope='conv3x3', padding='VALID')
end_points[end_point] = net
end_point = 'block11'
with tf.variable_scope(end_point):
net = slim.conv2d(net, 128, [1, 1], scope='conv1x1')
net = slim.conv2d(net, 256, [3, 3], scope='conv3x3', padding='VALID')
end_points[end_point] = net
# Prediction and localisations layers.
predictions = []
logits = []
localisations = []
for i, layer in enumerate(feat_layers):
with tf.variable_scope(layer + '_box'):
p, l = ssd_multibox_layer(end_points[layer],
num_classes,
anchor_sizes[i],
anchor_ratios[i],
normalizations[i])
predictions.append(prediction_fn(p))
logits.append(p)
localisations.append(l)
return predictions, localisations, logits, end_points
ssd_net.default_image_size = 300
def ssd_arg_scope(weight_decay=0.0005, data_format='NHWC'):
"""Defines the VGG arg scope.
Args:
weight_decay: The l2 regularization coefficient.
Returns:
An arg_scope.
"""
with slim.arg_scope([slim.conv2d, slim.fully_connected],
activation_fn=tf.nn.relu,
weights_regularizer=slim.l2_regularizer(weight_decay),
weights_initializer=tf.contrib.layers.xavier_initializer(),
biases_initializer=tf.zeros_initializer()):
with slim.arg_scope([slim.conv2d, slim.max_pool2d],
padding='SAME',
data_format=data_format):
with slim.arg_scope([custom_layers.pad2d,
custom_layers.l2_normalization,
custom_layers.channel_to_last],
data_format=data_format) as sc:
return sc
# =========================================================================== #
# Caffe scope: importing weights at initialization.
# =========================================================================== #
def ssd_arg_scope_caffe(caffe_scope):
"""Caffe scope definition.
Args:
caffe_scope: Caffe scope object with loaded weights.
Returns:
An arg_scope.
"""
# Default network arg scope.
with slim.arg_scope([slim.conv2d],
activation_fn=tf.nn.relu,
weights_initializer=caffe_scope.conv_weights_init(),
biases_initializer=caffe_scope.conv_biases_init()):
with slim.arg_scope([slim.fully_connected],
activation_fn=tf.nn.relu):
with slim.arg_scope([custom_layers.l2_normalization],
scale_initializer=caffe_scope.l2_norm_scale_init()):
with slim.arg_scope([slim.conv2d, slim.max_pool2d],
padding='SAME') as sc:
return sc
# =========================================================================== #
# SSD loss function.
# =========================================================================== #
def ssd_losses(logits, localisations,
gclasses, glocalisations, gscores,
match_threshold=0.5,
negative_ratio=3.,
alpha=1.,
label_smoothing=0.,
device='/cpu:0',
scope=None):
with tf.name_scope(scope, 'ssd_losses'):
lshape = tfe.get_shape(logits[0], 5)
num_classes = lshape[-1]
batch_size = lshape[0]
# Flatten out all vectors!
flogits = []
fgclasses = []
fgscores = []
flocalisations = []
fglocalisations = []
for i in range(len(logits)):
flogits.append(tf.reshape(logits[i], [-1, num_classes]))
fgclasses.append(tf.reshape(gclasses[i], [-1]))
fgscores.append(tf.reshape(gscores[i], [-1]))
flocalisations.append(tf.reshape(localisations[i], [-1, 4]))
fglocalisations.append(tf.reshape(glocalisations[i], [-1, 4]))
# And concat the crap!
logits = tf.concat(flogits, axis=0)
gclasses = tf.concat(fgclasses, axis=0)
gscores = tf.concat(fgscores, axis=0)
localisations = tf.concat(flocalisations, axis=0)
glocalisations = tf.concat(fglocalisations, axis=0)
dtype = logits.dtype
# Compute positive matching mask...
pmask = gscores > match_threshold
fpmask = tf.cast(pmask, dtype)
n_positives = tf.reduce_sum(fpmask)
# Hard negative mining...
no_classes = tf.cast(pmask, tf.int32)
predictions = slim.softmax(logits)
nmask = tf.logical_and(tf.logical_not(pmask),
gscores > -0.5)
fnmask = tf.cast(nmask, dtype)
nvalues = tf.where(nmask,
predictions[:, 0],
1. - fnmask)
nvalues_flat = tf.reshape(nvalues, [-1])
# Number of negative entries to select.
max_neg_entries = tf.cast(tf.reduce_sum(fnmask), tf.int32)
n_neg = tf.cast(negative_ratio * n_positives, tf.int32) + batch_size
n_neg = tf.minimum(n_neg, max_neg_entries)
val, idxes = tf.nn.top_k(-nvalues_flat, k=n_neg)
max_hard_pred = -val[-1]
# Final negative mask.
nmask = tf.logical_and(nmask, nvalues < max_hard_pred)
fnmask = tf.cast(nmask, dtype)
# Add cross-entropy loss.
with tf.name_scope('cross_entropy_pos'):
loss = tf.nn.sparse_softmax_cross_entropy_with_logits(logits=logits,
labels=gclasses)
loss = tf.div(tf.reduce_sum(loss * fpmask), batch_size, name='value')
tf.losses.add_loss(loss)
with tf.name_scope('cross_entropy_neg'):
loss = tf.nn.sparse_softmax_cross_entropy_with_logits(logits=logits,
labels=no_classes)
loss = tf.div(tf.reduce_sum(loss * fnmask), batch_size, name='value')
tf.losses.add_loss(loss)
# Add localization loss: smooth L1, L2, ...
with tf.name_scope('localization'):
# Weights Tensor: positive mask + random negative.
weights = tf.expand_dims(alpha * fpmask, axis=-1)
loss = custom_layers.abs_smooth(localisations - glocalisations)
loss = tf.div(tf.reduce_sum(loss * weights), batch_size, name='value')
tf.losses.add_loss(loss)
def ssd_losses_old(logits, localisations,
gclasses, glocalisations, gscores,
match_threshold=0.5,
negative_ratio=3.,
alpha=1.,
label_smoothing=0.,
device='/cpu:0',
scope=None):
"""Loss functions for training the SSD 300 VGG network.
This function defines the different loss components of the SSD, and
adds them to the TF loss collection.
Arguments:
logits: (list of) predictions logits Tensors;
localisations: (list of) localisations Tensors;
gclasses: (list of) groundtruth labels Tensors;
glocalisations: (list of) groundtruth localisations Tensors;
gscores: (list of) groundtruth score Tensors;
"""
with tf.device(device):
with tf.name_scope(scope, 'ssd_losses'):
l_cross_pos = []
l_cross_neg = []
l_loc = []
for i in range(len(logits)):
dtype = logits[i].dtype
with tf.name_scope('block_%i' % i):
# Sizing weight...
wsize = tfe.get_shape(logits[i], rank=5)
wsize = wsize[1] * wsize[2] * wsize[3]
# Positive mask.
pmask = gscores[i] > match_threshold
fpmask = tf.cast(pmask, dtype)
n_positives = tf.reduce_sum(fpmask)
# Select some random negative entries.
# n_entries = np.prod(gclasses[i].get_shape().as_list())
# r_positive = n_positives / n_entries
# r_negative = negative_ratio * n_positives / (n_entries - n_positives)
# Negative mask.
no_classes = tf.cast(pmask, tf.int32)
predictions = slim.softmax(logits[i])
nmask = tf.logical_and(tf.logical_not(pmask),
gscores[i] > -0.5)
fnmask = tf.cast(nmask, dtype)
nvalues = tf.where(nmask,
predictions[:, :, :, :, 0],
1. - fnmask)
nvalues_flat = tf.reshape(nvalues, [-1])
# Number of negative entries to select.
n_neg = tf.cast(negative_ratio * n_positives, tf.int32)
n_neg = tf.maximum(n_neg, tf.size(nvalues_flat) // 8)
n_neg = tf.maximum(n_neg, tf.shape(nvalues)[0] * 4)
max_neg_entries = 1 + tf.cast(tf.reduce_sum(fnmask), tf.int32)
n_neg = tf.minimum(n_neg, max_neg_entries)
val, idxes = tf.nn.top_k(-nvalues_flat, k=n_neg)
max_hard_pred = -val[-1]
# Final negative mask.
nmask = tf.logical_and(nmask, nvalues < max_hard_pred)
fnmask = tf.cast(nmask, dtype)
# Add cross-entropy loss.
with tf.name_scope('cross_entropy_pos'):
fpmask = wsize * fpmask
loss = tf.nn.sparse_softmax_cross_entropy_with_logits(logits=logits[i],
labels=gclasses[i])
loss = tf.losses.compute_weighted_loss(loss, fpmask)
l_cross_pos.append(loss)
with tf.name_scope('cross_entropy_neg'):
fnmask = wsize * fnmask
loss = tf.nn.sparse_softmax_cross_entropy_with_logits(logits=logits[i],
labels=no_classes)
loss = tf.losses.compute_weighted_loss(loss, fnmask)
l_cross_neg.append(loss)
# Add localization loss: smooth L1, L2, ...
with tf.name_scope('localization'):
# Weights Tensor: positive mask + random negative.
weights = tf.expand_dims(alpha * fpmask, axis=-1)
loss = custom_layers.abs_smooth(localisations[i] - glocalisations[i])
loss = tf.losses.compute_weighted_loss(loss, weights)
l_loc.append(loss)
# Additional total losses...
with tf.name_scope('total'):
total_cross_pos = tf.add_n(l_cross_pos, 'cross_entropy_pos')
total_cross_neg = tf.add_n(l_cross_neg, 'cross_entropy_neg')
total_cross = tf.add(total_cross_pos, total_cross_neg, 'cross_entropy')
total_loc = tf.add_n(l_loc, 'localization')
# Add to EXTRA LOSSES TF.collection
tf.add_to_collection('EXTRA_LOSSES', total_cross_pos)
tf.add_to_collection('EXTRA_LOSSES', total_cross_neg)
tf.add_to_collection('EXTRA_LOSSES', total_cross)
tf.add_to_collection('EXTRA_LOSSES', total_loc)
4.3、测试结果


5、参考
[1].https://github.com/balancap/SSD-Tensorflow
[2].深度学习卷积神经网络从入门到精通
[3].深度学习核心技术与实践
[4].动手学深度学习