ASL(关键字的平均比较次数)=∑Pi*Ci(i....n)
n:记录的个数,Pi:查找第i个记录的概率(通常认为pi=1/n),ci:找到第i个记录所需要的比较次数。
顺序查找
例:
int Search_Seq( SSTable ST , KeyType key )
{ //若成功返回其位置信息,否则返回0
ST.R[0].key =key;
for( i=ST.length; ST.R[ i ].key!=key; - - i );
//不用for(i=n; i>0; - -i) 或 for(i=1; i<=n; i++)
return i;
}
1) 查找成功时的平均查找长度 设表中各记录查找概率相等 ASLs(n)=(1+2+ ... +n)/n =(n+1)/2。
2)查找不成功时的平均查找长度 ASLf =n+1。
对于顺序查找,查找概率相等时,ASL相同。 查找概率不等时,如果从前向后查找,则按查找概率由大到小排列的有序表其ASL要比无序表ASL小。
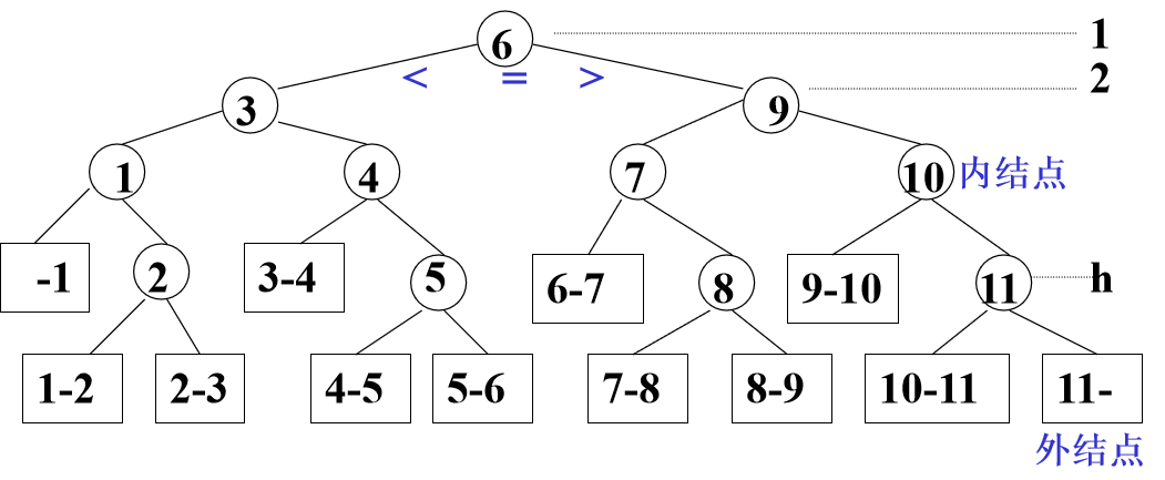
折半查找:

如图,根据判定树求解,假设每个元素的查找概率相等,则查找成功时的asl=1/11(概率)*(1*1+2*2+4*3+4*4)。第一层的一个数比较成功时所需比较次数一次,第二层的两个数需要两次,依此类推。即查找成功时比较次数:为该结点在判定树上的层次数,不超过树的深度 d = 【 log2 n 】(向下取值) + 1, 查找不成功的过程就是走了一条从根结点到外部结点的路径d或d-1。
最近在学数据结构,很多地方不会,所以整理一下,当做个笔记,错误的地方请指正。
版权声明:本文为qq_41006598原创文章,遵循CC 4.0 BY-SA版权协议,转载请附上原文出处链接和本声明。