Leetcode501
链接:力扣 。
题目:
给定一个有相同值的二叉搜索树(BST),找出 BST 中的所有众数(出现频率最高的元素)。
假定 BST 有如下定义:
- 结点左子树中所含结点的值小于等于当前结点的值
- 结点右子树中所含结点的值大于等于当前结点的值
- 左子树和右子树都是二叉搜索树
说明:如果众数超过1个,不需考虑输出顺序 。
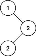
示例1:

输入:root = [1,null,2,2]
输出:[2]
示例2:
输入:root = [0]
输出:[0]
思路:
对于本题,如果是一棵普通的树,那么就只能遍历完所有结点,然后用map来统计出现次数。
但是本题为二叉搜索树。对于BST,用中序遍历访问就可以得到一个升序数组。而在一个升序的数组中,相同值的元素一定是连续出现的。这就给我们解题带来了思路。
参考代码:
/**
* Definition for a binary tree node.
* struct TreeNode {
* int val;
* TreeNode *left;
* TreeNode *right;
* TreeNode() : val(0), left(nullptr), right(nullptr) {}
* TreeNode(int x) : val(x), left(nullptr), right(nullptr) {}
* TreeNode(int x, TreeNode *left, TreeNode *right) : val(x), left(left), right(right) {}
* };
*/
class Solution {
public:
int count, maxCount;
vector<int> result;
void traversal(TreeNode* root, TreeNode* &pre) {
if (root == nullptr) {
return;
}
traversal(root->left, pre);
if (pre == nullptr || pre->val == root->val) {
count++;
}
else {
count = 1;
}
pre = root;
if (count > maxCount) {
result.clear();
result.push_back(root->val);
maxCount = count;
}
else if (count == maxCount) {
result.push_back(root->val);
}
traversal(root->right, pre);
}
vector<int> findMode(TreeNode* root) {
count = 0;
maxCount = 0;
TreeNode *pre = nullptr;
result.clear();
traversal(root, pre);
return result;
}
};版权声明:本文为jgsecurity原创文章,遵循CC 4.0 BY-SA版权协议,转载请附上原文出处链接和本声明。