违约概率:p
比率(违约概率/正常概率): odds=p/(1-p)
评分卡分值:表示为比率对数的线性表达式
Score=A-B*log(odds)
A、B是常数,负号的作用使得违约概率越低,分数越高。
Logistic回归模型:
L o g ( o d d s ) = β + β 1 ∗ x 1 + … + β p ∗ x p Log(odds)=β+β1*x1+…+β_p*x_pLog(odds)=β+β1∗x1+…+βp∗xp
其中,用建模参数拟合模型可以得到模型参数β(截距),β1,…,βp.
两个假设:
1.在某个特定的比率设定特定的预期分值(设定比率为θ的特定点的分值为P);
2.指定比率翻番的分数(PDO)(比率为2θ的点的分值为P-PDO).
代入公式Score=A-B*log(odds)得到如下等式:
P=A-B*log(θ)
P-PDO=A-B*log(2θ)
解方程:
B=PDO/log(2)
A=P+B*log(θ)
例:假设想要设定评分卡刻度是的比率为(违约比正常)时的分值是600分,PDO=20,然后计算得出:B=28.25 A=481.66
则可以计算分值为:Score=481.89-28.85log(odds)
常数A称为补偿,常数B称为刻度。

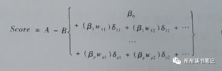
分值分配:
Score=A-B*log(p/(1-p))
=A-B*
其中,变量x1,…xP是出现在最终模型中的自变量(已经过变量选择程序)。由于所有变量都已经经过了WOE转换,则可以将这些变量中的每一个写成如下展开式:

其中wij是第i个变量的第j个分类的证据权重;σij是二元变量,标识变量i是否取第j个值。基础分值等于A-B*β0.
评分卡建模过程中面临的挑战是:模型参数的确定、变量的分段、分段WOE
矩阵策略:用一个或多个没有出现在评分卡中的变量建立一个临界层,这个临界层可以表现为一个简单的表或决策树。