图(Graph)- 遍历
图(Graph)- AOV网(Activity On Vertex Nework)- 拓扑排序(Topological Sort)
图(Graph)- 生成树(Spanning Tree)
图(Graph)- 生成树(Spanning Tree)- Prim(普里姆算法)
图(Graph)- 生成树(Spanning Tree)- Kruskal(克鲁斯科尔算法)
图(Graph)- 最短路径(Shortest Path)
图(Graph)- 最短路径(Shortest Path)- Dijkstra(迪杰斯特拉算法)
图(Graph)- 最短路径(Shortest Path)- Bellman-Ford(贝尔曼-福特算法)
图(Graph)- 最短路径(Shortest Path)- Floyd(弗洛伊德算法)
图(Graph)

- 图由顶点(vertex)和边(edge)组成,通常表示为G = (V, E)
- G标识一个图,V是顶点集,E是边集
- 顶点集V有穷且非空
- 任意两个顶点之间都可以用边来表示它们之间的关系,边集E可以是为空的

图的应用举例
- 图结构的应用极其广泛
- 社交网络
- 地图
- 游戏开发
- …

有向图(Directed Graph)
- 有向图的边是有明确方向的

- 有向无环图(Directed Acyclic Graph,简称DAG)
- 如果一个有向图,从任意顶点出发无法经过若干条边回到该顶点,那么它就是一个有向无环图

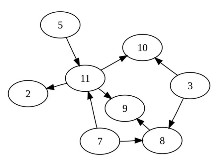
出度、入度
出度、入度适用于有向图
- 出度(Out-degree)
- 一个顶点的出度为x,是指有x条边以该顶点为起点
- 顶点11的出度是3
- 入度(In-degree)
- 一个顶点的入度为x,是指有x条边以该顶点为终点
- 顶点11的入度是2

无向图(Undirected Graph)
- 无向图的边是无方向的

- 效果类似于下面的有向图

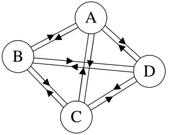
混合图(Mixed Graph)
- 混合图的边可能是无向的,也可能是有向的

简单图、多重图
- 平行边
- 无向图中,关联一对顶点的无向边如果多于1条,则称这些边为平行边
- 在有向图中,关联一对顶点的有向边如果多于1条,并且它们的方向相同,则称这些边为平行边
- 多重图(Multi Graph)
有平行边或者有自环的图 - 简单图(Simple Graph)
既没有平行边也没有自环的图 - 博客中讨论的基本都是简单图

无向完全图( Undirected Complete Graph)
- 无向完全图的任意两个顶点之间都存在边
- n个顶点的无向完全图有n (n - 1) / 2条边
- (n - 1) + (n - 2) + (n - 3) + … + 3 + 2 + 1

有向完全图( Directed Complete Graph)
- 有向完全图的任意两个顶点之间都存在方向相反的两条边
- n个顶点的有向完全图有n(n-1)条边

- 稠密图(Dense Graph):边数接近于或等于完全图
- 疏密秃(Sparse Graph):边数远远少于完全图
有权图( Weighted Graph)
- 有权图的边可以拥有权值(Weight)

连通图( Connected Graph)
- 如果顶点x和y之间存在可相互抵达的路径(直接或者间接的路径),则称x和y是连通的
- 如果无向图G中任意2个顶点都是连通的,则称G为连通图

连通分量( Connected Component)
- 如果顶点x和y之间存在可相互抵达的路径(直接或者间接的路径),则称x和y是连通的
- 连通图只有一个连通分量,即其自身;非连通的无向图有多个连通分量
- 下面的无向图有3个连通分量

强连通图( Strongly Connected Graph)
- 如果有向图G中任意2个顶点都是连通的,则称G为强连通图

强连通分量( Strongly Connected Component)
- 强连通分量:有向图的极大强连通子图
- 强连通图只有一个强连通分量,即其自身;非强连通的有向图有多个强连通分量

图的实现方案
- 图由2种常见的实现方案
- 邻接矩阵(Adjacency Matrix)
- 邻接表(Adjacency List)
邻接矩阵(Adjacency Matrix)
- 邻接矩阵的存储方式
- 一位数组存放顶点信息
- 二位数组存放边信息
- 邻接矩阵比较适合稠密图
- 不然会比较浪费内存

邻接矩阵 - 有权图

邻接表(Adjacency List)

邻接表- 有权图

图的基础接口
int verticesSize();
int edgesSize();
void addVertex(V v);
void removeVertex(V v);
void addEdge(V fromV, V toV);
void addEdge(V fromV, V toV, E weight);
void removeEdge(V fromV, V toV);
顶点的定义
private static class Vertex<V, E> {
V value;
Set<Edge<V, E>> inEdges = new HashSet<>();
Set<Edge<V, E>> outEdges = new HashSet<>();
Vertex(V value) {
this.value = value;
}
@override
public boolean equals(Object obj) {
return Objects.eqauls(value, ((Vertex<V, E> obj).value));
}
@override
public int hashCode() {
return value == null ? 0 : value.hashCode();
}
}
边的定义
private static class Edge<V, E> {
Vertex<V, E> from;
Vertex<V, E> to;
E weight;
public boolean equals(Object obj) {
Edge<V, E> edge = (Edge<V, E>) obj;
return from.equals(edge.from) && to.equal(edge.to);
}
public int hashCode() {
return form.hashCode() * 31 + to.hashCode();
}
}
版权声明:本文为songzhuo1991原创文章,遵循CC 4.0 BY-SA版权协议,转载请附上原文出处链接和本声明。