在通信技术的学习过程中,各位同学会面临多种"谱":频谱/频谱密度/能量谱/功率谱。这些谱在大学课堂上也经常"混用",讲课一笔带过,这就让各位同学深深的陷入沉思,迷惑不解。

图1 这些都是些啥
功率信号与能量信号
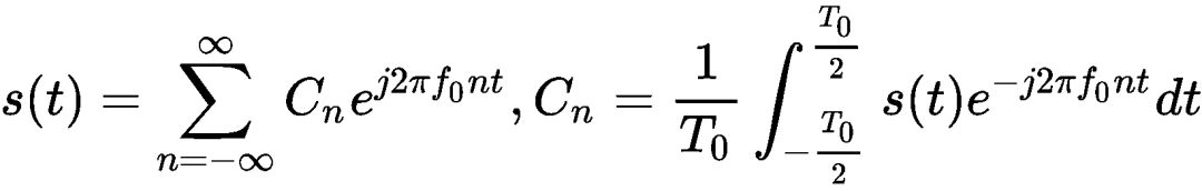
确知信号是指其取值在任何时间都是确定的和可预知的信号,通常可以用数学公式表示它在任何时间的取值。例如,振幅、频率和相位都是确定的一段正弦波,它就是一个确知信号。按照是否具有周期重复性,确知信号可以分为周期信号和非周期信号。在数学上,若一个信号f(t)满足下述条件
f(t)=f(t+T)
式中T>0,为一常数,则称此信号为周期信号,否则为非周期信号。满足上式的最小T称为此信号的周期T0,将1/T0称为基频f0。一个无限长的正弦波,例如f(t)=8sin(5t+1),就属于周期信号,其周期T0=2π/5。一个矩形脉冲就是非周期信号。
我们再从一个高中物理知识来引出能量信号和功率信号的概念。已知阻值为R的电阻上的电压和电流分别为v和i,则此电信号的瞬时功率为:
p = v^2/R = i^2/R
可与认为,信号电流I或电压V的平方都等于功率。后面我们一般化用S代表信号的电流或电压来计算信号功率。若信号电压和电流的值随时间变,则S可以改那些为时间t的函数f(t)。故f(t)代表信号电压或电流的时间波形。这时,信号能量E应当时信号瞬时功率的积分:

图2 信号能量
如果上述积分存在,则称之为能量信号。信号f(t)的能量有限,称为能量有限信号,简称能量信号。满足能量有限条件,实际上就满足了绝对可积条件。能量有限信号是指能量有限(能量为正的有限值)且不为0,而平均功率为0。典型的能量信号如方波信号、三角波信号等,非周期的确定信号是能量信号。

图3 积分是否存在
对于一些能量不可积的无限信号而言,如周期信号和能量无限的随机信号,无法用其能量来描述,此时就需要用功率来描述这类信号。功率就是指该信号在整个时间域内的能量累计对时间的平均。功率有限信号是指能量无穷大(或叫无限),而平均功率有限(平均功率为有限的正值)的信号。

图4 信号的平均功率
在实际的通信系统中,信号都具有有限的功率、有限的持续时间,因而具有有限的能量。但是,若信号的持续时间非常长,例如广播信号,则可近似认为它具有无限长的持续时间。此时,认为定义的信号平均功率是一个有限的正值,但是其能量近似等于无穷大。我们把这种信号称为功率信号。
总结一下,信号可以分成两类:
能量信号,其能量等于一个有限正值,但平均功率为零;
功率信号,其平均功率等于一个有限正值,但能量为无穷大;
确知信号再频域中的性质,即频率特性,由其各个频率分量的分布表示。它是信号的最重要的性质之一,和信号的占用频带宽带以及信号的抗噪声能力有密切关系,信号的频率特性有四种,即功率信号的频谱、能量信号的频谱密度、能量信号的能量谱密度和功率信号的功率谱密度,
频谱
我们正常的所说的频谱,通常指的是傅里叶级数。我们之前多次聊过了傅里叶级数,

这里不再赘述,直接看图。

图5 傅里叶级数的三维表示
方波脉冲的频谱

图6 脉冲方波的傅里叶级数
频谱密度
设一个能量信号为s(t),则将它的傅里叶变换定义为它的频谱密度

能量信号的频谱密度F(w)和周期性功率信号的频谱Cn的主要区别有两点:
F(w)是连续谱;Cn是离散谱
F(w)的单位是伏/赫(V/Hz);Cn的单位是伏(V)
能量信号的能量有限,并分布在连续频率轴上,所以在每个频率点f上信号的幅度是无穷小;只有在一个小段频率间隔df上才有确定的非零振幅。功率信号的功率有限,但能量无限,它在无限多的离散频率点上有确定的非零振幅。

图7 傅里叶级数如何过度到傅里叶频谱
从上图中,我们可以看出,当脉冲信号的周期T不断变大的时候,频谱宽度逐步变窄。这个时候我们画出F(nw)/w的频谱密度函数。图中红色长方形,宽度为w,长度为F(nw)/w,面积为F(nw)。

图8 傅里叶级数到傅里叶变换,离散到连续的谱
一般情况下,在针对能量信号讨论问题时,也常把频谱密度简称为频谱,这时在概念率上不要把它和周期信号的频谱相混淆。
能量谱密度
能量谱也叫能量谱密度,针对能量有限的信号,是指用密度的概念表示信号能量在各频率点的分布情况。也即是说,对能量谱在频域上积分就可以得到信号的能量。能量谱(密度)是信号幅度谱的模的平方,能量谱(密度)也是能量信号傅里叶变换绝对值的平方【帕塞瓦尔定理】。能量谱密度的单位是焦耳/Hz。
设一个能量信号s(t)的能量为E,此信号的傅里叶变换(即频谱密度)为S(f),则由【帕塞瓦尔定理】得知:

其中G(f)为能量谱密度。
式中|S(f)|^2在频率轴f上的积分等于信号能量,所以称|S(f)|^2为能量谱密度(Energy Spectrum Density),它表示在频率f处宽度为df的频带内的信号能量,后者也可以看作时单位频带内的信号能量。
功率谱密度
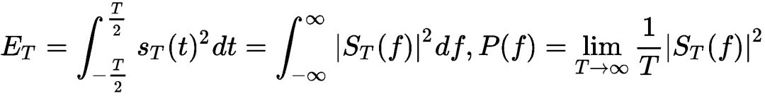
由于功率信号具有无穷大的能量,所以上述式子的积分不存在,所以不能计算功率信号的能量谱密度。但是可以求出它的功率谱密度。为此,我们首先将信号s(t)截短长度等于T的一个截短信号sT(t),-T/2

其中P(f)定义为信号的功率谱密度。
功率谱也叫功率谱密度(power spectral density,PSD),针对功率有限的信号,从名字分解来看,观察对象是功率,观察域是谱域,通常指频域,而密度是指观察对象在观察域的分布情况,也就是指信号功率随着频率的变化情况。所以,针对功率有限信号,功率谱密度定义为单位频带内的信号功率随频率的变化情况。也就是说,对功率谱在频域上积分就可以得到信号的功率。
频谱与功率谱、能量谱有啥区别和联系?
1)一个信号的频谱,是指将信号从时域表示转变为频域表示,而功率谱、能量谱是从功率、能量的观点对信号进行的研究,其实频谱和功率谱的关系归根揭底还是信号和功率,能量等之间的关系;
2)频谱通常指信号的Fourier变换,是一个时间平均(time average)概念,频谱反映的是信号的幅度和相位随频率的分布情况,它在频域中描述了信号的特征;功率谱的概念是针对功率有限信号的(能量有限信号可用能量谱分析),所表现的是单位频带内信号功率随频率的变换情况。功率谱保留了频谱分析的幅度信息,但是丢掉了频谱分析的相位信息,所以频谱不同的信号其功率谱是可能相同的;