目录
1. 计算机网络
计算机网络是通信技术和计算机技术紧密结合的产物,是一种通信网络。
计算机网络就是互连的、自治的计算机集合。
自治:无主从关系 互连:互联互通
通过交换网络互联主机,其中交换节点为路由器或交换机。
Internet的组成细节:
全球最大的互联网络——ISP(互联网服务提供商)网络互连的“网络之网络”
计算设备的集合:主机(hosts)即端系统(end systems),运行各种网络应用。
通信链路:光纤,钢缆,无线电,卫星。
分组交换:转发分组(数据包),由路由器或交换机实现

2. 网络协议
网络协议是为进行网络中的数据交换而建立的规则、标准或约定。
协议的三要素:
语法:数据与控制信息的结构或格式、信号电平
语义:需要发出何种控制信息,完成何种动作以及做出何种响应、差错控制
时序:时间顺序和速度匹配
3. 计算机网络的结构
网络边缘:主机、网络应用
接入网络,物理介质:有线或无线通信链路
网络核心(核心网络):互联的路由器(分组转发设备)、网络之网络

(1)网络边缘
主机:位置网络边缘,运行网络应用程序,如Web,email
C/S(client/server、客户/服务器)应用模型:客户发送请求,接收服务器响应,如Web应用或文件传输FTP应用
P2P(peer-peer、对等)应用模型:无(不依赖)专用服务器,通信在对等的实体间直接进行。如Gnutella,BT,Skype,QQ
(2)接入网络
接入网:端系统物理连接到边缘路由器的网络
a. 家庭接入:DSL、电缆、FTTH、拨号和卫星
宽带住宅接入的主要形式:数据用户线路(DSL)和电缆
数据用户线路(DSL)
从提供本地电话接入的本地电话公司处获得DSL因特网接入。此时,用户的本地电话公司就是ISP。用户的DSL调制解调器使用现有的电话线与位于电话公司的本地中心局中的数据用户线接入复用器(DSLAM)交换数据。家庭的DSL调制解调器得到数字数据后转化为高频音,通过电话线传给中心局。

电话线同时承载了数据和传统的电话信号,用不同的频率进行编码(FDM)。
高速下行信道:50kHz-1Mhz
中速上行信道:4kHz-50kHz
普通的双向电话信道:0-4kHz
电缆网络
利用有线电视公司现有的有线电视基础设施。住宅从提供有线电视的公司获得点来因特网接入。系统使用混合光纤同轴(HFC),意味着在系统中应用了光纤和同轴电缆。
电缆接入需要电缆调制解调器,由以太网接口连接到家庭PC。在电缆头端接入CMTS,与DSL中DSLAM具有类似功能,将下行家庭中的调制解调器发送的模拟信号转换为数字形式。
电缆调制解调器将HFC网络划分为上行下行两个信道。接入为非对称的,下行的传输速率比上行高。

各家庭(设备)共享家庭到电缆头端的接入网络,不同于DSL的独占中心局的接入。
光纤到户(FTTH)
直接光纤:从本地中心局到每户设置一根光纤
更一般的:每根光纤由很多家庭共享,接近之后再分给每户一个光纤。
区分为两类:主动光纤网络(AON,实质为交换因特网)和被动光纤网络(PON)
PON:每个家庭有一个光纤网络端接器(ONT),由专门的光纤连接到临近的分配器,分配器集结到一个共享的光纤到中心局的骨光纤线路端接器(OLT)。
ONU光网络单元,ONT通过一个或多个无源分光器,连接到OLT。

b. 机构(企业)接入网络:以太网和WiFi
以太网
主要用于公司、高校、企业等组织机构,速率常有:10Mbps、100Mbps、1Gbps、10Gbps。端系统直接连接以太网交换机。

无线接入网络
通过共享的无线接入网络连接端系统与路由器,通过基站或接入点。
无线局域网(LANs)
无线用户从一个接入点发送分组,接入点再与企业网连接,企业网再与有线因特网连接。必须在接入点的几十米范围内。
广域无线接入
通过蜂窝网提供商运营的基站来发送和接收分组,接入范围再基站的数万米内。
(3)网络核心
解决基本问题——数据如何从网络核心送达目的主机
方式:数据交换
4. Internet结构
网络之网络

IXP:Internet exchange point,连接ISP网络的节点
regional net:区域网络

“一级”(tier-1)商业ISPs (如:网通、电信、Sprint、 AT&T),提供国家或国际范围的覆盖 ▪
内容提供商网络(content provider network, 如:Google):私有网络, 连接其数据中心与Internet,通常绕过一级ISP和区域ISPs
5. 数据交换
数据交换——动态分配传输资源
(1)电路交换
典型的电路交换网络:电话网络
分为三个阶段:建立连接(呼叫/电路建立|、通信、释放连接(拆除电路)
电路交换独占资源。
多路复用技术:链路/网络资源(带宽)划分为“资源片”,将资源片分配给各路“呼叫”,每路呼叫独占分配到的资源片进行通信,资源片可能“闲置”(idle) (无共享)
复用方法:
FDM(频分多路复用):各用户占用不同的频道带宽(Hz)资源,用户始终使用被分配的频带
TDM(时分多路复用):时间划分成一段段等长的时分复用帧,每个用户在TDM帧中占用固定序号的时隙,时隙周期性地出现,所有用户在不同时间占用相同地频带宽度。

WDM(波分多路复用):与FDM一致
CDM(码分多路复用)
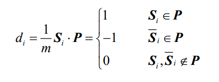
用户分配到一个唯一地m位地码片序列,0用-1表示,1用+1表示。用户使用相同频率载波,利用用户地码片序列编码数据。
编码信号 = (原始数据) (码片序列),即数据为1为码片序列,为0为序列的反码。
各个用户的码片序列相互正交。
解码:码片序列与编码信号内积除以m


(2)报文交换
报文:愿(应用)发送信息整体——整个文件
(3)分组交换
分组:报文分拆出来的一系列相对较小的数据包。分组交换需要报文的拆分与重组,会产生额外开销。报文交换与分组交换均采用存储-转发的交换方式。报文以完整报文进行,分组以较小的分组进行。
存储转发传输:交换机能够开始向输出链路传输该分组的第一个bit之前,必须接收到整个分组。
计算传输延迟:每个分组大小L bits,链路传输速率为R bps,报文长度为M bits,有N个路由器进行转发。

报文交换:每次的传输延迟均为 M/R,在 N+1 条传输链路上传输,一共需要 (N+1)* M/R
分组交换:每次传输一个分组,当前一个分组到达下一个路由器时,此时并行地,这个路由器也接收到了下一个分组。
假设一共有 n 个分组,n = M/L,当最后一个分组从源出发时,此时从源已经不间断地发出了(n-1)个分组,经过的总传输延迟为 (n-1)*L/R。最后一个分组从源到目的的过程中,经过了(N+1)*L/R的时间,则总时长为 M/R+N*L/R,它约等于M/R,当题目中出现”约“时可以直接计算。
分组交换的意义:
1. 实现网络资源的充分共享,允许更多用户同时使用网络。
2. 适用于突发的数据传输,简单、无需呼叫建立
3. 可能产生拥塞,分组延迟与丢失。
6. 计算机网络性能
速率(数据率、数据传输速率、比特率):往往指额定速率或标称速率。
带宽:信号具有的频道宽度,是最高披绿与最低频率之差,单位Hz。网络的带宽通常是数字信道能传送的最高数据率,即最大速率。
延迟/时延:
排队原因:分组到达速率大于输出链路容量时,分组排队,等待发送。
节点处理延迟:进行差错检测、确定输出链路。通常<msec,可以不计
排队延迟:等待输出链路可用,取决于路由器的拥塞程度。由于路由器的缓存时有限的,当一个分组到i大之后发现缓存已经被等待传输的分组占满时,就会出现分组丢失。
传输延迟:L/R,是数据在转发时传输的延迟
传播延迟:物理链路长度/信号传递速度
时延带宽积:顾名思义,传输时延与带宽的乘积。,又被称为以比特为单位的链路长度。
吞吐量:发送端与接收端之间的数据传输速率。即时为当前时刻的速率,平均为一段时间的平均速率。瓶颈链路会限制端到端的吞吐量,则吞吐量取端到端中链路的最小速率的那个。
7. 计算机网络体系结构
网络体系结构是从功能上描述计算机网络结构,计算机网络体系结构简称网络体系结构(network architecture) 是分层结构,每层遵循某个/些网络协议完成本层功能。计算机网络体系结构是计算机网络的各层及其协议的集合,体系结构是一个计算机网络的功能层次及其关系的定义,体系结构是抽象的。
分层结构:协议是控制两个对等实体进行通信的规则的集合,协议是水平的。实体使用下层的服务,遵循本层的协议,实现本层功能,向上层提供服务。服务是垂直的。下层的实现对上层的服务来讲是透明的。
OSI参考模型
支持异构网络系统的互联互通,是异构系统互通的国际标准。

上面四层为端到端层,下面三层为互联网络。
数据封装:
增加控制信息:构造协议数据单元 (PDU)
控制信息主要包括:
地址(Address): 标识发送端/接收端
差错检测编码(Error-detecting code): 用于差错检测或纠正
协议控制(Protocol control): 实现协议功能的附加信息,如: 优先级( priority)、服务质量(QoS)、 和安全控制等
应用层:支持用户通过用户代理或网络接口使用网络,协议包括HTTP、SMTP、FTP,在应用层,信息分组称为报文。
表示层:处理两个系统间交换信息的语法与语义(syntax and semantics )问题。进行数据表示转化,转换为主机独立的编码,支持加密/解密和压缩/解压缩
会话层:对话控制(dialog controlling),对话的建立、维护。在数据流中插入“同步点”,最“薄”的一层
传输层:负责端到端的完整报文传输,进行分段与重组,同时支持连接控制、流量控制和差错检测
网络层:负责端到端的数据分组传输,是全局唯一逻辑寻址,确保数据分组到达目的主机。负责路由与转发。
数据链路层:负责结点-结点的数据分组传输,传输组帧并且进行物理寻址(在帧头怎加物理地址来标识),支持流量控制、差错检测和访问控制。
物理层:将一个个bit从一个结点到下一个结点。
5层参考模型
