Skip to content
  • 首页
  • PHP源码
  • html5网页模板
  • js特效
  • Window软件
  • Mac软件
  • 服务器
  • 其他
Search
源码巴士
  • Sample Page

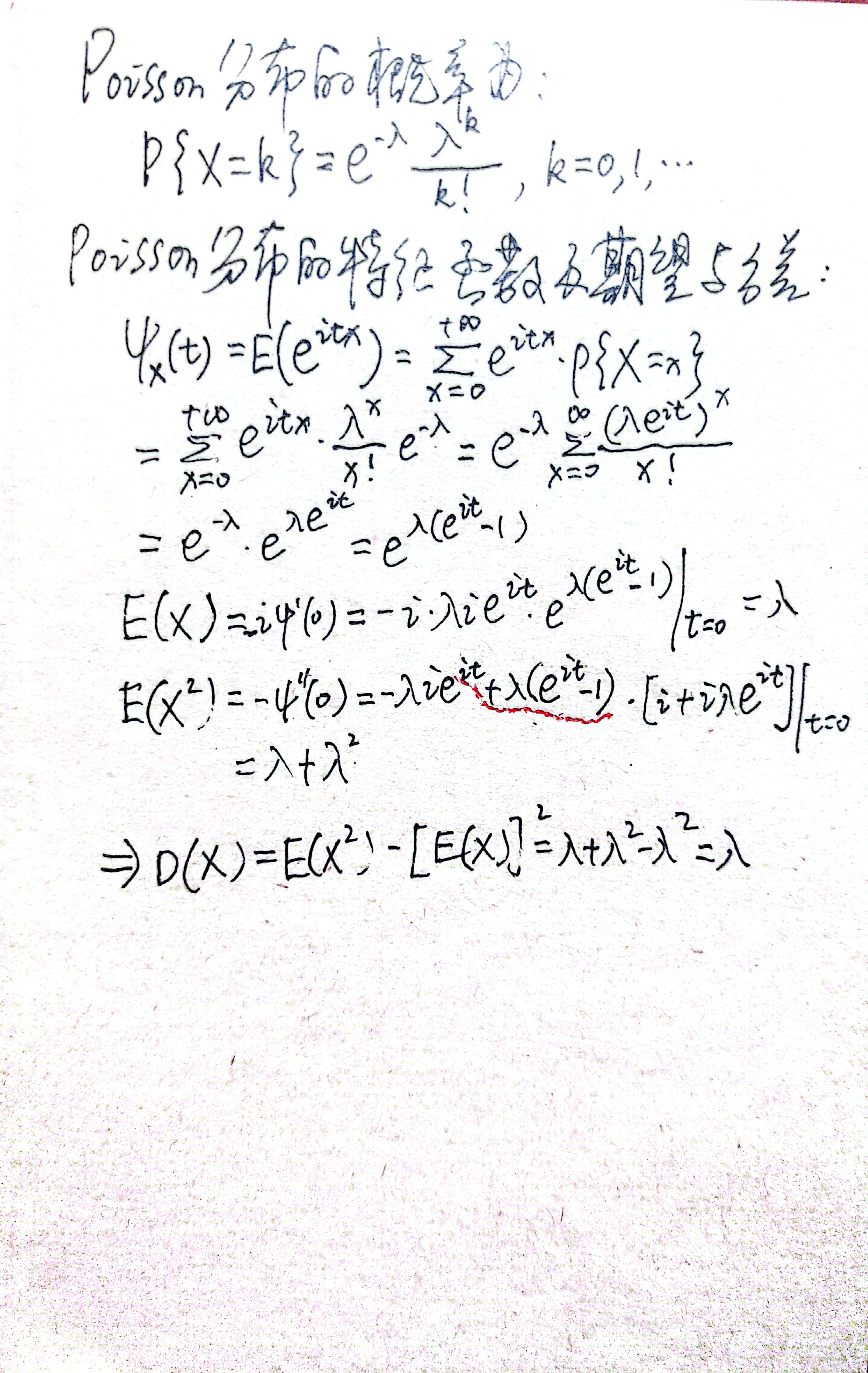
Poisson分布的特征函数及期望与方差 - 随机过程

【Poisson分布的特征函数及期望与方差】

 


版权声明:本文为hnjzsyjyj原创文章,遵循CC 4.0 BY-SA版权协议,转载请附上原文出处链接和本声明。
原文链接:https://blog.csdn.net/hnjzsyjyj/article/details/122361267
文章导航
←C++stream
笔记-项目管理基础知识-项目管理办公室(PMO)→

Copyright © 2022 源码巴士  鲁ICP备19024253号-1