上文简要介绍了机器学习模型性能评估的四种方法以及应用场景,并详细介绍了错误率与精度的性能评估方法。本文承接上文,继续介绍模型性能评估方法:P-R曲线和ROC曲线。
2.2 查准率、查全率与F1
错误率和精度虽然常用,但是不能满足特定的任务的需求。以西瓜问题为例,假定瓜农拉来一车西瓜,我们用训练好的模型对这些西瓜进行判别。
错误率衡量有多少比例的瓜被判别错误,但是若我们关心的是“挑出的西瓜中有多少比例是好瓜”,或者“所有好瓜中有多少比例被挑选了出来”。
这两类问题分别对应查准率和查全率,错误率是反映不了这两类问题。
例如在信息检索中,我们经常会关心“检索出的信息中有多少比例是用户感兴趣的”,“用户感兴趣的信息中有多少被检索出来的”;在视频监控中,我们关注的是“人脸识别的罪犯中有多少比例是真的罪犯”,“所有罪犯中有多少比例被识别出来”。
错误率计算较笼统,查准率和查全率是更为适用于此类需求的性能度量。查准率关注的问题是筛选的样本中是正样本的比例,查全率关注的问题是筛选的样本中有多少比例的正样本被筛选出来。
混淆矩阵是计算查准率和查全率或其他模型性能评估方法的基础。
混淆矩阵定义:

TP:真正例(true positive),即真实结果和预测结果都是正例。
FP:假正例(false positive),即真实结果是反例、预测结果是正例。
TN:真正例(true negative),即真实结果和预测结果都是反例。
FN:假反例(false negative),即真实结果是正例、预测结果是反例。
查准率P(Precision)与查全率R(Recall)分别定义为:

查准率与查全率是一对矛盾的度量,我们可以用极端的方式去理解这一矛盾。若所有测试样本的分类结果都是正样本,那么模型的查全率为1,查准率就很低;若几乎所有测试样本的分类结果都是负样本,那么模型的查准率很高,查全率就很低。
很多情形下,学习模型对测试数据输出的结果是具体的数值,如逻辑斯谛克生成模型P(Y=1|X),表示输入变量X输出为正样本的概率,曲线图如下:

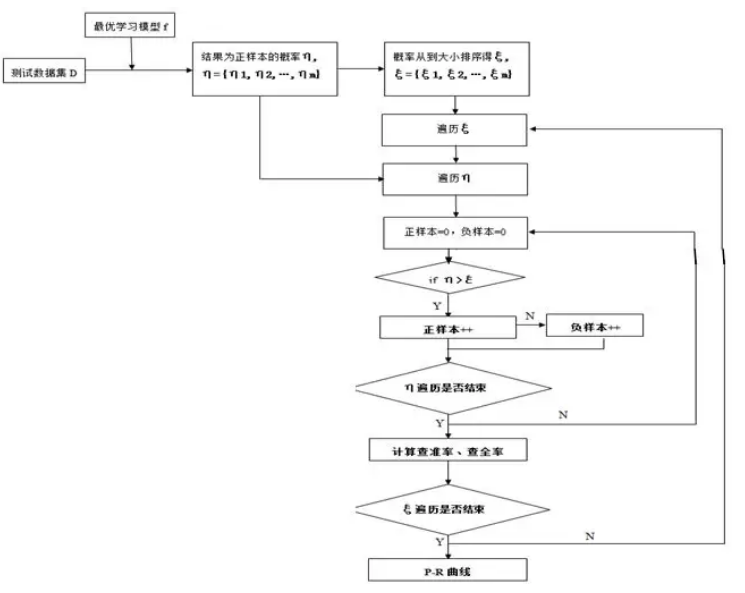
因此,学习模型P(Y=1|X)对测试数据集输出一系列为正样本的概率,根据概率由大到小排列,然后依次设置阈值,若大于该阈值,则为正样本;反之则为负样本。每次阈值的设置都有对应的查准率和查全率,因此以查全率为横坐标,查准率为纵坐标,就可以得到查准率-查全率曲线,检测“P-R”曲线。
假设测试数据集D样本量为m,![]()
P-R曲线流程图如下:

P-R曲线图如下:

根据P-R曲线来评估模型的性能:
(1)若一个学习模型的P-R曲线完全包住另一个学习模型的P-R曲线,则前者的性能优于后者。即查全率相同的情况下,查准率越高模型的泛化性能越好,如模型A优于模型B。
(2)若两个学习模型的P-R曲线互相交叉,则可通过“平衡点”(Break-Event Point,简称BEP)来评价模型的优劣,BEP是“查准率=查全率”的数值。由上图可知,模型A的平衡点大于模型B的平衡点,即模型A优于B。
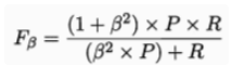
(3) 由于BEP过于简化,更常用的是F1度量:

F1越大,性能越好。
(4) F1度量认为查全率和查准率的重要性程度一样,若考虑到查全率和查准率的重要性程度不一样,如推荐给用户的信息尽可能是用户感兴趣的,那么查准率更重要;抓捕逃犯时更希望尽可能少漏掉逃犯,此时查全率更重要(概念有点模糊的可以参考查准率和查全率公式)。
为了描述查准率和查全率的相对重要程度,则用F1度量的一般形式:Fβ。

其中,β> 0度量了查全率对查准率的相对重要性,β=1时退化为标准的F1;β>1时查全率更重要;β<1时查准率更重要。
2.3 ROC曲线与AUC
P-R曲线是从查准率和查全率的角度去衡量学习模型的泛化性能,ROC曲线则是从更一般的情况下去衡量学习模型的泛化性能,若没有任何先验条件的限制情况下,推荐用ROC曲线去衡量模型的泛化性能。
绘制ROC曲线的思想与P-R曲线一致,对学习模型估计测试样本为正样本的概率从大到小排序,然后根据概率大小依次设置阈值,认为大于阈值的测试样本为正样本,小于阈值的测试样本为负样本,每一次阈值设置都计算“真正例率”(True Positive Rate,简称TPR)和“假正例率”(False Postive Rate,简称FPR)。
TPR和FPR的定义如下:

TP,FP,TN,FN的定义可参考上节的混淆矩阵。
ROC曲线横坐标为假正例率,纵坐标为真正例率,曲线图如下:

本文对ROC曲线的首末两点进行解释:
测试数据集包含N例正样本和M例负样本,若阈值设置的最大,则学习模型对所有测试样本都预测为负样本,混淆矩阵如下:

TPR = TP/( TP + FN) = 0/(0+N) = 0;
FPR = FP/( TN + FP) = 0/(0+M) = 0;
因此,当阈值设置最大时,TPR与FPR均为0。
若阈值小于所有模型估计测试样本为正样本的数值时,则测试样本均为正样本,混淆矩阵如下:

TPR = TP/(TP+FN) = N/(N+0) = 1;
FPR = FP/(TN+FP) = M/(M+0) = 1;
因此,当阈值设置最小时,TPR与FPR均为1。
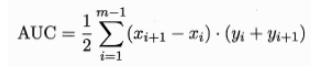
AUC(Area Under Curve)为ROC曲线的面积,面积可以通过梯度面积法求解。

AUC的计算表达式理解起来有点别扭,假设正负样本数均为m例,大家回想下ROC曲线的算法思想,假正例率对应的是真实负样本中分类结果为正样本的比例,真正例率对应的是真实正样本中分类为正样本的比例。
假正例率和真正例率的增长性具有互斥性,每次都只能增加一个,且每次增加的梯度为1/m,横坐标和纵坐标共增加了m次。
理解了这个原理,相信对ROC曲线的绘制和AUC面积的计算应该有更深的认识了吧。
AUC是衡量模型泛化能力的一个重要指标,若AUC大,则分类模型优;反之,则分类模型差。想象一下,若假正例率不变的情况下,真正例率越大,对应的AUC也越大,则模型的泛化能力强,这与实际情况相符。
参考资料:
《机器学习》周志华 著
