
本文将介绍三种常见中介效应检验方法,分别是因果逐步回归检验法、系数乘积法、改良后的因果逐步回归法,以及如果使用SPSSAU进行操作。
什么是中介效应
中介效应:如果自变量X通过影响变量M而对因变量Y产生影响,则称M为中介变量。
例如,上司的归因研究:下属的表现→上司对下属表现的归因→上司对下属表现的反应, 其中的“上司对下属表现的归因”为中介变量。
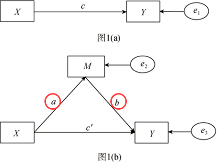
中介作用的检验模型可以用以下路径图来描述:

方程(1)的系数c 为自变量X对因变量Y的总效应;
方程(2)的系数a为自变量X对中介变量M的效应;
方程(3)的系数b是在控制了自变量X的影响后,中介变量M对因变量Y的效应;
方程(3)的系数c′是在控制了中介变量M 的影响后,自变量X对因变量Y的直接效应;
系数乘积a*b即为中介效应等于间接效应
1 因果逐步回归检验法
因果逐步回归法由Baron和Kenny(1986)提出,其检验步骤分为三步:
第一,分析X对Y的回归,检验回归系数c的显著性(即检验H0:c=0);
第二,分析X对M的回归,检验回归系数a的显著性(即检验H0:a=0);
第三,分析加入中介变量M后X对Y的回归,检验回归系数b和c'的显著性(即检验H0:b=0、H0:c’=0)。
根据检验结果按下图进行判断:

基于SPSSAU的操作
(1)第一步,登录SPSSAU,上传数据;
(2)第二步,选择【问卷研究】--【中介作用】;
(3)第三步,选择变量拖拽到右侧对应分析框内,点击开始分析。


结果分析

SPSSAU的“中介作用”可直接将中介作用的检验过程自动化,一键提供出上述提及模型结果。
本次结果中共包含三个模型:
①模型1:X对Y的回归模型,结果显示x与y存在显著影响关系,回归系数c=0.130.
②模型2:x对m的回归模型,结果显示x与y存在显著影响关系,回归系数a=0.175.
③模型3:加入中介变量m后x对y的回归模型,结果显示回归系数b、c’均呈现显著性,系数a、b均显著,说明存在中介效应。
2 乘积系数法
第一种因果逐步回归检验法简单易懂、容易理解和解释,因而受到广泛的应用,但有学者认为其检验效能较低,有时候本身有中介作用但却显示没有中介作用。有学者提出乘积系数法的统计功效优于因果逐步回归法,因此,系数乘积法逐渐受到研究者的青睐。
其原理是检验a*b是否呈现出显著性。系数乘积法分为两类,一类是基于中介效应的抽样分布为正态分布的Sobel 检验法,另一类是基于中介效应的抽样分布为非正态分布的Bootstrap抽样法。

① Sobel中介效应检验法
Sobel检验的前提假设是中介效应^a^b是正态分布且需要大样本。
使用Sobel系数乘积检验法存在的主要问题是,检验统计量依据的正态分布前提很难满足,特别是样本量较少时。因为即使a,b分别服从正态分布,ab的乘积也可能与正态分布存在较大差异。
当前较为流行的检验方法为Bootstrap抽样法,SPSSAU系统里暂未提供Sobel检验,需要使用Sobel检验可参考此链接进行分析:http://quantpsy.org/sobel/sobel.htm
② Bootstrap抽样法
Bootstrap法能适用于中、小样本和各种中介效应模型,当前SPSSAU【问卷研究】--【中介作用】也使用Bootstrap抽样法进行检验。并且支持一次性放置多个自变量X、中介变量M及控制变量等。
检验方法:Bootstrap抽样法检验是指回归系数a和回归系数b的乘积项(a*b)的95%置信区间是否包括数字0;如果95%置信区间不包括数字0,则说明具有中介作用;如果说95%置信区间包括数字0,即说明没有中介作用。
基于SPSSAU的操作
(1)第一步,登录SPSSAU,上传数据;
(2)第二步,选择【问卷研究】--【中介作用】;
(3)第三步,选择变量拖拽到右侧对应分析框内,点击开始分析。
使用SPSSAU【中介作用】Bootstrap抽样法检验与第一种因果逐步回归检验法在操作上没有任何区别,只是在解读结果时有区分。
结果分析

由上图两项结果指标可知,乘积项结果显著,95%区间并不包括数字0,说明中介变量在x影响y的关系中具有中介效应。

在a*b系数呈现出显著性时,可具体进一步得到中介作用的效应量。
由上图可知,直接效应为0.085,间接效应为0.045,总效应为0.130。间接效应在总效应中占比为34.403%。
3 因果逐步回归改良法
因果逐步检验法便于理解和操作而受到欢迎,但也有人研究认为逐步检验会比较不容易得到中介效应显著的结论,检验功效较低。因此,有学者在逐步检验流程上进行相应的修改,得到如下检验步骤:

基于SPSSAU的操作
与上述bootstrap检验法操作方法一致,选择SPSSAU【问卷研究】--【中介作用】,放入对应变量,点击开始分析即可。
结果分析
第一步,检验方程(1)的系数c,如果显著,按中介效应立论,否则按遮掩效应立论。但无论是否显著,都进行后续检验。

第二步,依次检验方程(2)的系数a和方程(3)的系数b,如果两个都显著,则间接效应显著,转到第四步;如果至少有一个不显著,进行第三步。

第三步,用Bootstrap法检验。如果显著,则间接效应显著,进行第四步;否则间接效应不显著,停止分析。
如果第二步中,系数a、b有一个不显著,则查看a*b中介效应是否显著(a*b95%BootCI是否包括数字0)

第四步,检验方程(3)的系数c′,如果不显著,即直接效应不显著,说明只有中介效应。如果显著,即直接效应显著,进行第五步。

第五步,比较ab和c′的符号,如果同号,属于部分中介效应,报告中介效应占总效应的比例ab/c。如果异号,属于遮掩效应,报告间接效应与直接效应的比例的绝对值|ab/c|。


本次研究,自变量x对因变量y的总效应是0.130,影响显著;其中直接效应为0.085,间接效应0.045,具有显著性;最终以有部分中介作用作为结论,中介效应在总效应占比为34.403%。
其他说明
(1) 中介作用前需要标准化处理吗?
一般情况下,在进行中介作用前需要标准化或中心化处理,可使用数据处理->生成变量功能批量完成标准化或中心化处理;SPSSAU提供的中介作用检验默认不会对数据进行处理。
(2)SPSSAU分析结果中有对检验结果的自动化判断,用户可以直接使用。智能分析中也有相应解读,如果有不了解的地方,可以点击右侧的“灯泡”按钮查看帮助手册。
(3)spssau也支持链式中介检验,操作方法是点击【问卷研究】--【中介效应】,[中介类型]选择“链式中介”。提供中介效应分析方法为非参数百分位Bootstrap法。
(4)如果数据是显变量如何处理?
如果数据是显变量,此时可转换成潜变量再处理即可。使用【生成变量】--【平均值】功能。当然如果是使用结构方程模型进行研究分析中介作用时,建议使用因果逐步回归检验法进行中介效应验证。SPSSAU提供的结构方程模型暂不提供Bootstrap抽样法检验。
「更多内容请登录SPSSAU官网了解」
SPSSAU | 在线SPSS分析软件spssau.com