Locality Preserving Projections
一.构建邻接图
a. 设定常数ε,若两样本点距离小于ε则两点为邻近关系
b. 若点p1是点p2最近的k个点之一,则p1是p2的临近点
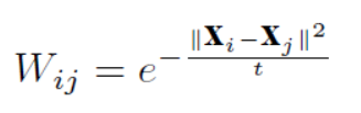
二.权重获取
1.热核估计:当p1和p2有边相连

否则 Wij=0
2.如果p1和p2是临近关系则 Wij=1,否则 Wij=0
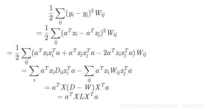
三.目标函数

![]()

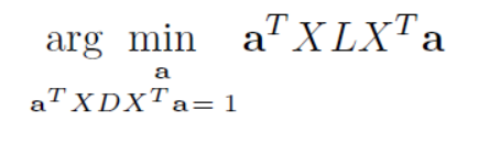
为了防止消除任意的缩放因子,添加尺度归一条件

最后的目标函数是:

转化为如下方程(拉格朗日乘数法得来)

版权声明:本文为weixin_42840360原创文章,遵循CC 4.0 BY-SA版权协议,转载请附上原文出处链接和本声明。