目录
4. t-SNE(t-Distributed Stochastic Neighbor Embedding)
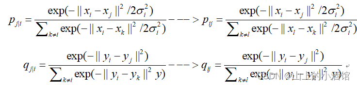
(1)在高维空间构建一个概率分布拟合高维样本点间的相对位置关系。
(2)在低维空间,也构建一个概率分布,拟合低维样本点之间的位置关系。
1.高斯分布:
![]()


![]()
2.卡方分布:
若n个相互独立的随机变量, 均服从标准正态分布(独立同分布于标准正态分布),则这n个服从标准正态分布的随机变量的平方和构成一新的随机变量,其分布规律成为x2分布,参数n=v,记为Q~x2(v)。

3.t分布
设随机变量X~ N(0,1)(标准正态分布),Y~x2 (n)(自由度为n的卡方分布),且X与Y相互独立,则称随机变量 服从自由度为n的t分布,t分布在自由度较低时相对标准正态分布表现更柔和(矮胖)。记为:


4. t-SNE(t-Distributed Stochastic Neighbor Embedding)
(1)在高维空间构建一个概率分布拟合高维样本点间的相对位置关系。

以样本xi为中心,不同样本点与xi的相对位置的概率分布。
![]()
衡量两个样本间的距离,距离越大,概率
越小。分母累加求和为了归一化。
(2)在低维空间,也构建一个概率分布,拟合低维样本点之间的位置关系。

(3) 通过学习,调整低维数据点,令两个分布接近。利用KL散度(距离)衡量两个分布之间的差异。通过梯度下降调整低维空间的样本点y使得C变小,实现降维。
目标:yi对应xi投影到低维空间,调整yj使得KL散度(可看做损失函数)最小,即低维空间与高位空间的位置分布尽可能一致。
本质:高维空间样本位置关系的分布投影至低维空间时保持不变。

5. SNE的缺点以及解决措施
(1)距离不对称,
利用联合概率代替条概率。



(2)拥挤现象
从高维到低维进行转换的过程中,低维点的距离无法建模高维点之间的位置关系。高维空间中距离较大的点对,在低维空间距离会变得较小。
解决:利用拖尾较大的t分布对低维点建模。

使用t分布后,在正态分布中距离较小的点,可保持相同的概率在t分布中获得更小的距离(拉近高维空间中距离较近的点)。在正态分布中距离较大的点,可保持相同的概率在t分布中获得更大的距离(排斥高维空间中距离较远的点)。
(3)
的物理意义,影响高维空间中高斯分布的形状,

类似于K紧邻中的搜索半径,当xi临近点较多时,
减小 ;当xi临近点较少时,
增大 。
t-SNE是一种集降维与可视化于一体的技术,它是基于SNE可视化的改进,解决了SNE在可视化后样本分布拥挤、边界不明显的特点,是目前最好的降维可视化手段。
t-SNE目标函数:原空间与嵌入空间样本分布之间的KL散度。
t-SNE优化算法:梯度下降。
t-SNE注意问题:KL散度作目标函数是非凸的,对初值敏感,需要多次初始化以防止陷入局部次优解
(4)影响效果的参数
perplexity混乱度。混乱度越高,t-SNE将考虑越多的邻近点,更关注全局。因此,对于大数据应该使用较高混乱度,较高混乱度也可避免噪声的影响。相对而言,该参数对可视化效果影响不大。
early exaggeration factor 该值表示期望的簇间距大小,如果太大的话(大于实际簇的间距),将导致目标函数无法收敛。相对而言,该参数对可视化效果影响较小,默认就行。
learning rate学习率。关键参数,根据具体问题调节。
maximum number of iterations迭代次数。迭代次数不能太低,建议1000以上。
angle (not used in exact method)角度。相对而言,该参数对效果影响不大。
T-SNE就是一种数据降维的算法,其成立的前提是基于这样的假设:尽管现实世界中的许多数据集是嵌入在高维空间中,但是都具有很低的内在维度。即高维数据经过降维后,在低维状态下更能显示出其本质特性。这就是流行学习的基本思想,也称为非线性降维。
参考:
(1条消息) t-SNE高维数据可视化(python)_haoji007的博客-CSDN博客_python高维数据可视化
https://blog.csdn.net/haoji007/article/details/94962952python与人工智能-数据降维-t-SNE_哔哩哔哩_bilibili
https://www.bilibili.com/video/BV1cU4y1w74A?spm_id_from=333.337.top_right_bar_window_history.content.click