分类回归
查看系统自带的数据集

导入数据并浏览信息

以上是我记着玩的,均与本节无关。
导入外部数据
数据集下载地址:
http://econometrics-stata.com/col.jsp?id=101
路径自行解压修改
分类二值回归
.线性OLS

.使用logit回归
估计 β \betaβ
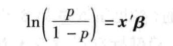
函数形式:
P为y=1发生的概率,即每一类的概率
回归命令:
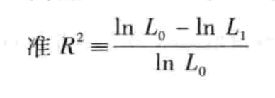
新概念Pseudo R2 表示准R方,
可以写为:
意味着:
(对数函数实际实际取值-只含常数项的对数取值)与(对数自然函数可能的最大取值-只含常数项的对数取值)之比,意味着加入分类变量能够让模型的准确的上升多少。
回归结果的的解读:
LR为476.62,LR的P值检验是0.00000<0.05,说明方程整体是显著的,LR = n*R方 大样本下服从卡方分布
Pseudo R2 表示准R方:有0.1882,其含义类似于拟合优度
其coef为各自变量的系数β \betaβ,对应P值为各自显著性水平
$exp(\beta)$表示X每增加一单位,导致结果发生的概率比增加的倍数
汇报 e x p ( β ) exp(\beta)exp(β)的命令如下:
解释:
以list the example of coefficient about married's and age's
已婚妇女参加工作的几率比是未婚妇女的2.099664倍(即高出109.9664%);年龄每增加一岁,参加工资的几率比增 加5.9641%,其他的变量类似解释
are you 还 ok?哈哈,继续,如果你不相信这个模型,你可以使用logit稳健标准误差,向下看。
使用logit稳健标准误差进行估计:

与普通的估计无太大差别,因此不需要担心模型设定偏误
看一下边际效应
细致的分析,边际效应
模型的平均边际效应

这个结果和使用OLS回归出来的类似,真的类似。都是边际量嘛。
样本均值处的边际效应

样本特定值的边际效应

计算Logit的准确预测比率

准确率有73.65%,准确率还可以
解决组内相关,聚类变量回归

当然了,我们假设了年龄存在组内相关
Probit与Logit是一样的步骤
究竟选择Probit模型还是Logit模型呢?
不用纠结,全看误差项
误差项服从正态,使用probit模型,服从逻辑分布,使用logit模型
问题来了,误差项怎么观测???
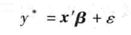
就是将变量Y与各个变量做回归,注意这里的Y不是取得概率,而是数据的最原始的那个值。
这里还有一个注意:
就是指误差项的方差不会产对分类模型产生误差增大的影响。
版权声明:本文为qq_42830971原创文章,遵循CC 4.0 BY-SA版权协议,转载请附上原文出处链接和本声明。