引言
好多人学习数字信号处理学了很久都没有明白这两个概念的真实含义,或者说很多人在设计滤波器的时候,根本就没有考虑什么是幅频响应和相频响应。只是一昧地把滤波器设计出来然后把不要的频率滤除掉,这样是要吃大亏的。鉴于此,我们来谈谈这两个概念,东西不难,只是大家伙儿没有用心去思考和理解罢了。还有一个因素就是老师没有跟大家讲明白,这个不用多说,现在的大学本科大家都懂是怎么回事。
首先我们要清楚一点就是幅频响应和相频响应针对的是一个系统,换句话说就是这两个概念是用来描述系统的状态和特性的,这是本文讨论的立足点和出发点。
幅频响应和相频响应的定义
幅频响应是探讨频率与其幅度的关系,一个信号通常包含很多频率,通过某电路时,不同频率所获得的增益(或衰减)是不同的,要探讨的就是要如何避免或者降低这些不一致所造成的影响。而相频响应,则是探讨不同频率通过某电路时所造成的相位偏移问题,所谓相位偏移其实就是时间延迟,我们根据 COSwt 可知相位是时间的函数,所以直接理解成时间延迟更加直观。
所以我们给系统一个正弦输入信号,系统输出响应随着正弦输入信号的角频率w而呈现不同的变化。其中输出幅度随着w变化规律为幅频特性,输出相角与输出相角的相位差与w的变化规律构成相频特性。
运放中的幅频特性和相频特性
在放大器中,放大倍数随频率变化的关系为:

式中 Au(w) 表示电压放大倍数的大小和频率之间的关系,称为幅频特性。幅频特性分为低通、高通、带通、带阻和全通。
输入信号与输出信号的相角差称为相频特性。相角差与频率的关系曲线称为相频特性曲线,正弦输入信号的响应也是正弦信号,频率与输入信号相同,只是经过系统会有一定的延迟。
物理意义
我们为什么要讨论这个话题?换句话说就是幅频响应和相频响应对于我们设计滤波器有什么用,也就是说其物理意义是什么?
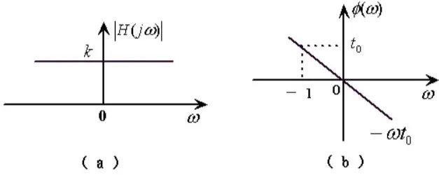
滤波器的相频响应描述了在任意角频率为w的余弦(或正弦)信号激励下,滤波器没有非线性失真时的滤波器响应与激励之间的相位差。实际上就是描述(或正弦)信号激励下,滤波器没有非线性失真时的滤波器响应与激励之间的相位差。信号在滤波器中传输带来的延时情况,一般情况下,信号在动态电路中传输时出现延时,如果对所有频率信号产生的延时相等,则滤波器的相频特性曲线是一条直线,如下图所示。

那么还有一个问题就是,为什么要保持一条直线?这个就是我们要说明的真实问题,信号通过一个系统,如果各个频率成分的延时作用不一致,就会导致输入信号和输出信号不一致,导致严重的失真,那么这个对于我们的研究就没有意义。所以我们必须要保持所有的频率成分的延迟效果一直,也就是线性相位变化,这样的话,我们的输出和输入信号之间的差别就只有一个延迟效果,信号携带的信息成分并没有被破坏。
产生延迟效果的原因是因为信号经过系统被“处理了一下”,数字滤波器的话,计算也需要时间。我想在我们设计滤波器的时候这个问题必须考虑,不然设计出来的滤波器就没有用,也不敢用。而幅频响应表示的就是那些频率成分是这个系统允许通过的,能过的幅值较大,不能过的就抑制,幅值较小;所以一般滤波器都需要考虑这两个方面得到因素。