大家看了小编上一篇浅谈π与e的关系的文章,是不是还意犹未尽呢?下面小编将从初等数学的角度带大家推导一下曲率中心和半径的公式。
公式
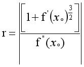
曲率半径:

曲率半径公式
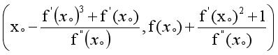
曲率中心:

曲率中心公式
定义
类比于圆的两切线的垂直平分线交于圆心,我们假设任一曲线无限接近于一点P(x。,y。)的两切线的垂直平分线也交于一点,如下图

示例图形
推导过程
有了定义,那我们就直接开门见山,开始推导曲率中心的公式吧:
l1:y-f(x。)=-(1/f
版权声明:本文为weixin_42365334原创文章,遵循CC 4.0 BY-SA版权协议,转载请附上原文出处链接和本声明。