Key Concepts on Deep Neural Networks
- What is the “cache” used for in our implementation of forward propagation and backward propagation?
- We use it to pass Z ZZ computed during forward propagation to the corresponding backward propagation step. It contains useful values for backward propagation to compute derivatives.
- It is used to cache the intermediate values of the cost function during training.
- It is used to keep track of the hyperparameters that we are searching over, to speed up computation.
- We use it to pass variables computed during backward propagation to the corresponding forward propagation step. It contains useful values for forward propagation to compute activations.
- Which of the following are “parameters” of a neural network? (Check all that apply.)
- L LL the number of layers of the neural network.
- W [ l ] W^{[l]}W[l] the weight matrices.
- g [ l ] g^{[l]}g[l] the activation functions.
- b [ l ] b^{[l]}b[l] the bias vector.
(注意,W和b为参数,L和g为超参数,二者为不同的概念)
- Which of the following is more likely related to the early layers of a deep neural network?(只提供正确答案)

- Vectorization allows you to compute forward propagation in an L-layer neural network without an explicit for-loop (or any other explicit iterative loop) over the layers l=1, 2, …,L. True/False?
- False
- True
- Assume we store the values for n [ l ] n^{[l]}n[l] in an array called layer_dims, as follows: layer_dims = [n x n_xnx, 4,3,2,1]. So layer 1 has four hidden units, layer 2 has 3 hidden units and so on. Which of the following for-loops will allow you to initialize the parameters for the model?(只提供正确答案)
- for i in range(1, len(layer_dims)):
parameter[‘W’ + str(i)] = np.random.randn(layer_dims[i], layer_dims[i-1]) * 0.01
parameter[‘b’ + str(i)] = np.random.randn(layer_dims[i], 1) * 0.01
- Consider the following neural network:

What are all the values of n [ 0 ] n^{[0]}n[0], n [ 1 ] n^{[1]}n[1], n [ 2 ] n^{[2]}n[2], n [ 3 ] n^{[3]}n[3] and n [ 4 ] n^{[4]}n[4]?
- 4, 4, 3, 2, 1
- 4, 3, 2, 1
- 4, 4, 3, 2
- 4, 3, 2
- During forward propagation, in the forward function for a layer l ll you need to know what is the activation function in a layer (sigmoid, tanh, ReLU, etc.). During backpropagation, the corresponding backward function also needs to know what is the activation function for layer l ll, since the gradient depends on it. True/False?
- False
- True
- For any mathematical function you can compute with an L-layered deep neural network with N hidden units there is a shallow neural network that requires only log N \log NlogN units, but it is very difficult to train.
- False
- True
(原因:On the contrary, some mathematical functions can be computed using an L-layered neural network and a given number of hidden units; but using a shallow neural network the number of necessary hidden units grows exponentially.)
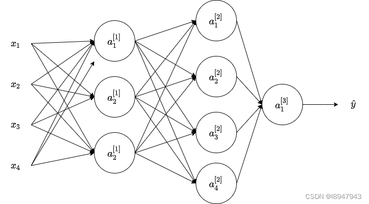
- Consider the following 2 hidden layers neural network:

Which of the following statements are true? (Check all that apply).
- W [ 2 ] W^{[2]}W[2] will have shape (3, 1)
- W [ 2 ] W^{[2]}W[2] will have shape (4, 3)
- W [ 1 ] W^{[1]}W[1] will have shape (3, 4)
- W [ 2 ] W^{[2]}W[2] will have shape (3, 4)
- b [ 1 ] b^{[1]}b[1] will have shape (1, 3)
- W [ 1 ] W^{[1]}W[1] will have shape (4, 3)
- b [ 1 ] b^{[1]}b[1] will have shape (4, 1)
- b [ 1 ] b^{[1]}b[1] will have shape (3, 1)
- W [ 2 ] W^{[2]}W[2] will have shape (1, 3)
- Whereas the previous question used a specific network, in the general case what is the dimension of b [ l ] b^{[l]}b[l], the bias vector associated with layer l?
- b [ l ] b^{[l]}b[l] has shape (1,n [ l − 1 ] n^{[l−1]}n[l−1])
- b [ l ] b^{[l]}b[l] has shape (n [ l − 1 ] n^{[l−1]}n[l−1],1)
- b [ l ] b^{[l]}b[l] has shape (n [ l ] n^{[l]}n[l],1)
- b [ l ] b^{[l]}b[l] has shape (1,n [ l ] n^{[l]}n[l])
版权声明:本文为l8947943原创文章,遵循CC 4.0 BY-SA版权协议,转载请附上原文出处链接和本声明。