广告关闭
腾讯云11.11云上盛惠 ,精选热门产品助力上云,云服务器首年88元起,买的越多返的越多,最高返5000元!

第一个参考网址给出了matplotlib中color可用的颜色:? cnames = {aliceblue: #f0f8ff,antiquewhite: #faebd7,aqua: #00ffff,aquamarine:#7fffd4,azure: #f0ffff,beige: #f5f5dc,bisque: #ffe4c4,black: #000000,blanchedalmond: #ffebcd,blue: #0000ff,blueviolet: #8a2be2,brown: #a52a2a,burlywood: #deb887,cadet...

usrbinpython# -*- coding:utf-8 -*-import numpy as npfrom mpl_toolkits.mplot3d import axes3dfrommatplotlib import cmimport matplotlib.pyplot as ...这里我们以kaggle案例泰坦尼克问题的数据做一些常用的可视化的工作。 首先看下这个数据集: ? import pandas as pdimport numpy as npimport matplotlib.p...
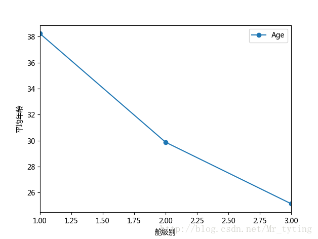
这里我们以kaggle案例泰坦尼克问题的数据做一些常用的可视化的工作。 首先看下这个数据集:? 我们换一个连续性变量多的数据集,看看特征直接相关度。? 下面我们看看高维数据如何做可视化分析,首先咱们造个高维数据集数据的可视化有很多工具包可以用,比如下面我们用来做数据可视化的工具包seaborn。 最简单的可视化...
在pyhton图像库「python imaging library」支持大量的图片格式,是图像处理和批处理的最佳选择,可以用这个来创建缩略图、文件格式之间的转换、打印图片、大小转换、颜色转换、还有对图片加滤镜「模糊、磨皮」等操作。 功能非常简单,但是api调用非常简单。 ----安装安装的仍然使用pip安装,非常简单快捷。 对于国内...

在pyhton图像库「python imaging library」支持大量的图片格式,是图像处理和批处理的最佳选择,可以用这个来创建缩略图、文件格式之间的转换、打印图片、大小转换、颜色转换、还有对图片加滤镜「模糊、磨皮」等操作。 功能非常简单,但是api调用非常简单。 ****安装安装的仍然使用pip安装,非常简单快捷。 对于国内...
usrbinenv python 2 # -*- coding:utf-8 -*- 3 4 5 __title__ = logging工具类 6 __time__ = 201988 19:26 7 8 import logging 9 from logging import ...23 self.logger = logger24 # console控制台输入日志格式 - 带颜色25self.console_format = %(color)s 26 --- 日志信息:%(message)s 27 %(end_color)s 28 ...

作者:深度沉迷学习 python爱好者社区专栏作者简书地址:https:www.jianshu.comud76c6535dbc5python语言:简要概括一下python语言在数据分析、挖掘场景中常用特性:列表(可以被修改),元组(不可以被修改)字典(结构)集合(同数学概念上的集合)函数式编程(主要由lambda()、map()、reduce()、filter()构成) ...
全球各地的程序员都是怎样使用 python? 我们从最常用的 python 包入手,去解答上述这个问题。 最初,我列出过去一年在 pypi 上下载次数最多的 python 包。 接下来,深入研究其用途、它们之间的关系和它们备受欢迎的原因。 1 urllib3 下载次数:8.93 亿urllib3是一个 python 的 http 客户端,它拥有 python 标准库中...
链接:https:pan.baidu.coms1cwr9klwvtrfuddyibydsqg 密码:vcqv手册里除了一些常用图形绘制、颜色选取,还有一些使用小技巧分享,另外,相关的脚本也都包含在压缩包内! 对于熟悉latex的小伙伴还可以自己编译文档! 使用latex编译you need to create a fonts repository with:fontsroboto* :see https:fonts.google...

python成为这种图像处理任务是一个恰当选择,这是因为它作为一种科学编程语言正在日益普及,并且在其生态系统中免费提供许多最先进的图像处理工具供大家使用。 让我们看一下可以用于图像处理任务中的常用 python 库有哪些吧。 1.scikit-imagescikit-image是一个开源的python包,适用于numpy数组。 它实现了用于研究...
python 里面最常用的图像操作库是image library(pil),功能上,虽然还不能跟matlab比较,但是还是比较强大的,写点记录笔记。 getbbox() 包含非零区域的最小bbox histogram(mask=none) 统计直方图offset(dx,dy=none) 平移 putpixel(xy, color) 改变单个像素点颜色thumbnail(size,filter=none) 缩略图transform(xs, ...
python语言:简要概括一下python语言在数据分析、挖掘场景中常用特性:列表(可以被修改),元组(不可以被修改)字典(结构)集合(同数学概念上的集合)函数式编程(主要由lambda()、map()、reduce()、filter()构成) python数据分析常用库:? python数据挖掘相关扩展库numpy提供真正的数组,相比python内置列表...

python之成为图像处理任务的最佳选择,是因为这一科学编程语言日益普及,并且其自身免费提供许多最先进的图像处理工具。 让我们看一下用于图像处理任务的一些常用python库。 1. scikitimagescikit-image是一个基于numpy数组的开源python包。 它实现了用于研究、教育和工业应用的算法和实用程序。 即使是对于那些刚...

本文为粉丝投稿的《从excel到python》读书笔记 本文涉及pandas最常用的36个函数,通过这些函数介绍如何完成数据生成和导入、数据清洗、预处理,以及最常见的数据分类,数据筛选,分类汇总,透视等最常见的操作。 生成数据表 常见的生成数据表的方法有两种,第一种是导入外部数据,第二种是直接写入数据。 excel中的...

编译 | 安可 来源 | analyticsvidhya.com【磐创ai导读】:本系列文章为大家总结了24个热门的python库,查看上篇。 想要获取更多的机器学习、深度学习资源,欢迎大家点击上方蓝字关注我们的公众号:磐创ai。 一文总结数据科学家常用的python库(上)用于建模的python库我们已经到达了本文最受期待的部分 - 构建模型!...
![]()
重磅干货,第一时间送达? 如果我们能够得知道一幅图像中最多的颜色是什么的话,可以帮助我们解决很多实际问题。 例如在农业领域中想确定水果的成熟度,我们可以通过检查水果的颜色是否落在特定范围内,来判断它们是否已经成熟。 ? 接下来我们将使用python和一些常用库(例如numpy,matplotlib和opencv)来解决这个...
用于建模的python库我们已经到达了本文最受期待的部分 - 构建模型! 这就是我们大多数人首先进入数据科学领域的原因,不是吗? 让我们通过这三个python库探索模型构建。 * scikit-learn *就像用于数据操作的pandas和用于可视化的matplotlib一样,scikit-learn是构建模型的python库领导者。 没有什么比得上它了...
python还提供了列表、字典等多种数据类型2.print会依次打印每个字符串,遇到逗号“,”会输出一个空格#开头注释3.python为动态语言,不固定变量类型(字符串创建过程)4.python中raw字符串与多行字符串foreach方法ie8及以下不支持 arr.foreach(function (value, index, obj){})第一个参数是值,第二个参数是索引...

不符合人类视觉习惯,因此在进行颜色特征提取前,需要将照片从rgb颜色模型转换为更符合人类视觉的hsv模型。 在提取颜色特征时,最常用的方法之一为颜色...基于上述量化表,将各颜色分量按照下述公式合成为72维一维矢量:? 二、量化代码代码使用纯python写成,效率偏低,处理388*500像素的照片用时1.45秒...
下面部分是笔者摘取python tkinter course,笔者将其受用于python2的代码改了一点使其能在python3环境下运行。 网址:https:www.python-course.eutkinter...在一个父容器里选择一种方式便足够了。 下面依次介绍这三种方式吧:1.packpack是三种布局管理中最常用的,ack布局可以指定相对位置,精确的位置会由pack...