前言:已知一个二叉树的中序序列和前序序列,或者中序序列和后序序列就可以唯一确定一个二叉树(必须知道中序序列),只知道前序和后序不能创建唯一的二叉树。
1.引例
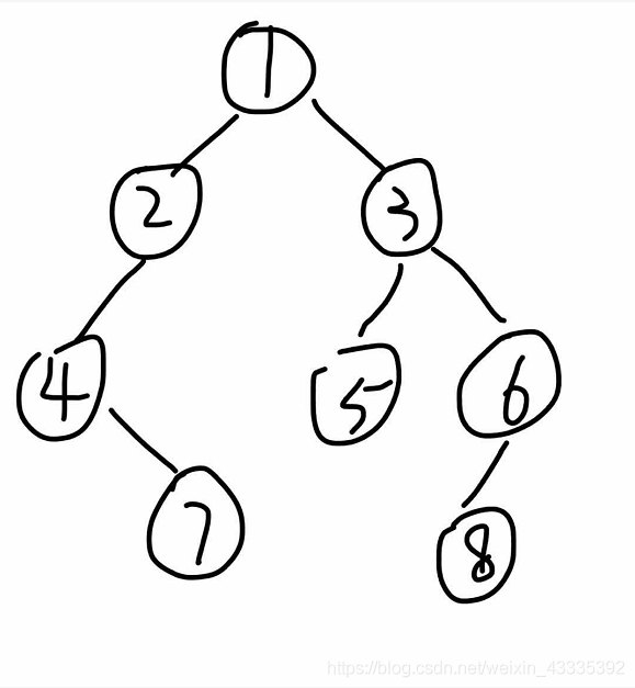
已知下列某二叉树(8个结点)的两个序列,如何确定一棵唯一的二叉树呢?
①前序序列的第一个结点,就是根结点
②在中序序列中,找到根结点,记录根结点前的结点,即为左子树结点,图中为3(4,7,2),根结点后的结点,即为右子树结点,图中为(5,3,8,6)
③在前序序列中,根结点往后对应数量的结点,就是左子树的前序序列(2,4,7)
④现在左子树的前序(2,4,7)和中序序列(4,7,2)都有了,再重复步骤①-③,就完成了左子树的创建
⑤找到右子树的前序序列(3,5,6,8),中序序列(5,3,8,6),再重复步骤①-③,就完成了右子树的创建
2.具体代码实现
其实引例中描述的"重复步骤①-③",就是递归的思想,下面是具体代码
解释:
Formdata和Middledata是前序和中序数组的指针
num是二叉树的结点总数
Bintree_Node* Build(int* Formerdata, int* Middledata, int num)
{
if (Formerdata == NULL || Middledata == NULL || num <= 0)
return NULL;
//先序遍历,第一个值就是根结点
Bintree_Node* root = new Bintree_Node;
root->data = Formerdata[0];
root->left = root->right = NULL;
//如果只有一个结点
if (num == 1 && *Former == *Middledata)
return root;
//在中序序列中找到根结点
int left_num = 0;//左子树的结点总数
int* middle_root = Middledata;//中序序列中的根结点
//第二个条件:循环要在Middledata中进行
while (*middle_root != Formerdata[0]&&middle_root <= (Middledata + num - 1))
{
middle_root++;
left_num++;
}
if (*middle_root != Formerdata[0])//未找到根结点,输入错误
{
cout << "未找到根结点,输入错误" << endl;
return NULL;
}
//创建左子树
if (left_num > 0)
root->left = Build(Formerdata + 1, Middledata, left_num);//Formerdata+1即为左子树的前序序列的开始
//创建右子树
if (num - left_num - 1 > 0)
root->right = Build(Formerdata + left_num + 1, Middledata+left_num+1, num - left_num - 1);
return root;
}
测试
void main()
{
int Former[] = { 1,2,4,7,3,5,6,8 };
int Middle[] = { 4,7,2,1,5,3,8,6 };
Bintree_Node* root=Build(Former, Middle, 8);
Show(root);//前序遍历
}

版权声明:本文为weixin_43335392原创文章,遵循CC 4.0 BY-SA版权协议,转载请附上原文出处链接和本声明。