矩阵的基本运算
矩阵的加法(A、B、C是同型矩阵)
( A + B ) + C = A + ( B + C ) (A+B)+C = A+(B+C)(A+B)+C=A+(B+C)
矩阵的数乘
λ ( μ A ) = μ ( λ A ) \lambda \left ( \mu A \right )= \mu \left (\lambda A \right )λ(μA)=μ(λA)
λ ( μ A ) = ( λ μ ) A \lambda \left ( \mu A \right )= \left (\lambda \mu \right )Aλ(μA)=(λμ)A
( λ + μ ) A = λ A + μ A \left (\lambda + \mu \right )A = \lambda A + \mu A(λ+μ)A=λA+μA
λ ( A + B ) = λ A + λ B \lambda \left (A+B \right )= \lambda A + \lambda Bλ(A+B)=λA+λB
矩阵的乘法
当第一个矩阵A的列数和另一个矩阵B的行数相等时,才可以进行乘法。如果A是m x k的矩阵,B是k x n的矩阵,那么A x B是m x n的矩阵。
例如
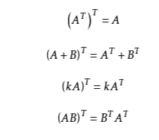
矩阵的转置

矩阵的求导
基本公式
Y = A * X --> DY/DX = A’
Y = X * A --> DY/DX = A
Y = A’ * X * B --> DY/DX = A * B’
Y = A’ * X’ * B --> DY/DX = B * A’
矩阵转置的导数和矩阵的导数是一样的
版权声明:本文为Root__God原创文章,遵循CC 4.0 BY-SA版权协议,转载请附上原文出处链接和本声明。