最小二乘法:
最小二乘法(又称最小平方法)是一种数学优化技术。它通过最小化误差的平方和寻找数据的最佳函数匹配。利用最小二乘法可以简便地求得未知的数据,并使得这些求得的数据与实际数据之间误差的平方和为最 小,简单来说,就是通过最小化误差的平方和,使得拟合对象无限接近目标对象,这就是最小二乘的核心思想。最小二乘法还可用于曲线拟合。
在此先列举一下最小二乘家族成员。最小二乘法直线拟合,最小二乘法多项式(曲线)拟合,机器学习中线性回归的最小二乘法,系统辨识中的最小二乘辨识法,参数估计中的最小二乘法,等等
这里我们要说的是最小二乘法拟合曲线的斜率。
拟合直线作用:
在我们做一些处理的时候,得到的数据可能是一些离散的点,而我们往往希望得到一个连续的函数(也就是拟合直线)或者更加密集的离散方程与已知数据相吻合,这过程就叫做拟合,

以智能车为例把,我们平时得到的中线,可以说就是一些离散的点,它不是一条顺滑的曲线,而我们的拟合直线,则使用在中线和各种赛道元素补线上,在用中线做偏差处理时,将中线拟合一下,得到的斜率偏差则是会更加精确,在一些特殊的赛道元素,如环岛,我们可以用最小二乘法做补线处理,

概念与公式:
说到最小二乘法,可能有的同学说没学过,但是我们给出公式应该同学们会说:哦!原来是他啊。
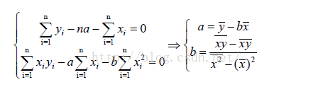
推导:


即为:

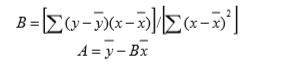
最小二乘法多项式直线拟合,就是根据给定的点,用计算的方法求出最佳的 a(斜率) 和 b(截距)。显然,关键是如何求出最佳的 a 和 b。
相信各位高中都已经学过了,下面我们给出计算中线斜率的代码
/************************************线性回归计算中线斜率************************************/
// y = Ax+B
int regression(int startline,int endline)
{
int i=0,SumX=0,SumY=0,SumLines = 0;
float SumUp=0,SumDown=0,avrX=0,avrY=0,B,A;
SumLines=endline-startline; // startline 为开始行, //endline 结束行 //SumLines
for(i=startline;i<endline;i++)
{
SumX+=i;
SumY+=Middle_black[i]; //这里Middle_black为存放中线的数组
}
avrX=SumX/SumLines; //X的平均值
avrY=SumY/SumLines; //Y的平均值
SumUp=0;
SumDown=0;
for(i=startline;i<endline;i++)
{
SumUp+=(Middle_black[i]-avrY)*(i-avrX);
SumDown+=(i-avrX)*(i-avrX);
}
if(SumDown==0)
B=0;
else
B=(int)(SumUp/SumDown);
A=(SumY-B*SumX)/SumLines; //截距
return B; //返回斜率
}看代码很容易可以理解。
对于斜率的使用,个人是将他与误差结合起来使用,效果还输不错的

那么,用最小二乘法除了拟合中线斜率之外,我们还可以用斜率进行补线操作,以及用最小二乘法预估赛道边界,等等
这里我们暂时不做阐述,之后博文会更新,