方 向 导 数 和 梯 度 的 区 别 方向导数和梯度的区别方向导数和梯度的区别
先有梯度,才有方向导数
方向导数和梯度从数学形式就不同,一个是向量(梯度),一个是值(方向导数)。
梯度是向量
梯度是一阶导+向量化
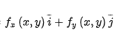
这个是梯度

方向导数是值,是不同方向上,函数增加的单位值,即表示不同方向上函数增加的快慢程度
gradf(x,y) 与 e 的点积是方向导数
向量与向量的点积得到的是值
gradf(x,y) 是梯度向量,e是单位方向向量

实例

从上诉的例题很容易看出来,梯度是向量![]()
![]()
而 方向导数是值

还有一般都会说,梯度是函数变换最快的方向,其实并不是很准确,梯度除以梯度的模才是方向

在深度学习的优化策略中, 只需要考虑梯度即可
版权声明:本文为qq_41375318原创文章,遵循CC 4.0 BY-SA版权协议,转载请附上原文出处链接和本声明。
