版权声明:本文为博客园博主「三年一梦」的原创文章,遵循CC 4.0 BY-SA版权协议,转载请附上原文出处链接及本声明。
原文链接:https://www.cnblogs.com/king-lps/p/8007134.html
目录
1. Canny介绍
Canny算子与Marr(LoG)边缘检测方法类似,也属于是先平滑后求导数的方法。John Canny研究了最优边缘检测方法所需的特性,给出了评价边缘检测性能优劣的三个指标:
- 1 好的信噪比,即将非边缘点判定为边缘点的概率要低,将边缘点判为非边缘点的概率要低;
- 2 高的定位性能,即检测出的边缘点要尽可能在实际边缘的中心;
- 3 对单一边缘仅有唯一响应,即单个边缘产生多个响应的概率要低,并且虚假响应边缘应该得到最大抑制。
2. Canny检测实现过程
第一步:灰度化
第二步:高斯滤波
首先生成二维高斯分布矩阵:
然后与灰度图像进行卷积实现滤波:![]()
第三步:计算梯度值和方向
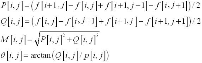
求变化率时,对于一元函数,即求导;对于二元函数,求偏导。 数字图像处理中,用一阶有限差分近似求取灰度值的梯度值(变化率)。
(即:使差商(Δf/Δx)近似取代微商(∂f/∂x)。求灰度的变化率,分别取x和y方向上相邻像素做差,代替求取x和y
方向一阶偏导) 。

其中f为图像灰度值,P代表X方向梯度幅值,Q代表Y方向 梯度幅值,M是该点幅值,Θ是梯度方向,也就是角度。
注:图像梯度方向与边缘方向互相垂直:

第四步:非极大值抑制(NMS)
通俗意义上是指寻找像素点局部最大值。沿着梯度方向,比较它前面和后面的梯度值。在沿其方向上邻域的梯度幅值最大,则保留;否则,抑制。
具体参考此文:canny 非极大值抑制 NMS
可以进行插值来提高结果。
第五步:双阈值的选取、边缘连接
- 选取高阈值T H 和低阈值T L ,比率为2:1或3:1。(一般取TH =0.3 或 0.2, TL =0.1 )
- 取出非极大值抑制后的图像中的最大梯度幅值,重新定义高低阈值。即:T H ×Max,T L ×Max 。(当然可以自己给定)
- 将小于TL 的点抛弃,赋0;将大于T H 的点立即标记(这些点就是边缘点),赋1。
- 将大于TL ,小于TH 的点使用8连通区域确定(即:只有与TH 像素连接时才会被接受,成为边缘点,赋1) 。
3. Canny检测Python实现
具体实现略有不同,例如:
高斯矩阵的实现过程、梯度幅值的实现过程、非极大值抑制的角度选取(可以选0,45,90,135)、边缘检测的实现过程。
# -*- coding: utf-8 -*- """ Created on Thu Dec 7 21:12:41 2017
@author: L.P.S
"""
import matplotlib.pyplot as plt
import numpy as np
import math
img = plt.imread('G:\\360downloads\\lps.png')
sigma1 = sigma2 = 1
sum = 0
gaussian = np.zeros([5, 5])
for i in range(5):
for j in range(5):
gaussian[i,j] = math.exp(-1/2 * (np.square(i-3)/np.square(sigma1) #生成二维高斯分布矩阵
+ (np.square(j-3)/np.square(sigma2)))) / (2*math.pi*sigma1*sigma2)
sum = sum + gaussian[i, j]
gaussian = gaussian/sum
# print(gaussian)
def rgb2gray(rgb):
return np.dot(rgb[...,:3], [0.299, 0.587, 0.114])
# step1.高斯滤波
gray = rgb2gray(img)
W, H = gray.shape
new_gray = np.zeros([W-5, H-5])
for i in range(W-5):
for j in range(H-5):
new_gray[i,j] = np.sum(gray[i:i+5,j:j+5]*gaussian) # 与高斯矩阵卷积实现滤波
# plt.imshow(new_gray, cmap="gray")
# step2.增强 通过求梯度幅值
W1, H1 = new_gray.shape
dx = np.zeros([W1-1, H1-1])
dy = np.zeros([W1-1, H1-1])
d = np.zeros([W1-1, H1-1])
for i in range(W1-1):
for j in range(H1-1):
dx[i,j] = new_gray[i, j+1] - new_gray[i, j]
dy[i,j] = new_gray[i+1, j] - new_gray[i, j]
d[i, j] = np.sqrt(np.square(dx[i,j]) + np.square(dy[i,j])) # 图像梯度幅值作为图像强度值
# plt.imshow(d, cmap="gray")
# setp3.非极大值抑制 NMS
W2, H2 = d.shape
NMS = np.copy(d)
NMS[0,:] = NMS[W2-1,:] = NMS[:,0] = NMS[:, H2-1] = 0
for i in range(1, W2-1):
for j in range(1, H2-1):
if d[i, j] == 0:
NMS[i, j] = 0
else:
gradX = dx[i, j]
gradY = dy[i, j]
gradTemp = d[i, j]
# 如果Y方向幅度值较大
if np.abs(gradY) > np.abs(gradX):
weight = np.abs(gradX) / np.abs(gradY)
grad2 = d[i-1, j]
grad4 = d[i+1, j]
# 如果x,y方向梯度符号相同
if gradX * gradY > 0:
grad1 = d[i-1, j-1]
grad3 = d[i+1, j+1]
# 如果x,y方向梯度符号相反
else:
grad1 = d[i-1, j+1]
grad3 = d[i+1, j-1]
# 如果X方向幅度值较大
else:
weight = np.abs(gradY) / np.abs(gradX)
grad2 = d[i, j-1]
grad4 = d[i, j+1]
# 如果x,y方向梯度符号相同
if gradX * gradY > 0:
grad1 = d[i+1, j-1]
grad3 = d[i-1, j+1]
# 如果x,y方向梯度符号相反
else:
grad1 = d[i-1, j-1]
grad3 = d[i+1, j+1]
gradTemp1 = weight * grad1 + (1-weight) * grad2
gradTemp2 = weight * grad3 + (1-weight) * grad4
if gradTemp >= gradTemp1 and gradTemp >= gradTemp2:
NMS[i, j] = gradTemp
else:
NMS[i, j] = 0
# plt.imshow(NMS, cmap = "gray")
# step4. 双阈值算法检测、连接边缘
W3, H3 = NMS.shape
DT = np.zeros([W3, H3])
# 定义高低阈值
TL = 0.2 * np.max(NMS)
TH = 0.3 * np.max(NMS)
for i in range(1, W3-1):
for j in range(1, H3-1):
if (NMS[i, j] < TL):
DT[i, j] = 0
elif (NMS[i, j] > TH):
DT[i, j] = 1
elif ((NMS[i-1, j-1:j+1] < TH).any() or (NMS[i+1, j-1:j+1]).any()
or (NMS[i, [j-1, j+1]] < TH).any()):
DT[i, j] = 1
plt.imshow(DT, cmap = "gray")
- 实验结果

原图 双阈值:0.1*max, 0.3*max 双阈值:0.2*max,0.3*max
参考:
Canny算子中的非极大值抑制(Non-Maximum Suppression)分析
