【Word公式进阶请往下翻】
有人还写过论文,参见 PLOS ONE: An Efficiency Comparison of Document Preparation Systems Used in Academic Research and Development
在我看来,最大的优点在于
缺点当然也有
不用离开键盘输入公式,Word也做得到(此处讨论的是07以后的Word,不是Word依赖MathType的时代),而且如果你TeX的相应命令记得挺牢,加公式甚至更方便。切换到英语输入法,[Alt] + [=],试试这么来一下
就能搞出来

那么,我们要是来个矩阵的话会怎么样呢?

在TeX里我们输
那在Word里,来,我们先输个[左方括号],然后输入
其中,&的用法与TeX中一样,而@代表换行。
两种输入方式中,TeX的Math Mode比较依赖花括号来界定范围,而Word则更依赖于实时的空格以及圆括号。可以用
来快速生成带25个占位符的5×5矩阵。
大多数的数学符号在TeX里怎么输,在Word里也基本就是多敲一个空格的事情,包括很多你原来需要\usepackage{amsmath}才能用的符号。
【2月19日突然发现 如何做到像使用 LaTeX 那样优雅地使用 Word? - mewing 的回答这里有更详细的有关公式的解说,并且给出了 http://unicode.org/notes/tn28/UTN28-PlainTextMath-v3.pdf这份微软提供个Unicode的详细文档,大家可以详细看这个文档的第30页,看看很多和\matrix地位相同的环境控制符号

比如\eqarray(有了上面两个例子,空格就直接用空格表示了)
按一次空格
加上#(1)以后,按回车
但是可惜的是,这个(1)并不带书签,也就是说不能被直接交叉引用。这个和灵活度也和TeX的subequations比起来差远了。
Word的很多功能其实非常好用,但是由于图形化界面限于屏幕大小,无法如配置文件一般把所有的配置都列出,而且自定义多了以后会很乱。
其实不管是模板还是样式还是数学公式,LaTeX和Word之间更多是一一对应的关系,要能折腾都能折腾得很好,只不过一个纯靠键盘,另外一个离不开鼠标。两者各有自己的Workflow和使用哲学。


至于代码问题,在LaTeX中用minted解决,在Word中……
可以预先定义一个只涉及字体的“代码”样式……
若需转载,还请先与我说一声。
_________________________
[1] LaTeX 相对于 Word 有什么优势? - 组诗耶的回答
[附图1]

[延伸阅读]
继续增长姿势水平请点击 如何做到像使用 LaTeX 那样优雅地使用 Word? - Clerk Ma 的回答
有人还写过论文,参见 PLOS ONE: An Efficiency Comparison of Document Preparation Systems Used in Academic Research and Development
在我看来,最大的优点在于
- 数学公式的自动编号和交叉引用
- 文件干净,随手记事本或者Vim或者nano都能编辑,不像Word的docx解压以后一堆人眼无法阅读的xml文档
- 因为文件干净,自动化也很方便,Bash、Python……都可以干活
(当然Word也可以通过VBS和C#进行很强大的自动化) - 强迫用户以结构化的方式写作,输出的PDF结构树清晰
而Word默认导出PDF是不输出结构的,需要另外勾选,当然如果勾选了的话不比LaTeX差[附图1] - 各种各样的宏包,TikZ这种包估计Word万年都不会有对应的插件
- 模板质量都很高,各种边距都考虑得很周到,而且切换方便,可以管理的格式很多,如[1]中提到的分栏问题Word的模板是解决不了的,因为本质上Word里“分栏”是页面的属性而不是段落的属性
- UNIX-friendly
- 长度单位不依赖于系统的地区设置
- 各种特殊页面界定清晰,修改灵活,不像Word的“封面”功能有些莫名奇妙
- 矢量图只要用了合适的包和编译引擎就能支持很多格式,不像Word只支持emf或者wmf
- 题注系统比Word强到不知道哪里去了
- Computer Modern系列字体是真的美,美出声
缺点当然也有
- 需要花时间等待编译(渲染)
- 不适合边写边改,文本编辑器+PDF输出预览不如Word实时预览直观,适合写完了放进来从头上到尾巴顺序排版,不然会严重依赖Ctrl+F(评论里指出很多编辑器支持PDF与源文件对应跳转,不过还是要编译一下看结果)
- 多语言支持严重依赖宏包
- 不像Word可以嵌入OLE
- 没有Word的审阅、修订功能(但可以用Git/SVN + texdiff等辅助工具完成)
- 不像Word可以编辑PDF
- 写文章也逃不了debug是一种怎样的体验……
不用离开键盘输入公式,Word也做得到(此处讨论的是07以后的Word,不是Word依赖MathType的时代),而且如果你TeX的相应命令记得挺牢,加公式甚至更方便。切换到英语输入法,[Alt] + [=],试试这么来一下
min [空格] x^2 [空格] -2x+1 [Home] [←] _ [空格] x [空格]
那么,我们要是来个矩阵的话会怎么样呢?
在TeX里我们输
\begin{bmatrix}
a_{11}&a_{12}&a_{13}\\
a_{21}&a_{22}&a_{23}\\
a_{31}&a_{32}&a_{33}\\
\end{bmatrix}
\matrix[左圆括号]a_11[空格]&a_12[空格]&a_13[空格]@a_21[空格]&a_22[空格]&a_23[空格]@a_31[空格]&a_32[空格]&a_33[空格][右圆括号][空格][右方括号][空格]
两种输入方式中,TeX的Math Mode比较依赖花括号来界定范围,而Word则更依赖于实时的空格以及圆括号。可以用
\matrix(&&&&@&&&&@&&&&@&&&&@&&&&)
大多数的数学符号在TeX里怎么输,在Word里也基本就是多敲一个空格的事情,包括很多你原来需要\usepackage{amsmath}才能用的符号。
【2月19日突然发现 如何做到像使用 LaTeX 那样优雅地使用 Word? - mewing 的回答这里有更详细的有关公式的解说,并且给出了 http://unicode.org/notes/tn28/UTN28-PlainTextMath-v3.pdf这份微软提供个Unicode的详细文档,大家可以详细看这个文档的第30页,看看很多和\matrix地位相同的环境控制符号

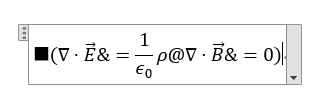
比如\eqarray(有了上面两个例子,空格就直接用空格表示了)
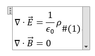
\eqarray(\nabla \cdot E \vec &=1/\epsilon_0 \rho@\nabla \cdot B \vec &=0)
按一次空格
加上#(1)以后,按回车
但是可惜的是,这个(1)并不带书签,也就是说不能被直接交叉引用。这个和灵活度也和TeX的subequations比起来差远了。 Word的很多功能其实非常好用,但是由于图形化界面限于屏幕大小,无法如配置文件一般把所有的配置都列出,而且自定义多了以后会很乱。
其实不管是模板还是样式还是数学公式,LaTeX和Word之间更多是一一对应的关系,要能折腾都能折腾得很好,只不过一个纯靠键盘,另外一个离不开鼠标。两者各有自己的Workflow和使用哲学。


至于代码问题,在LaTeX中用minted解决,在Word中……
可以预先定义一个只涉及字体的“代码”样式…… 若需转载,还请先与我说一声。
_________________________
[1] LaTeX 相对于 Word 有什么优势? - 组诗耶的回答
[附图1]

[延伸阅读]
继续增长姿势水平请点击 如何做到像使用 LaTeX 那样优雅地使用 Word? - Clerk Ma 的回答
不会用LaTeX --> 无法编译 没有文档
不会用word --> 文档真难看 格式丑死了
会用LaTeX --> 漂亮的文档
会用word --> 文档
LaTeX 用的好 --> 牛逼的文档
Word 用的好 --> 牛逼的文档
不会用word --> 文档真难看 格式丑死了
会用LaTeX --> 漂亮的文档
会用word --> 文档
LaTeX 用的好 --> 牛逼的文档
Word 用的好 --> 牛逼的文档
先给Word洗洗地,再说说不太满意的地方。
用了LaTeX后回头看Word,发现自己以前真的不会用Word。其实LaTeX里面的一些特性都可以在Word里面有对应的功能,自动编号,标题段落样式,交叉引用,参考文献什么的也都还算方便。只是之前不知道而已。
不论是Word自带的公式编辑器还是MathType,公式都非常丑,这个毋庸置疑,推荐一款插件 Aurora,产生的效果与LaTeX的一致。
不过LaTeX还是有一些实用功能Word不具备:
1.注释功能,可以把自己的写作的思路写在上面,Word的批注,勉强可以吧。
2.\newcommand,开始写论文的时候如果有个词没想好,索性定义一个命令,写作的时候用这个命令代替这个词,最后想改的时候改这个命令就行了。当时我被甲方折磨的死去活来之后才想到的。
3.行间公式断行,只能是自带的编辑器才行,效果还不如MathType。
4.插代码,Word比较捉急,什么关键词、注释、字符串颜色什么的都要手动调,热门的语言还行,可能有工具什么的,冷门的比如西门子的STL语言,除了listings宏包,真不知道怎么办?VBA估计可以一战。
5.重复报表的生成,有时候要处理很多原始数据,计算、排版,每天都搞几遍会疯掉的,这种问题我一般写个VB,Python随便什么语言的脚本,处理数据然后自动生成LaTeX代码,调用编译器直接输出PDF。再进一步,直接生成个邮件发给老板了。
6.不同版本的Word打开同一个文档可能面目全非。PPT同理,做的很漂亮的PPT,去会场播放的时候全变了。没有复杂动画的时候我一般转成PDF。
7.有时候崩掉了,你又没保存,自动保存的好早的版本,就傻眼了。LaTeX编辑器就是纯文本编辑器,我反正是没见过他崩过。
8.Word太贵,用不起。
当然LaTeX也有硬伤啊
1.就我会,啥都要自己改,协作性差点,想几个人完成一个文档比较困难。
2.老板不喜欢在PDF修订,这不是我能决定的,PDF转WORD还没有特别好的工具。
3.表格,确实不太直观,容易出错,新手可以试试这个网站, Create LaTeX tables online
4.画图,你要是想保证一文档风格致性,还得用PGF,pstricks什么的来画图,这玩意确实很强,文档1000多页,就是代码量有点大。
用了LaTeX后回头看Word,发现自己以前真的不会用Word。其实LaTeX里面的一些特性都可以在Word里面有对应的功能,自动编号,标题段落样式,交叉引用,参考文献什么的也都还算方便。只是之前不知道而已。
不论是Word自带的公式编辑器还是MathType,公式都非常丑,这个毋庸置疑,推荐一款插件 Aurora,产生的效果与LaTeX的一致。
不过LaTeX还是有一些实用功能Word不具备:
1.注释功能,可以把自己的写作的思路写在上面,Word的批注,勉强可以吧。
2.\newcommand,开始写论文的时候如果有个词没想好,索性定义一个命令,写作的时候用这个命令代替这个词,最后想改的时候改这个命令就行了。当时我被甲方折磨的死去活来之后才想到的。
3.行间公式断行,只能是自带的编辑器才行,效果还不如MathType。
4.插代码,Word比较捉急,什么关键词、注释、字符串颜色什么的都要手动调,热门的语言还行,可能有工具什么的,冷门的比如西门子的STL语言,除了listings宏包,真不知道怎么办?VBA估计可以一战。
5.重复报表的生成,有时候要处理很多原始数据,计算、排版,每天都搞几遍会疯掉的,这种问题我一般写个VB,Python随便什么语言的脚本,处理数据然后自动生成LaTeX代码,调用编译器直接输出PDF。再进一步,直接生成个邮件发给老板了。
6.不同版本的Word打开同一个文档可能面目全非。PPT同理,做的很漂亮的PPT,去会场播放的时候全变了。没有复杂动画的时候我一般转成PDF。
7.有时候崩掉了,你又没保存,自动保存的好早的版本,就傻眼了。LaTeX编辑器就是纯文本编辑器,我反正是没见过他崩过。
8.Word太贵,用不起。
当然LaTeX也有硬伤啊
1.就我会,啥都要自己改,协作性差点,想几个人完成一个文档比较困难。
2.老板不喜欢在PDF修订,这不是我能决定的,PDF转WORD还没有特别好的工具。
3.表格,确实不太直观,容易出错,新手可以试试这个网站, Create LaTeX tables online
4.画图,你要是想保证一文档风格致性,还得用PGF,pstricks什么的来画图,这玩意确实很强,文档1000多页,就是代码量有点大。
非常不公平
学word 时不看教程,全凭自己鼠标乱点摸索,当然word是没有学好,做出了丑陋的东西,然后大家都说word不行。
学LaTeX时看了教程,逛了论坛,都学会了,做出了还不错的东西,然后大家说LaTeX好。
大概是这样吧
学word 时不看教程,全凭自己鼠标乱点摸索,当然word是没有学好,做出了丑陋的东西,然后大家都说word不行。
学LaTeX时看了教程,逛了论坛,都学会了,做出了还不错的东西,然后大家说LaTeX好。
大概是这样吧
就使用上来说,Word 是 见什么就是什么,用户的精力集中在视觉效果。
LaTeX 是 想什么就写什么,用户的精力集中在结构和内容。
这体现在几点。
这里就不卖弄了,让专业的来例举。
其他一些对比可以在 Visual comparison between LaTeX and Word output (hyphenation, typesetting, ligatures etc),Zink Typography,Dario Taraborelli: The Beauty of LaTeX 等处找到。
就学术性来说
我目前的使用习惯是:严肃正式的文档用 LaTeX,简短随便的文档用 GDoc,坚决不用 Microsoft。
最后引用经典入门教材 lshort 中 玩笑式地 提到的几个 LaTeX 的缺点(乱翻的大意):
LaTeX 是 想什么就写什么,用户的精力集中在结构和内容。
这体现在几点。
- 你只需要说这是标题、那是引用、这是插图,LaTeX 就把他们放在应该放的地方,不用多操心位置、大小、字体等细节。很多学术期刊提供模版,进一步节省了作者调整格式的时间。
- 数学公式美观专业,输入非常便捷,只要知道怎么读,就知道怎么写。平时和别人用纯文字交流数学时,也会用 LaTeX 代码。化学式,乐谱,各专业的冷门特殊符号,也都有很便捷的支持。
- 鼓励,甚至强制用户定义清晰的文章结构,有助于养成良好的论文写作习惯。结构命令易于理解和记忆,和日常英语会话几乎一致,并且可以方便地生成参考文献、脚注、目录、索引等。
- 同样的风格,也被扩展到幻灯片(流行的 Beamer),图片(TikZ, PSTrick)的制作。
这里就不卖弄了,让专业的来例举。
这里提供一个德国人做的对比 http://user.uni-frankfurt.de/~muehlich/tex/wordvslatex.html以上链接的作者似乎已经离开 Uni Frankfurt,链接已经失效。第一个链接的内容还可以在 http://archive.today/v70m 看到(德语)。
Word 生成的 PDF http://user.uni-frankfurt.de/~muehlich/tex/Word-LaTeX-Vergleich1.pdf
LaTeX 生成的 PDF http://user.uni-frankfurt.de/~muehlich/tex/Word-LaTeX-Vergleich2.pdf
其他一些对比可以在 Visual comparison between LaTeX and Word output (hyphenation, typesetting, ligatures etc),Zink Typography,Dario Taraborelli: The Beauty of LaTeX 等处找到。
就学术性来说
- LaTeX 是科研界标准,很多期刊提供模板,甚至提供在线编译功能。
- 很难用 LaTeX 做花哨的文本和幻灯片,一切都简洁明了,专于内容。
- Word 容易被修改,显得不够严肃。PDF 或 PS 更正式,也更美观。
- 合格的数学软件都能转 LaTeX,合格的文献管理软件都生成 BibTex。
我目前的使用习惯是:严肃正式的文档用 LaTeX,简短随便的文档用 GDoc,坚决不用 Microsoft。
最后引用经典入门教材 lshort 中 玩笑式地 提到的几个 LaTeX 的缺点(乱翻的大意):
- 对于出卖灵魂的人来说不太好用;
- 自己重新设计整个排版很花时间;
- 组织结构混乱的文章不太容易写;
- 你的仓鼠可能永远掌握不了逻辑标记式语言。
LaTeX和Word的比较实际上是一个只存在英语学术写作领域的问题,因为别的领域很少用到LaTeX。单就学术写作而言,实际上两者都存在问题,不存在完美的一站式解决方案。
比如说,
相比较而言,Word的问题主要是过度设计,而LaTeX的问题主要是设计不足。LaTeX相对较好的原因主要是设计不足比过度设计容易补偿:没有的功能你自己写个脚本实现就是了,但Word强塞给你的设计很多是无从改起的。
长期来看,Word作为商业软件,过度设计的问题很可能愈演愈烈:新功能毕竟是新卖点。LaTeX版本上的保守可能反而会使得它历久弥新。
比如说,
- Word默认的字体样式一般不是学术会议和期刊规定的标准字体标号(比如默认的Calibri是无衬线(Sans-serif)字体),需要一一手动修改;
- Word用于图片和表格的浮窗设计经常导致软件拒绝按照用户的意思将浮窗置于所需位置,或者造成大片空白页,或者把浮窗位置自动“优化”到不知什么地方,或者把多个浮窗堆叠到一起;图片说明采用浮窗设计则经常导致图片说明跟图片分家,或者掉到图片内部无法通过点击选中;浮窗有时会造成文档损坏无法保存,或者不同用户打开时位置不一样;
- Word的文献数据库不是开源格式,endnote和refworks都是收费还得自己学的第三方软件,引用文献时实际上最简单的办法是一一手动输入;
- Word的自动更正、自动放缩、自动分配表格宽度、网格等功能导致用户很难对文档进行微调操作;在Word中引用其他Office软件创建的内容时,这些功能经常导致流程图之类对象发生变形从而需要用户微调,然后进入人机打架死循环;
- Word提供了在Word环境内部修改其他Office软件创建的内容的功能;然而这一功能并不改变源文件内容而是修改引用拷贝,不利于版本管理,容易造成用户改过源文件就以为一并修改过所有引用拷贝的疏忽;
- LaTeX能够支持的图片格式很少,一般而言如果用graphicx包最好全转成pdf/png/eps格式。如果没有graphicx包则原版只支持eps格式,这带来一系列问题:现今支持eps格式的图片转换工具不多,如果用户不会用gimp很可能出现不知如何转图的问题,而且gimp有时候转eps会发生放缩失误。
- LaTeX的表格环境很简陋,基本的自动调整宽度高度功能都需要另加package解决;
- LaTeX很多基本功能都需要外加package解决,在投稿有些需要作者上传源文件在服务器上编译的期刊(比如Springer系)的时候这是相当严重的问题:你不知道服务器上有没有你需要的package。有些期刊/会议提供的class文件里面指定引用某些特定package,这可能带来兼容性问题,抵消了LaTeX原本具有的同一份手稿0修改转模板的优点;
- LaTeX没有内置的track change功能,这导致审查草稿时要提修改意见要么用pdf的评论功能要么打出来纸笔修改,不如Word方便。
相比较而言,Word的问题主要是过度设计,而LaTeX的问题主要是设计不足。LaTeX相对较好的原因主要是设计不足比过度设计容易补偿:没有的功能你自己写个脚本实现就是了,但Word强塞给你的设计很多是无从改起的。
长期来看,Word作为商业软件,过度设计的问题很可能愈演愈烈:新功能毕竟是新卖点。LaTeX版本上的保守可能反而会使得它历久弥新。
对于普通用户而言, LaTeX 强于 word 的地方在于:
有人提到word有语法检查,LaTeX也有编辑器支持,不仅语法,还有表达改进呢:
TeXpen : http://sf.net/p/texpen

- 可以保存撰写过程的中间信息:修改时把打算删除的段落注释起来,后悔时取消注释即可,这个在Word里很难实现;还可以用注释记下相关的信息,如粗糙的灵感等等,以便进一步发展思路,在Word里用“注释”倒是可以实现,但正式发布的时候,还要一条条删除,麻烦!
- 输入数学公式无需离开键盘:这个谁用谁知道,尤其是在论文段落中夹杂大量变量、函数的说明的时候,用word的Equation对象会让人吐血而亡,word 2007之后也支持部分Latex语法,稍稍好那么一点点,但与LaTeX中的行云流水比起来,还差得远
- 切换模板不能更方便:论文一投即中当然好,如果被拒而转投下家,并且恰巧期刊对稿件格式有要求,在LaTeX里可能只需把第一行的 elsivier 改成 springer ,而换Word的话,单栏换双栏、times 换 arial、…… 牛顿保佑!!
- 当然,还有免费。
有人提到word有语法检查,LaTeX也有编辑器支持,不仅语法,还有表达改进呢:
TeXpen : http://sf.net/p/texpen

选择合适的工具做合适的事情。
首先举个实际案例,比如前一阵朋友接到这样一个需求:
第三方检测机构提交关于客户身体状况的一大堆数据,然后在网站后端将数据自动化分析并生成易于打印的pdf供客户查看。
最初朋友接到的样本使用Ai编写,效果相当好,但是要批量自动化生成基本不可能。
这种从code到code的过程使用word相当繁琐,但使用LaTeX的话可以自动化输出最后渲染到pdf,格式、字体、配色方案都可以很灵活地从源代码改动(比如使用python固定生成语句)。
基本上大家都在说人机交互的时候LaTeX和Word的优缺点,但是没人提到LaTeX其实很便于自动化处理吧?
再从我的角度来说,我自己的一份兼职是做翻译,LaTeX在用(Kubuntu下安装TexLive 2015配合vim-latex),Word也在用(还剩半年的Office365订阅期)。以下是去年下半年翻译的一本书,7万字左右,使用XeLaTeX编译。

LaTeX的优势其他答主回答了很多,我来谈谈自己对于这两款工具的想法。
LaTeX用于专注于逻辑结构的写作确实很方便,但是涉及到表格(谁写谁知道)、复杂的布局、特殊格式要求(比如目录中不显示副标题页码等)时往往要改模板或更新命令,查阅stackoverflow就是一件费事费心的事情。相比之下Word在「单页达到和预期一样视觉效果」这个要求下可以比较轻松地完成,对于LaTeX来说找不到现成模板全部从头做基本是不可想象的。
另一方面,Word使用subdocument插入时格式需要分别统一,而LaTeX的格式甚至可以另外写一个文件规定好,include时可以完全不用管格式问题,而且这样快速切换不同样式(适应不同的提交需求)也会很方便。单一大文档的话,Word会有些不便,而vim-latex不管文档多还是少真的是相当快捷。
使用vim-latex写作还可以自行编写好用的Vim插件,比如我用python写了一个google translate的爬虫,Vim绑定F12切到脚本输入查询返回结果,所有的操作都在命令行界面完成,纯字符显示效率最大化。
Office现在有两个功能对我来说非常有吸引力。一个是Onedrive同步,一个是自动保存。前者方便跨平台工作,出门带个Venue 8 Pro和蓝牙红点键盘还能配合Onenote直接写写画画,在家同步回笔记本继续无缝工作。后者可以让我放心体验不稳定的Windows版本……
首先举个实际案例,比如前一阵朋友接到这样一个需求:
第三方检测机构提交关于客户身体状况的一大堆数据,然后在网站后端将数据自动化分析并生成易于打印的pdf供客户查看。
最初朋友接到的样本使用Ai编写,效果相当好,但是要批量自动化生成基本不可能。
这种从code到code的过程使用word相当繁琐,但使用LaTeX的话可以自动化输出最后渲染到pdf,格式、字体、配色方案都可以很灵活地从源代码改动(比如使用python固定生成语句)。
基本上大家都在说人机交互的时候LaTeX和Word的优缺点,但是没人提到LaTeX其实很便于自动化处理吧?
再从我的角度来说,我自己的一份兼职是做翻译,LaTeX在用(Kubuntu下安装TexLive 2015配合vim-latex),Word也在用(还剩半年的Office365订阅期)。以下是去年下半年翻译的一本书,7万字左右,使用XeLaTeX编译。

LaTeX的优势其他答主回答了很多,我来谈谈自己对于这两款工具的想法。
LaTeX用于专注于逻辑结构的写作确实很方便,但是涉及到表格(谁写谁知道)、复杂的布局、特殊格式要求(比如目录中不显示副标题页码等)时往往要改模板或更新命令,查阅stackoverflow就是一件费事费心的事情。相比之下Word在「单页达到和预期一样视觉效果」这个要求下可以比较轻松地完成,对于LaTeX来说找不到现成模板全部从头做基本是不可想象的。
另一方面,Word使用subdocument插入时格式需要分别统一,而LaTeX的格式甚至可以另外写一个文件规定好,include时可以完全不用管格式问题,而且这样快速切换不同样式(适应不同的提交需求)也会很方便。单一大文档的话,Word会有些不便,而vim-latex不管文档多还是少真的是相当快捷。
使用vim-latex写作还可以自行编写好用的Vim插件,比如我用python写了一个google translate的爬虫,Vim绑定F12切到脚本输入查询返回结果,所有的操作都在命令行界面完成,纯字符显示效率最大化。
Office现在有两个功能对我来说非常有吸引力。一个是Onedrive同步,一个是自动保存。前者方便跨平台工作,出门带个Venue 8 Pro和蓝牙红点键盘还能配合Onenote直接写写画画,在家同步回笔记本继续无缝工作。后者可以让我放心体验不稳定的Windows版本……
能用LaTeX的人,通常知道如何正确地使用LaTeX;
能用Word的人,大多数根本就不会正确地使用Word,比如样式模板、“内容和样式分开管理”、域代码、VBA……
而且上面好多人说的LaTeX可以直接套现成的模板……那是模板的功劳,如果你有 高质量的Word模板(定义好样式的),说不定比LaTeX更爽。
能用Word的人,大多数根本就不会正确地使用Word,比如样式模板、“内容和样式分开管理”、域代码、VBA……
而且上面好多人说的LaTeX可以直接套现成的模板……那是模板的功劳,如果你有 高质量的Word模板(定义好样式的),说不定比LaTeX更爽。
对我的好处:
- 不用思考文章的排版。你可以一次写完后慢慢折腾排版,甚至可以完全不理排版交给TeX自己做,这确保你写作时不会分心而用Word的话我会一会调整下字体,调整个字号。。。有的时候你到一片已经有格式的地方回去插入几个字,尼玛格式全乱了我会乱说?我等智商表示页数超过2页就玩不转word了。
- 数学公式功能及其强大。什么?你说Word的公式编辑器?你小心的左点右点后来发现打错一堆然后推到重来没遇到过?好吧,我遇到过。
缺点:
- 如果要精确定义每个字在那里的话,TeX极其复杂。比如简历,我只想让他有一页或者两页,在我想要的地方分页,这种时候我会用word。
- 如果你对找来的模板不满意。。。那么很遗憾,这堆东西改起来十分复杂。。。
- 如果你想改参考文献的格式。。。对不起,你还是手写吧。我曾经想改下参考文献的格式,结果被传说中的逆波兰式语法吓尿了,这玩意太反人类了,丫的比机器代码还反人类。
写毕业论文的时候最感激的人就是高德纳前辈,没有TeX我想死的心都有了,我是认真的。
很中立的说,tex和word都是非常优秀的软件,不过侧重点不一样而已了。
使用latex主要原因有以下几个方面,word所不具备。
1. 很多国外期刊要求采用latex排版文件,word2003,07,13等各种版本显示出的格式不太相同,会造成审稿困扰。
2. 强大的公式编辑器,像科研工作者基本都习惯于写代码,相比于费劲的用mathtype或者公式编辑器,其实秒秒钟用tex的代码就写出来各种复杂公式。
3. 不用担心排版问题,对于latex,所有公式,字体间距等等都有严格的规范排版,基本上自己不用操心太多。而word排着排着就排乱了,公式串行了,字体格式不对了,字号等等问题。
4. 文献引用非常方便,虽然word内嵌endnote,但有时候还是存在一些问题,比如输入不上,文献引用失效等等。latex直接导入endnote库,然后引用即可。
5. 图片,图表,统一格式有专门的模版,直接用就可以,换个内容就行。word似乎不是那么方便,换内容的时候极其容易将格式弄没了。
-------------------------------------------------------------------------------------------------
最后:
word是一种将内容和格式融合在一起的排版软件,对用日常使用,易用性,所见即所得等好处。
而latex是一种将内容和风格分开管理的排版软件,一般而言一开始做几个常用模版后,后期只用粘文字进去就好了。
-------------------------------------------------------------------------------------------------
所以,别强迫自己使用看起来高大上的tex。
“没有特别需要使用latex的时候,你不会发现它的美。
如果发现word带来格式困扰时,你一定会喜欢latex。”
使用latex主要原因有以下几个方面,word所不具备。
1. 很多国外期刊要求采用latex排版文件,word2003,07,13等各种版本显示出的格式不太相同,会造成审稿困扰。
2. 强大的公式编辑器,像科研工作者基本都习惯于写代码,相比于费劲的用mathtype或者公式编辑器,其实秒秒钟用tex的代码就写出来各种复杂公式。
3. 不用担心排版问题,对于latex,所有公式,字体间距等等都有严格的规范排版,基本上自己不用操心太多。而word排着排着就排乱了,公式串行了,字体格式不对了,字号等等问题。
4. 文献引用非常方便,虽然word内嵌endnote,但有时候还是存在一些问题,比如输入不上,文献引用失效等等。latex直接导入endnote库,然后引用即可。
5. 图片,图表,统一格式有专门的模版,直接用就可以,换个内容就行。word似乎不是那么方便,换内容的时候极其容易将格式弄没了。
-------------------------------------------------------------------------------------------------
最后:
word是一种将内容和格式融合在一起的排版软件,对用日常使用,易用性,所见即所得等好处。
而latex是一种将内容和风格分开管理的排版软件,一般而言一开始做几个常用模版后,后期只用粘文字进去就好了。
-------------------------------------------------------------------------------------------------
所以,别强迫自己使用看起来高大上的tex。
“没有特别需要使用latex的时候,你不会发现它的美。
如果发现word带来格式困扰时,你一定会喜欢latex。”
作为苦逼统计学生,我表示作业啊report啊一定要用latex写好么!公式和各种数学符号写起来很方便就不说了,写proof真是得心应手。更重要的是,R里面可以直接嵌入latex,然后直接knit生成pdf,不用考虑code怎么嵌入,图片怎么保存等等乱七八糟的问题。推荐给理工科学生党!latex练熟之后再也不想用word了~
现在网上基本就是LATEX和WORD互相黑来黑去,黑来黑去真的很有意思吗?
本人两个都在用,水平比较低。在我看来,其实经过这么多年的发展WORD和LATEX在能够实现的功能上早就互相覆盖了。根本不存在WORD能做,LATEX不能,或者LATEX能,WORD不能的事情——我是指排版领域,用WORD 做动画片之类的奇葩技能咱不讨论。
况且,就一个排版,无非就是难做不难做罢了,不怕麻烦的话,PhotoShop也不是不能做的!这么损来损去,有意义吗!!!
要我说,LATEX的最大优点其实就一个:
大部分物理、数学领域期刊,只有LATEX的模板。LATEX是事实上的行业标准。
不信您逮着那些说LATEX好的人,看看有多少是这个领域的吧!
在没有模板的情况下,无论LATEX还是WORD,对比别人成品的pdf做排版,都是自残。—— 而且在没模板的情况排出要求的pdf效果,WORD确实快的多。
这简直就好比在问公制的螺丝和英制的螺丝相比较有什么优势一样。答案无非就是:
螺丝孔是什么样的,就用什么螺丝去!
如果哪一天WORD变成行业标准了,肯定又是倒过来的境界。
补全说明——为什么LATEX是行业标准。
经常用 LaTeX 的是些什么人?
引用 @冉蛟的答案:
因为历史原因Latex是学术圈子里面写论文的事实标准(国内的论文除外)。八十年代末期Tex就已经发布出来了,而MS Office在1990年才发布第一版[1]。在Office还没有机会渗透到学术圈子里面之前,latex已经大面积应用上了。
对于写论文而言,在Word 07之前的版本里面对于论文相关的功能支持非常不完善。word的公式编辑会经常出现和正文内容对不齐、公式字体不美观、操作繁琐等问题。在参考文献交叉引用的功能上,Word 07才开始有能用的参考文献自动生成和交叉引用自动编号功能。
从目前的功能上看,latex的大部分功能其实Office 07之后已经都能够做到了,而学术界仍然坚持用latex的原因我觉得第一是因为延续已有的传统,第二是因为latex是开源的(对于不能盗版的欧美人而言,不是人人都能买得起office的),第三是因为国外的很多科研机构是Linux/Unix技术体系,不方便使用微软的东西。
从一个Unix/Linux hacker的角度来看,采用标记语法的latex是一个很强大好用的工具。但是因为同样的原因,这也会让习惯了windows下图形界面的普通用户觉得不可接受。国内相当一部分的大学老师、学生根本不知道latex为何物,很多期刊甚至只收word文档。国内Unix/Linux用户数量相对欧美少的不行,即使用Linux也会有一个双系统装上盗版Office来用,不存在软件成本的问题。
[1] Microsoft Office
本人两个都在用,水平比较低。在我看来,其实经过这么多年的发展WORD和LATEX在能够实现的功能上早就互相覆盖了。根本不存在WORD能做,LATEX不能,或者LATEX能,WORD不能的事情——我是指排版领域,用WORD 做动画片之类的奇葩技能咱不讨论。
况且,就一个排版,无非就是难做不难做罢了,不怕麻烦的话,PhotoShop也不是不能做的!这么损来损去,有意义吗!!!
要我说,LATEX的最大优点其实就一个:
大部分物理、数学领域期刊,只有LATEX的模板。LATEX是事实上的行业标准。
不信您逮着那些说LATEX好的人,看看有多少是这个领域的吧!
在没有模板的情况下,无论LATEX还是WORD,对比别人成品的pdf做排版,都是自残。—— 而且在没模板的情况排出要求的pdf效果,WORD确实快的多。
这简直就好比在问公制的螺丝和英制的螺丝相比较有什么优势一样。答案无非就是:
螺丝孔是什么样的,就用什么螺丝去!
如果哪一天WORD变成行业标准了,肯定又是倒过来的境界。
补全说明——为什么LATEX是行业标准。
经常用 LaTeX 的是些什么人?
引用 @冉蛟的答案:
因为历史原因Latex是学术圈子里面写论文的事实标准(国内的论文除外)。八十年代末期Tex就已经发布出来了,而MS Office在1990年才发布第一版[1]。在Office还没有机会渗透到学术圈子里面之前,latex已经大面积应用上了。
对于写论文而言,在Word 07之前的版本里面对于论文相关的功能支持非常不完善。word的公式编辑会经常出现和正文内容对不齐、公式字体不美观、操作繁琐等问题。在参考文献交叉引用的功能上,Word 07才开始有能用的参考文献自动生成和交叉引用自动编号功能。
从目前的功能上看,latex的大部分功能其实Office 07之后已经都能够做到了,而学术界仍然坚持用latex的原因我觉得第一是因为延续已有的传统,第二是因为latex是开源的(对于不能盗版的欧美人而言,不是人人都能买得起office的),第三是因为国外的很多科研机构是Linux/Unix技术体系,不方便使用微软的东西。
从一个Unix/Linux hacker的角度来看,采用标记语法的latex是一个很强大好用的工具。但是因为同样的原因,这也会让习惯了windows下图形界面的普通用户觉得不可接受。国内相当一部分的大学老师、学生根本不知道latex为何物,很多期刊甚至只收word文档。国内Unix/Linux用户数量相对欧美少的不行,即使用Linux也会有一个双系统装上盗版Office来用,不存在软件成本的问题。
[1] Microsoft Office
今晚帮室友调整Word文档格式,他们做了一期时政要闻的文档,有模有样有封面目录,要求pdf格式,当然直接将Word导出成pdf就行了。
问题出在页眉处,一旦编辑页眉就全部页面都包含了页眉,然而封面和封底是不需要页眉。。因为最后要发放给同学看,页眉问题不能忽略。_(:qゝ∠)_
我调了好久,查了下资料找不着分隔符= =最后折腾了半个钟头后搞定了,期间页眉去掉了但是有横线这些小问题也够抓狂的。。。室友甚至下了pdf编辑器来搞,然而这货只能导入非pdf文件,导出pdf(ಥ_ಥ)
还是LaTeX大法好啊,根本不需要纠结这些的。。
问题出在页眉处,一旦编辑页眉就全部页面都包含了页眉,然而封面和封底是不需要页眉。。因为最后要发放给同学看,页眉问题不能忽略。_(:qゝ∠)_
我调了好久,查了下资料找不着分隔符= =最后折腾了半个钟头后搞定了,期间页眉去掉了但是有横线这些小问题也够抓狂的。。。室友甚至下了pdf编辑器来搞,然而这货只能导入非pdf文件,导出pdf(ಥ_ಥ)
还是LaTeX大法好啊,根本不需要纠结这些的。。
from: https://www.zhihu.com/question/20542113

















