Skip to content
  • 首页
  • PHP源码
  • html5网页模板
  • js特效
  • Window软件
  • Mac软件
  • 服务器
  • 其他
Search
源码巴士
  • Sample Page

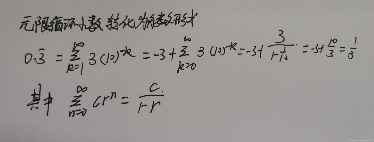
无限循环小数转化为分数形式

在这里插入图片描述


版权声明:本文为weixin_42376458原创文章,遵循CC 4.0 BY-SA版权协议,转载请附上原文出处链接和本声明。
原文链接:https://blog.csdn.net/weixin_42376458/article/details/103643397
文章导航
←java程序员学习路线_JAVA程序员学习路线
Netty -09- Netty 编解码器和 handler 的调用机制→

Copyright © 2022 源码巴士  鲁ICP备19024253号-1