在线人数与并发人数
- 在线用户数:用户同时在一定时间段的在线数量
- 并发用户数:某一时刻同时向服务器发送请求的用户数
一般而言,我们习惯以5-20的比率来推算并发用户与在线用户之间的关系。即,并发与在线的比例约为5%-20%。
在实际的性能测试中,经常接触到的与并发用户数相关的概念还包括“并发用户数”、“系统用户数”和“同时在线用户数”,下面用一个实际的例子来说明它们之间的差别:
假设有一个OA系统,该系统有2000个使用用户——这就是说,可能使用该OA系统的用户总数是2000名,这个概念就是“系统用户数”,该系统有一个“在线统计”功能(系统用一个全局变量记数所有已登录的用户),从在线统计功能中可以得到,最高峰时有500人在线(这个500就是一般所说的“同时在线人数”),那么,系统的并发用户数是多少呢?
根据我们对业务并发用户数的定义,这500就是整个系统使用时最大的业务并发用户数。当然,500这个数值只是表明在最高峰时刻有500个用户登录了系统,并不表示实际服务器承受的压力。因为服务器承受的压力还与具体的用户访问模式相关。例如,在这500个“同时使用系统”的用户中,考察某一个时间点,在这个时间上,假设其中40%的用户在较有兴致地看系统公告(注意:“看”这个动作是不会对服务端产生任何负担的),20%的用户在填写复杂的表格(对用户填写的表格来说,只有在“提交”的时刻才会向服务端发送请求,填写过程是不对服务端构成压力的),20%部分用户在发呆(也就是什么也没有做),剩下的20%用户在不停地从一个页面跳转到另一个页面——在这种场景下,可以说,只有20%的用户真正对服务器构成了压力。因此,从上面的例子中可以看出,服务器实际承受的压力不只取决于业务并发用户数,还取决于用户的业务场景。
在实际的性能测试工作中,测试人员一般比较关心的是业务并发用户数,也就是从业务角度关注究竟应该设置多少个并发数比较合理,因此,在后面的讨论中,也是主要针对业务并发用户数进行讨论,而且,为了方便,直接将业务并发用户数称为并发用户数。
(1)计算平均的并发用户数: C = nL/T
(2)并发用户数峰值: C’ ≈ C+3根号C
公式(1)中,C是平均的并发用户数;n是login session的数量;L是login session的平均长度;T指考察的时间段长度。
公式(2)则给出了并发用户数峰值的计算方式中,其中,C’指并发用户数的峰值,C就是公式(1)中得到的平均的并发用户数。该公式的得出是假设用户的login session产生符合泊松分布而估算得到的。
实例:
假设有一个OA系统,该系统有3000个用户,平均每天大约有400个用户要访问该系统,对一个典型用户来说,一天之内用户从登录到退出该系统的平均时间为4小时,在一天的时间内,用户只在8小时内使用该系统。
则根据公式(1)和公式(2),可以得到:
C = 4004/8 = 200
C’≈200+3根号200 = 242
并发人数与 TPS
1. 背景
在做性能测试的时候,很多人都用并发用户数来衡量系统的性能,觉得系统能支撑的并发用户数越多,系统的性能就越好;对TPS不是非常理解,也根本不知道它们之间的关系,因此非常有必要进行解释。
2. 术语定义
- 并发用户数:指的是现实系统中操作业务的用户,在性能测试工具中,一般称为虚拟用户数(Virutal User),注意并发用户数跟注册用户数、在线用户数有很大差别的,并发用户数一定会对服务器产生压力的,而在线用户数只是 ”挂” 在系统上,对服务器 不产生压力,注册用户数一般指的是数据库中存在的用户数。
- TPS:Transaction Per Second, 每秒事务数, 是衡量系统性能的一个非常重要的指标。
3. Vu和TPS换算
- 简单例子:在术语中解释了TPS是每秒事务数,但是事务时要靠虚拟用户做出来的,假如1个虚拟用户在1秒内完成1笔事务,那么TPS明显就是1;如果某笔业务响应时间是1ms,那么1个用户在1秒内能完成1000笔事务,TPS就是1000了;如果某笔业务响应时间是1s,那么1个用户在1秒内只能完成1笔事务,要想达到1000TPS,至少需要1000个用户;因此可以说1个用户可以产生 1000TPS,1000个用户也可以产生1000TPS,无非是看响应时间快慢。
- 复杂公式:
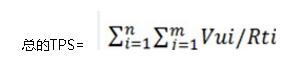
试想一下复杂场景,多个脚本,每个脚本里面定义了多个事务(例如一个脚本里面有100个请求,我们把这100个连续请求叫做Action,只有第10个请求,第20个请求分别定义了事务10和事务20)具体公式如下:
符号代表意义:
Vui表示的是第i个脚本使用的并发用户数
Rtj表示的是第i个脚本第j个事务花费的时间,此时间会影响整个Action时间
Rti表示的是第i个脚本一次完成所有操作的时间,即Action时间
n 表示的是第n个脚本
m 表示的是每个脚本中m个事务
那么第j个事务的TPS = Vui/Rti
4. 如何获取Vu和TPS
并发用户数(Vu)获取
新系统:没有历史数据作参考,只能通过业务部门进行评估。
旧系统:对于已经上线的系统,可以选取高峰时刻,在一定时间内使用系统的人数,这些人数认为属于在线用户数,并发用户数取10%就可以了,例如在半个小时内,使用系统的用户数为10000,那么取10%作为并发用户数基本就够了。TPS获取
新系统:没有历史数据作参考,只能通过业务部门进行评估。
旧系统:对于已经上线的系统,可以选取高峰时刻,在5分钟或10分钟内,获取系统每笔交易的业务量和总业务量,按照单位时间内完成的笔数计算出TPS,即业务笔数/单位时间(560或1060)
5. 如何评价系统的性能
针对服务器端的性能,以TPS为主来衡量系统的性能,并发用户数为辅来衡量系统的性能,如果必须要用并发用户数来衡量的话,需要一个前提,那就是交 易在多长时间内完成,因为在系统负载不高的情况下,将思考时间(思考时间的值等于交易响应时间)加到脚本中,并发用户数基本可以增加一倍,因此用并发用户 数来衡量系统的性能没太大的意义。
6. 相关案例
通过大量性能测试我们发现不需要用上万的用户并发去进行测试,只要系统处理业务时间足够快,几百个用户甚至几十个用户就可以达到目的。另外咨询很多专家做过的性能测试项目,基本都没有超过5000用户并发。
因此对于大型系统、业务量非常高、硬件配置足够多的情况下,5000用户并发就足够了;对于中小型系统,1000用户并发就足够了。
7. 性能测试策略
做性能测试需要一套标准化流程及测试策略,并发用户数只是指标考虑的一个,在做负载测试的时候,一般都是按照梯度施压的方式去加用户数,而不是在没有预估的情况下,一次加几万个用户,交易失败率非常高,响应时间非常长,已经超过了使用者忍受范围内,这样做没有多大的意义,这就好比“有多少钱可以干多少事”一样,需要选择相关的策略。
8. Loadrunner VS PTS
从下图对比项可以看出,PTS比Loadrunner(LR)更能让客户接受。
9. 总结
- 系统的性能由TPS决定,跟并发用户数没有多大关系。在同样的TPS下,可以由不同的用户数去压(通过加思考时间设置)。
- 系统的最大TPS是一定的(在一个范围内),但并发用户数不一定,可以调整。
- 建议性能测试的时候,不要设置过长的思考时间,以最坏的情况下对服务器施压。
- 一般情况下,大型系统(业务量大、机器多)做压力测试,5000个用户并发就够了,中小型系统做压力测试,1000个用户并发就足够了。
参考:
https://blog.csdn.net/dahuzix/article/details/78636607
https://www.cnblogs.com/baihuitestsoftware/articles/6143879.html