文章来自公众号【机器学习炼丹术】
1 focal loss的概述
焦点损失函数 Focal Loss(2017年何凯明大佬的论文)被提出用于密集物体检测任务。
当然,在目标检测中,可能待检测物体有1000个类别,然而你想要识别出来的物体,只是其中的某一个类别,这样其实就是一个样本非常不均衡的一个分类问题。
而Focal Loss简单的说,就是解决样本数量极度不平衡的问题的。
说到样本不平衡的解决方案,相比大家是知道一个混淆矩阵的f1-score的,但是这个好像不能用在训练中当成损失。而Focal loss可以在训练中,让小数量的目标类别增加权重,让分类错误的样本增加权重。
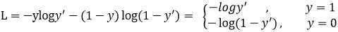
先来看一下简单的二值交叉熵的损失:![]()
- y’是模型给出的预测类别概率,y是真实样本。就是说,如果一个样本的真实类别是1,预测概率是0.9,那么− l o g ( 0.9 ) -log(0.9)−log(0.9)就是这个损失。
- 讲道理,一般我不喜欢用二值交叉熵做例子,用多分类交叉熵做例子会更舒服。
【然后看focal loss的改进】:
这个增加了一个( 1 − y ′ ) γ (1-y')^\gamma(1−y′)γ的权重值,怎么理解呢?就是如果给出的正确类别的概率越大,那么( 1 − y ′ ) γ (1-y')^\gamma(1−y′)γ就会越小,说明分类正确的样本的损失权重小,反之,分类错误的样本的损权重大。
【focal loss的进一步改进】:
这里增加了一个α \alphaα,这个alpha在论文中给出的是0.25,这个就是单纯的降低正样本或者负样本的权重,来解决样本不均衡的问题。
两者结合起来,就是一个可以解决样本不平衡问题的损失focal loss。
【总结】:
- α \alphaα解决了样本的不平衡问题;
- β \betaβ解决了难易样本不平衡的问题。让样本更重视难样本,忽视易样本。
- 总之,Focal loss会的关注顺序为:样本少的、难分类的;样本多的、难分类的;样本少的,易分类的;样本多的,易分类的。
2 GHM
- GHM是Gradient Harmonizing Mechanism。
这个GHM是为了解决Focal loss存在的一些问题。
【Focal Loss的弊端1】
让模型过多的关注特别难分类的样本是会有问题的。样本中有一些异常点、离群点(outliers)。所以模型为了拟合这些非常难拟合的离群点,就会存在过拟合的风险。
2.1 GHM的办法
Focal Loss是从置信度p的角度入手衰减loss的。而GHM是一定范围内置信度p的样本数量来衰减loss的。
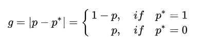
首先定义了一个变量g,叫做梯度模长(gradient norm):
可以看出这个梯度模长,其实就是模型给出的置信度p ∗ p^*p∗与这个样本真实的标签之间的差值(距离)。g越小,说明预测越准,说明样本越容易分类。
下图中展示了g与样本数量的关系:
【从图中可以看到】
- 梯度模长接近于0的样本多,也就是易分类样本是非常多的
- 然后样本数量随着梯度模长的增加迅速减少
- 然后当梯度模长接近1的时候,样本的数量又开始增加。
GHM是这样想的,对于梯度模长小的易分类样本,我们忽视他们;但是focal loss过于关注难分类样本了。关键是难分类样本其实也有很多!,如果模型一直学习难分类样本,那么可能模型的精确度就会下降。所以GHM对于难分类样本也有一个衰减。
那么,GHM对易分类样本和难分类样本都衰减,那么真正被关注的样本,就是那些不难不易的样本。而抑制的程度,可以根据样本的数量来决定。
这里定义一个GD,梯度密度:
G D ( g ) = 1 l ( g ) ∑ k = 1 N δ ( g k , g ) GD(g)=\frac{1}{l(g)}\sum_{k=1}^N{\delta(g_k,g)}GD(g)=l(g)1k=1∑Nδ(gk,g)
- G D ( g ) GD(g)GD(g)是计算在梯度g位置的梯度密度;
- δ ( g k , g ) \delta(g_k,g)δ(gk,g)就是样本k的梯度g k g_kgk是否在[ g − ϵ 2 , g + ϵ 2 ] [g-\frac{\epsilon}{2},g+\frac{\epsilon}{2}][g−2ϵ,g+2ϵ]这个区间内。
- l ( g ) l(g)l(g)就是[ g − ϵ 2 , g + ϵ 2 ] [g-\frac{\epsilon}{2},g+\frac{\epsilon}{2}][g−2ϵ,g+2ϵ]这个区间的长度,也就是ϵ \epsilonϵ
总之,G D ( g ) GD(g)GD(g)就是梯度模长在[ g − ϵ 2 , g + ϵ 2 ] [g-\frac{\epsilon}{2},g+\frac{\epsilon}{2}][g−2ϵ,g+2ϵ]内的样本总数除以ϵ \epsilonϵ.
然后把每一个样本的交叉熵损失除以他们对应的梯度密度就行了。
L G H M = ∑ i = 1 N C E ( p i , p i ∗ ) G D ( g i ) L_{GHM}=\sum^N_{i=1}{\frac{CE(p_i,p_i^*)}{GD(g_i)}}LGHM=i=1∑NGD(gi)CE(pi,pi∗)
- C E ( p i , p i ∗ ) CE(p_i,p_i^*)CE(pi,pi∗)表示第i个样本的交叉熵损失;
- G D ( g i ) GD(g_i)GD(gi)表示第i个样本的梯度密度;
2.2 论文中的GHM
论文中呢,是把梯度模长划分成了10个区域,因为置信度p是从0~1的,所以梯度密度的区域长度就是0.1,比如是0~0.1为一个区域。
下图是论文中给出的对比图:
【从图中可以得到】
- 绿色的表示交叉熵损失;
- 蓝色的是focal loss的损失,发现梯度模长小的损失衰减很有效;
- 红色是GHM的交叉熵损失,发现梯度模长在0附近和1附近存在明显的衰减。
当然可以想到的是,GHM看起来是需要整个样本的模型估计值,才能计算出梯度密度,才能进行更新。也就是说mini-batch看起来似乎不能用GHM。
在GHM原文中也提到了这个问题,如果光使用mini-batch的话,那么很可能出现不均衡的情况。
【我个人觉得的处理方法】
- 可以使用上一个epoch的梯度密度,来作为这一个epoch来使用;
- 或者一开始先使用mini-batch计算梯度密度,然后模型收敛速度下降之后,再使用第一种方式进行更新。
3 python实现
上面讲述的关键在于focal loss实现的功能:
- 分类正确的样本的损失权重小,分类错误的样本的损权重大。
- 样本过多的类别的权重较小
在CenterNet中预测中心点位置的时候,也是使用了Focal Loss,但是稍有改动。
3.1 概述

这里面和上面讲的比较类似,我们忽视脚标。
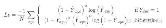
- 假设Y = 1 Y=1Y=1,那么预测的Y ^ \hat{Y}Y^越靠近1,说明预测的约正确,然后( 1 − Y ^ ) α (1-\hat{Y})^\alpha(1−Y^)α就会越小,从而体现分类正确的样本的损失权重小;otherwize的情况也是这样。
- 但是这里的otherwize中多了一个( 1 − Y ) β (1-Y)^\beta(1−Y)β,这个是用来平衡样本不均衡问题的,在后面的代码部分会提到CenterNet的热力图。就会明白这个了。
3.2 代码讲解
下面通过代码来理解:
class FocalLoss(nn.Module):
def __init__(self):
super().__init__()
self.neg_loss = _neg_loss
def forward(self, output, target, mask):
output = torch.sigmoid(output)
loss = self.neg_loss(output, target, mask)
return loss
这里面的output可以理解为是一个1通道的特征图,每一个pixel的值都是模型给出的置信度,然后通过sigmoid函数转换成0~1区间的置信度。
而target是CenterNet的热力图,这一点可能比较难理解。打个比方,一个10*10的全都是0的特征图,然后这个特征图中只有一个pixel是1,那么这个pixel的位置就是一个目标检测物体的中心点。有几个1就说明这个图中有几个要检测的目标物体。
然后,如果一个特征图上,全都是0,只有几个孤零零的1,未免显得过于稀疏了,直观上也非常的不平滑。所以CenterNet的热力图还需要对这些1为中心做一个高斯
可以看作是一种平滑:
可以看到,数字1的四周是同样的数字。这是一个以1为中心的高斯平滑。
这里我们回到上面说到的( 1 − Y ) β (1-Y)^\beta(1−Y)β:
对于数字1来说,我们计算loss自然是用第一行来计算,但是对于1附近的其他点来说,就要考虑( 1 − Y ) β (1-Y)^\beta(1−Y)β了。越靠近1的点的Y YY越大,那么( 1 − Y ) β (1-Y)^\beta(1−Y)β就会越小,这样从而降低1附近的权重值。其实这里我也讲不太明白,就是根据距离1的距离降低负样本的权重值,从而可以实现样本过多的类别的权重较小。
我们回到主题,对output进行sigmoid之后,与output一起放到了neg_loss中。我们来看什么是neg_loss:
def _neg_loss(pred, gt, mask):
pos_inds = gt.eq(1).float() * mask
neg_inds = gt.lt(1).float() * mask
neg_weights = torch.pow(1 - gt, 4)
loss = 0
pos_loss = torch.log(pred) * torch.pow(1 - pred, 2) * pos_inds
neg_loss = torch.log(1 - pred) * torch.pow(pred, 2) * \
neg_weights * neg_inds
num_pos = pos_inds.float().sum()
pos_loss = pos_loss.sum()
neg_loss = neg_loss.sum()
if num_pos == 0:
loss = loss - neg_loss
else:
loss = loss - (pos_loss + neg_loss) / num_pos
return loss
先说一下,这里面的mask是根据特定任务中加上的一个小功能,就是在该任务中,一张图片中有一部分是不需要计算loss的,所以先用过mask把那个部分过滤掉。这里直接忽视mask就好了。
从neg_weights = torch.pow(1 - gt, 4)可以得知β = 4 \beta=4β=4,从下面的代码中也不难推出,α = 2 \alpha=2α=2,剩下的内容就都一样了。
把每一个pixel的损失都加起来,除以目标物体的数量即可。