
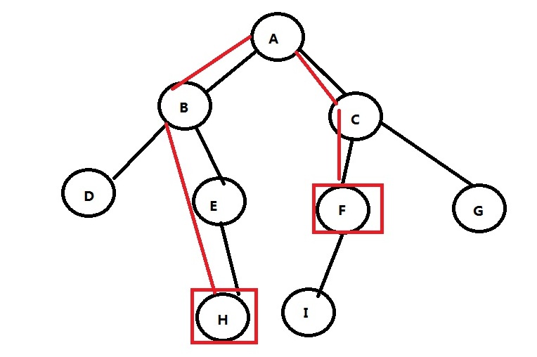
如图中H和F的最低公共祖先节点就是A
解法1:
遍历出所有叶节点到根节点的路径,得到
ABD
ABEH
ACFI
ACG
可以发现要找出H和F的最低祖先节点只要找到任意一条包含F和任意一条一条H的字符串,找出最大前缀的位置即可
这里找出ABEH和ACFI
最大前缀位置即为A处,所以这里A是最低祖先节点
解法2:
写一个递归算法: find(Node root,Node n1,Node n2)
root 是要开始查找的根节点,n1是要找的第一个节点,n2是要查找的第二个节点
{
if(root == null){ //如果根节点为空肯定找不到n1或者n2,所以返回空
return null;
if(root== n1 || root == n2){ 如果根节点就是要找的节点之一,那么返回这个节点
return root;
}
Node pleft = find(root.left,n1,n2);
Node pright = find(root.right,n1,n2);
if(pleft !=null && pright!=null){ //如果左右节点都找到n1或者n2了,那么root节点就是最低根节点
return pright;
}elseif(pleft!=null){ //如果左边查找到了,返回左边的查找结果
returnpleft;
}else (pright = null){
return pright ; //右边查找到的结果
}else{
return null;
}
}
}
版权声明:本文为u010916254原创文章,遵循CC 4.0 BY-SA版权协议,转载请附上原文出处链接和本声明。