Excel里面,有一个很有用,但是很少被大家重视的功能:规划求解。这个功能很多人都还不太清楚,那这个功能究竟有什么用?在什么情况下使用?该怎么用?我用九个案例给你答案。
规划求解是MicrosoftExcel加载项程序,可用于模拟分析。使用“规划求解”查找一个单元格(称为目标单元格)中公式的优化(最大或最小)值,受限或受制于工作表上其他公式单元格的值。“规划求解”与一组用于计算目标和约束单元格中公式的单元格(称为决策变量或变量单元格)一起工作。“规划求解”调整决策变量单元格中的值以满足约束单元格上的限制,并产生您对目标单元格期望的结果。
上面是官方的解释,虽然说了一大堆,但还是不明白这个工具能做什么(官方的解释,都是书面的,可以直接跳过)。接下来我用案例来给大家说说这个工具的强大。做好准备哦。
准备工作
规划求解这个工具是默认未加载的,使用前需要先加载【规划求解加载项】,操作如下:开发工具 → 加载项 → 勾选规划求解加载项 → 切换到数据选项卡 → 规划求解就在最右边了。(见下图)

加载规划求解
案例一:凑数。给一个结果,然后在一堆数据中找哪些数字的和等于这个结果
比如下面这个案例,在A3:A17区域有很多数据,现在要计算哪些数据相加会得到336(大家可以想想这个问题用常规方法该怎么解决呢)。下面我们看规划求解的解题过程:

案例1解题演示

案例1:规划求解的参数设置
下面给大家说说规划求解中,各约束条件的含义(约束条件是对可变单元格的值进行约束):

解析:案例1中,我们设置的约束条件为【bin】二进制,即符合条件的数据,在可变单元格中显示1;不符合条件的数值,在可变单元格中显示0。
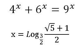
案例2:解一元方程。公式【3^x+6^x=8^x】,求 x 的值

接下来我们看看规划求解的解题过程,在解题前,需要参照下面图片,将相关数据录入表格中。

案例2国画求解解一元方程

案例2:规划求解参数设置
解析:案例2中,用数学基础知识,可以判断出X的值在1和2之间,所以,设置的x≥0.01作为约束条件,然后由电脑自己去计算。当然有些题目的答案超出Excel的数值位数(Excel里面最大支持15位数,超过了就算不出来,比如π),就会存在解不出来的情况。比如下图这个题目,得到的x是一个对数,转换成数值是一个无限小数,这种是不能转换成具体数值的,即使计算出答案了,结果也不准确。

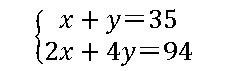
案例3:解二元方程
题目:今有雉(鸡)兔同笼,上有三十五头,下有九十四足。问雉兔各几何?
假设鸡有x只、兔有y只,那么可以组成以下二元一次方程组

接下来我们看看如何用规划求解解开答案的:

案例3:解二元一次方程组

案例3:规划求解参数设置
解析:这里把鸡、兔的数量作为变量,脚的和做为目标值,头的和作为约条件,鸡、兔的数量约束条件为非零整数,即可完成解题。
案例4:趣味填数游戏1,要求详见下图

案例3:题目
此题需要用到辅助单元格(辅助单元格设置,详见下面的操作动画),解题过程如下:

案例4:趣味填数字游戏1

案例4:参数设置
解析:设置辅助单元格的目的,是在约束条件中,要设定一个不重复值,且这个不重复值需要是连续区域,如果按题目中各个单元格是分开的,就无法实现这个效果。本题用的三边之和作为目标值,用的每边之和作为约束条件。
案例5:趣味填数游戏2,要求详见下图

案例5:题目
此题的解题过程如下:

案例5:趣味填数游戏2

案例5:规划求解参数设置
解析:此题的九宫格由于是连续区域,故不需要辅助单元格;目标值用的是各边之和的和(120);约束条件有两条,一为九宫格区域为不重复值,二是用每边的和等于15(正常情况下,应该还有一个约束条件,即九宫格区域额值<=9,由于设置了和为15,所以这个条件可以忽略)。
案例6:取最优组合1,题目见下图,要求从所有可能的方案中计算出最优组合

案例6:题目
接下来我们看下解题过程:

案例6:计算最优组合1

案例6:规划求解参数设置
解析:此题设置了三个约束条件,一为目标产量是整数,二是目标产量大于等于最低要求产量,三是原料消耗总量小于等于现有原料。
案例7:取最优组合2。
某玩具厂有三个车间,计划生产甲、乙、丙三种玩具,要求三个车间生产同一种玩具的数量相同,并且要按照规定的时间内完成,每个车间所给的时间不一样。其他信息如下图所示。求能获得最大利润的最佳生产方案。

案例7:题目
接下来我们看解题过程:

案例7:取最优方案2

案例7:规划求解参数设置
解析:本题的约束条件有二,一为产量为整数,二最优限时要小于等于限时。
案例8:排班,员工值班排班(要求如下)
值班要求: 1、店内有4名员工;
2、每天的营业时间是早上8:30至晚上21:30,共13小时;
3、营业高峰期:中午11:30-13:00、下午17:00-19:00,至少要有3人上班;
4、每天早上8:30至9:30位准营业时间,至少要2名员工上班;
5、每个员工每天至少工作8小时,一周内工作时长为54小时;
我们把以上数据整理成表格

案例8:题目
接下来我们看解题过程:

案例8:值班人员排班

案例8:规划求解设置
解析:用总工时等于224(8小时×4人×7天)作为目标;排班区域用二进制,安排值班的结果为1,安排休息的结果为0,然后设置每人的工时大于等于54,每个时间段实际的人数大于等于需要的人数。
案例9:批量处理规划求解
如下图所示,已知单价、已知目标金额,要求计算每个单价所对应的数量,让单价与数量之和等于目标金额。

案例9:题目
此题解其中一个的过程:

案例9解其中一题
但是本题数据较多,如果一道题、一道题的解,很浪费时间。由于此题比较有规律,就可以用VBA来实现批量解题。在VBA中使用规划求解,需要引用Solver

引用Slover
然后用以下代码,就可以实现批量解题:
Sub 批量执行规划求解()
Application.AlertBeforeOverwriting = False
Dim a As Integer, Arr
Arr = Range("F4:F" & Cells(Rows.Count, 1).End(xlUp).Row)
Dim Rng1, Rng2
For a = 4 To UBound(Arr, 1) + 3
Rng1 = Range("$E$" & a).Address
Rng2 = Range("$B$" & a & ":$D$" & a).Address
SolverReset
SolverOk SetCell:=Rng1, MaxMinVal:=3, ValueOf:=Arr(a - 3, 1), ByChange:=Rng2, Engine:=1, EngineDesc:="GRG Nonlinear"
If Arr(a - 3, 1) = VBA.Int(Arr(a - 3, 1)) Then
SolverAdd CellRef:=Rng2, Relation:=4, FormulaText:="整数"
Else
SolverAdd CellRef:=Rng2, Relation:=3, FormulaText:=0.1
End If
SolverSolve Userfinish = False
Next a
Application.AlertBeforeOverwriting = True
End Sub

批量解题
以上是我收集整理的9个规划求解应用案例。耐心看完的朋友,或许会发现这个工具在实际应用中比较方便,需要用很复杂算法来计算的内容,用这个工具直接就可以解开。如果你们以前也有用过规划求解的案例,也请在留言区留言讨论,大家一起学习。
此文中案例、数据较多,有需要此文件的朋友,可以关注我,然后通过私信发送关键字【规划求解】获取文件。(还不太会发私信的朋友,可以参考我之前分享过的文章,里面有详细介绍)