在早期未配置OS的系统和单批道处理系统中,程序的执行方式是顺序执行,即在内存中仅装入一道用户程序,由它独占系统中的所有资源,只有在一个用户程序执行完成后,才允许装入另一个程序并行执行。可见,这种方式浪费资源、系统运行效率低。
2.1.1 前趋图
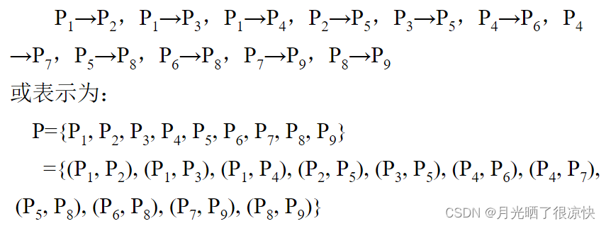
为了更好地描述程序的顺序和并发执行情况,我们先介绍用于描述程序执行先后顺序的前趋图。所谓前趋图,是指一个有向无循环图,可记为DAG,它用于描述进程之间执行的先后顺序。图中的每个结点可用来表示一个进程或程序段,乃至一条语句,结点间的有向边则表示两个结点之间存在的偏序或前趋关系。
进程(或程序)之间的前趋关系可用“→”来表示,如果进程Pi和Pj存在着前趋关系,可表示为(Pi,Pj)∈→,也可以写成Pi→Pj,表示在Pj开始执行之前Pi必须完成。此时Pi是Pj的直接前趋,而称Pj是Pi的直接后继。
在前趋图中,把没有前趋的结点称为初始结点,把没有后继的结点称为终止结点。此外,每个结点还具有一个重量,用于表示该结点所含有的程序量或程序的执行时间。

如上如所示的前趋图中,存在着如下前趋关系:

注意:
前趋图中是不允许有循环的,否则必然会产生不可能实现的前趋关系。如下图所示的前趋关系中就存在着循环。它一方面要求S3开始执行之前,S2必须完成,另一方面又要求在S2开始执行之前,S3必须完成。显然这种关系(S2→S3,S3→S2)是不可能实现的。

2.1.2 程序顺序执行
1. 程序的顺序执行
通常,一个应用程序由若干个程序段组成,每一个程序段完成特定的功能,它们在执行时,都需要按照某种先后次序顺序执行,仅当前一程序段执行完后,才运行后一程序段。
例如,在进行计算时,应先运行输入程序,用于输入用户的程序和数据;然后运行计算程序,对所输入的数据进行计算;最后才是运行打印程序,打印计算结果。我们用结点代表各程序段的操作,其中I代表输入操作,C代表计算操作,P为打印操作,用箭头指示操作的前后次序。上述的三个程序段间就存在着这样的前趋关系:Ii→Ci→Pi,其执行的顺序可以用如下前趋图描述:

即使是一个程序段,也可能存在着执行顺序问题,下面示出了一个包含三条语句的程序段:
S1:a:=x+y;
S2:b=a-5;
S3:c=b+1;
其中,语句S2必须在语句S1后(即a被赋值)才能执行,语句S3也只能在b被赋值后才能执行,因此,三条语句存在着这样的前趋关系:S1→S2→S3,应按如下前趋图顺序执行:

2. 程序顺序执行时的特征
顺序性
指处理机严格地按照程序所规定地顺序执行,即每一操作必须在下一操作开始之前结束。
封闭性
指程序在封闭地环境下运行,即程序运行时独占全机资源,资源的状态(除初始状态外)只有本程序才能改变它,程序一旦开始执行,其执行结果不受外界因素影响。
可再现性
指只要程序执行时的环境和初始条件相同,当程序重复执行时,不论它是从头到尾不停顿地执行,还是“走走停停”地执行,都可获得相同的结果。程序顺序执行时的这种特性,为程序员检测和矫正程序的错误带来了很大的方便。
2.1.3 程序并发执行
1. 程序的并发执行
例1:
在上文所述的输入程序、计算程序和打印程序三者之间,存在着Ii→Ci→Pi这样的前趋关系,以至于对一个作业的输入、计算和打印三个程序段必须顺序执行。但若是对一批作业进行处理时,每道作业的输入、计算和打印程序段的执行情况如下图所示:

由上图可以看出,存在着前趋关系Ii→Ci,Ii→Ii+1,Ci→Pi,Ci→Ci+1,Pi→Pi+1,而Ii+1和Ci及Pi-1是重叠的,即在Pi-1和Ci以及Ii+1之间,不存在前趋关系,可以并发执行。
例2:
对于具有下述四条语句的程序段:
S1:a:=x+2
S2:b:=y+4
S3:c:=a+b
S4:d:=c+b
可画出如下图所示的前趋关系。可以看出:S3必须在a和b被赋值后方能执行;S4必须在S3之后执行;但S1和S2则可以并发执行,因为它们彼此互不依赖。

2. 程序并发执行时的特征
在引入了程序间的并发执行功能后,虽然提高了系统的吞吐量和资源利用率,但由于它们共享系统资源,以及它们为完成同一项任务而相互合作,致使在这些并发执行的程序之间必将形成相互制约的关系,由此会给程序并发执行带来新的特征。
间断性
程序在并发执行时,由于它们共享系统资源,以及为完成同一项任务而相互合作,致使在这些并发执行的程序之间形成了相互制约的关系。如下图中的I、C和P是三个相互合作的程序,当计算程序完成Ci-1的计算后,如果输入程序Ii尚未完成数据的输入,则计算程序Ci就无法进行数据处理,必须暂停运行。只有当程序暂停的因素消失后(如Ii已完成数据输入),计算程序Ci便可恢复执行。由此可见,相互制约将导致并发程序具有“执行——暂停——执行”这种间断性的活动规律。

失去封闭性
当系统中存在着多个可以并发执行的程序时,系统中的各种资源将为它们所共享,而这些资源的状态也由这些程序来改变,致使其中任一程序在运行时,其环境都必然会受到其他程序的影响。例如,当处理机已被分配给某个程序运行时,其它程序必须等待。显然程序的运行已失去了封闭性。
不可再现性
程序在并发执行时,由于失去了封闭性,也将导致其又失去了可再现性。例如,由两个循环程序A和B,它们都共享一个变量N。程序A每执行一次时,都要做N=N+1操作;程序B每执行一次时,都要执行Print(N)操作,然后将N置成“0”。程序A和B以不同的速度运行。这样,可能出现下述三种情况(假定某时刻变量N的值为n):①N=N+1在Print(N)和N=0之前,此时得到的N值分别为n+1,n+1,0。②N=N+1在Print(N)和N=0之后,此时得到的N值分别为n,0,1。③N=N+1在Print(N)和N=0之间,此时得到的N值分别为n,n+1,0。
上述情况说明,程序在并发执行时,由于失去了封闭性,其计算结果必将与并发程序的执行速度有关,从而使程序的执行失去了可再现性。换而言之,程序经过多次执行之后,虽然它们执行时的环境和初始条件相同,但得到的结果却各不相同。
参考资料:《计算机操作系统(第四版)》—— 汤小丹等。