下面深入浅出讲一下Butterworth原理及其代码编写。
1. 首先考虑一个归一化的低通滤波器(截止频率是1),其幅度公式如下:

当n->∞时,得到一个理想的低通滤波反馈: ω<1时,增益为1;ω>1时,增益为1;ω=1时,增益为0.707。如下图所示:

将s=jω带入上式得:

根据以下三个公式
c. 拉普拉斯变换在虚轴s=jω上的性质:
可以得到:
![]()
因此极点(分母为0的解)为:
![]()
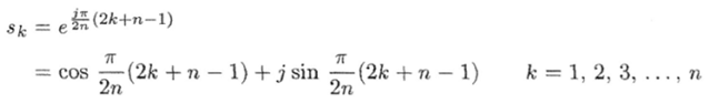
因此可以求得极点在单位圆上:
![]()
如果k从0开始的话,上式括号里可以写作2k+n+1:
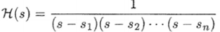
由于我们只对H(s)感兴趣,而不考虑H(-s)。因此低通滤波器的极点全部在负实半平面单位圆上:

该滤波器的传递函数为
![]()
下面是n=1到4阶的极点位置:

例如四阶Butterworth低通滤波器的极点所在角度为:
5π/8, 7π/8, 9π/8, 11π/8
极点位置在:
因此传递函数为:

1到10阶的Butterworth多项式因子表格如下:

例如二阶截止频率为100的传递函数为:
