【问题描述】
最近对问题要求在包含有n个点的集合S中,找出距离最近的两个点。设 p1(x1,y1),p2(x2,y2),……,pn(xn,yn)是平面的n个点。
严格地将,最近点对可能不止一对,此例输出一对即可。
【基本算法思想】
暴力法:
在蛮力法实现最近点对问题中,将问题简化:距离最近的点对可能多于一对,找出一对即可,另外只考虑二维平面中的情况。此处考虑到
直接用公式计算其距离(欧几里得距离):
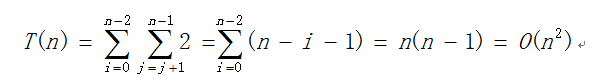
通过遍历所有点集,计算出每一个点对的距离,计算出最近的距离并输出。避免同一对点计算两次,只考虑i<j的点对(pi,pj)。
其主要循环的步骤就是求出平方值,执行的次数为:

分治法:
在利用分治法思想解决此问题时,首先考虑将最近对问题进行分治,设计其分治策略。将集合S分成两个子集S1和S2,根据
平衡子问题原则,每个子集中的点数大致都为n/2。这样分治后,最近点对将会出现三种情况:在S1中,在S2中或者最近
点对分别在集合S1和S2中。利用递归分析法分别计算前两种情况,第三种方法另外分析。求解出三类子情况后,
再合并三类情况,比较分析后输出三者中最小的距离。
复杂度分析: 在分治算法中,当求解n个点的集合的最近点对时,对于上述三类情况中的前两者可由递归算得,
而分析可得第三类情况的时间代价 ,合并后问题求解的总的时间按复杂度可由下列公式来:

//分治法求解最近点对问题(C++)
#include<stdio.h>
#include<math.h>
#include<string.h>
#include<algorithm>
#include<iostream>
using namespace std;
struct point{ //点结构
double x,y;
};
double Distance(point a,point b){
return sqrt((a.x-b.x)*(a.x-b.x)+(a.y-b.y)*(a.y-b.y));
}
bool cmp(point a,point b){ //按y升排序辅助函数
return a.y<b.y;
}
bool cmp2(point a,point b){ //按x升排序辅助函数
return a.x<b.x;
}
double closestPoint(point s[],int low,int high,point rec[]){
double d1,d2,d3,d;
int mid,i,j,index;
double x1,y1,x2,y2; //记录点对的位置
point P[high-low+1],temp1[2],temp2[2],temp3[2]; //辅助空间
if(high-low==1){ //两个点的情况
rec[0].x=s[low].x;rec[0].y=s[low].y;
rec[1].x=s[high].x;rec[1].y=s[high].y;
return Distance(s[low],s[high]);
}
if(high-low==2){ //三个点的情况
d1=Distance(s[low],s[low+1]);
d2=Distance(s[low+1],s[high]);
d3=Distance(s[low],s[high]);
if((d1<d2)&&(d1<d3)){
rec[0].x=s[low].x;rec[0].y=s[low].y;
rec[1].x=s[low+1].x;rec[1].y=s[low+1].y;
return d1;
}
else if(d2<d3){
rec[0].x=s[low+1].x;rec[0].y=s[low+1].y;
rec[1].x=s[high].x;rec[1].y=s[high].y;
return d2;
}
else {
rec[0].x=s[low].x;rec[0].y=s[low].y;
rec[1].x=s[high].x;rec[1].y=s[high].y;
return d3;
}
}
mid=(low+high)/2; //其他情况递归
d1=closestPoint(s,low,mid,rec);
temp1[0]=rec[0];
temp1[1]=rec[1];
d2=closestPoint(s,mid+1,high,rec);
temp2[0]=rec[0];
temp2[1]=rec[1];
if(d1<d2){
d=d1;
rec[0]=temp1[0];
rec[1]=temp1[1];
}
else {
d=d2;
rec[0]=temp2[0];
rec[1]=temp2[1];
}
index=0;
for(i=mid;(i>=low)&&((s[mid].x-s[i].x)<d);i--) //点集合p1
P[index++]=s[i];
for(i=mid+1;(i<=high)&&((s[i].x-s[mid].x)<d);i++) //点集合p2
P[index++]=s[i];
sort(P,P+index,cmp); //升序排列
for(i=0;i<index;i++){
for(j=j+1;j<index;i++){
if((P[j].y-P[i].y)>=d)
break;
else {
d3=Distance(P[i],P[j]);
if(d3<d){
rec[0].x=P[i].x;rec[0].y=P[i].y;
rec[1].x=P[j].x;rec[1].y=P[j].y;
d=d3;
}
}
}
}
return d;
}
int main(){
point p[10]; //设定点的集合
int n;
double minDist;
cout<<"输入点的个数:\n"; //输入点的个数
cin>>n;
cout<<"输入点集:(x,y)\n";
for(int i=0;i<n;i++)
cin>>p[i].x>>p[i].y;
sort(p,p+n,cmp2); //对输入的点先排序
point index[2];
minDist=closestPoint(p,0,n-1,index);
cout<<"最小距离点对为:("<<index[0].x<<","<<index[0].y<<"),("<<index[1].x<<","<<index[1].y<<")\n";
cout<<"最小距离为:\n"<<minDist; //输出点对的最小问题
return 0;
}
————————————————
版权声明:本文为CSDN博主「fanleehao」的原创文章,遵循CC 4.0 BY-SA版权协议,转载请附上原文出处链接及本声明。
原文链接:https://blog.csdn.net/qq_28666193/article/details/53351482
版权声明:本文为qq_50675813原创文章,遵循CC 4.0 BY-SA版权协议,转载请附上原文出处链接和本声明。