1.问题描述
给定一个二叉树,返回该二叉树的之字形层序遍历,(第一层从左向右,下一层从右向左,一直这样交替)
例如:
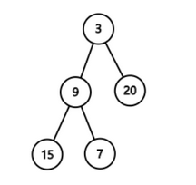
给定的二叉树是{3,9,20,#,#,15,7}
该二叉树之字形层序遍历的结果是
[
[3],
[20,9],
[15,7]
]
题目分析:
可以发现奇数行是从左往右输出,偶数行是从右往左,我们可以采用两个栈的思路解决问题,一个栈对偶数处理,另一个对奇数处理。
public ArrayList<ArrayList<Integer>> zigzagLevelOrder (TreeNode root) {
// write code here
if(root==null||root.val==0)return new ArrayList<>();
Stack<TreeNode> stack=new Stack<>();
Stack<TreeNode> stack1=new Stack<>();
ArrayList<ArrayList<Integer>> lists=new ArrayList<>();
ArrayList<Integer> arrayList=new ArrayList<>();
//使用stack 奇数行 结果从左往右打印 stack1 偶数行 从右往左打印
stack.push(root);
int i=2;
while (!stack.isEmpty()||!stack1.isEmpty()){
//偶数行
if(i%2==0){
while (!stack.isEmpty()) {
TreeNode node = stack.pop();
arrayList.add(node.val);
if (node.left != null)
stack1.push(node.left);
if (node.right != null) stack1.push(node.right);
}
}else {
while (!stack1.isEmpty()) {
TreeNode node = stack1.pop();
arrayList.add(node.val);
if (node.right != null) stack.push(node.right);
if (node.left != null)
stack.push(node.left);
}
}
lists.add(arrayList);
arrayList=new ArrayList<>();
i++;
}
return lists;
}
版权声明:本文为qq_43505820原创文章,遵循CC 4.0 BY-SA版权协议,转载请附上原文出处链接和本声明。