1. 问题描述:
给定一个非空整数数组,找到使所有数组元素相等所需的最小移动数,其中每次移动可将选定的一个元素加1或减1。 您可以假设数组的长度最多为10000。
例如:
输入:
[1,2,3]
输出:
2
说明:
只有两个动作是必要的(记得每一步仅可使其中一个元素加1或减1):
[1,2,3] => [2,2,3] => [2,2,2]
来源:力扣(LeetCode)
链接:https://leetcode-cn.com/problems/minimum-moves-to-equal-array-elements-ii
2. 思路分析:
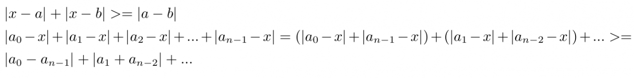
① 设最终所有数字都变为了x,那么移动的最少次数实际上求解的是下图中所示的绝对值不等式,因为最终需要使得步数最少,也即需要使得下图中不等式中的等号成立,所以每一段区间都需要将点取到区间内(可以取到区间端点处),并且只有令x取中位数的时候等号才是成立的,所以我们需要计算出数组中的中位数,然后计算每个数与中位数的差值,将这些差值相加那么就是最终的答案。

② 由①知我们需要求解数组中的中位数,求解中位数可以使用快速选择算法。
3. 代码如下:
from typing import List
class Solution:
def minMoves2(self, nums: List[int]) -> int:
nums.sort()
mid = nums[len(nums) // 2]
res = 0
for x in nums:
res += abs(x - mid)
return res版权声明:本文为qq_39445165原创文章,遵循CC 4.0 BY-SA版权协议,转载请附上原文出处链接和本声明。