本文介绍两篇最新的结合自监督学习和主动学习的方法。
1. PAL
PAL : Pretext-based Active Learning(论文,代码)中提出了一种基于池的主动学习方法,该方法依靠自我监督学习来减少对潜在错误标记数据的依赖,对训练数据的部分错误标记具有鲁棒性,但是对正确标记的数据的提升效果一般。
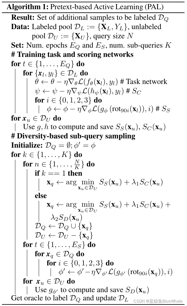
PAL的算法流程如下。可以看到在原本的分类网络训练S C S_CSC的迭代,增加了对自监督的训练S S S_SSS。

2. PT4AL
Using Self-Supervised Pretext Tasks for Active Learning(论文,代码)总体框架如下:未标记的样本按其接口任务损失进行分类,并分成批次。在每个主动学习迭代中,从一批中抽取数据点,并将其交给oracle进行标记。

抽取数据点的策略如下:

其实就是首先通过自监督学习获得每个样本的自监督损失,根据自监督损失排列划分batch,将每个batch输入到模型中,并且根据模型预测的置信度,选择置信度最小的N个样本,作为下一次循环中新标记的样本。
版权声明:本文为weixin_44579633原创文章,遵循CC 4.0 BY-SA版权协议,转载请附上原文出处链接和本声明。