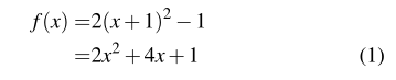
在公式组环境中,使用取消序号命令来编排多行公式,将序号置于最后一行末尾,代码如下:
\begin{align}
f(x) =& 2(x + 1)^{2}-1\nonumber\\
=& 2x^{2} + 4x + 1
\end{align}结果如下:

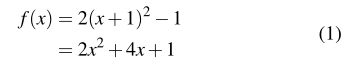
如果想要将序号标注在中间则需要使用以下代码:
\begin{equation}
\begin{split}
f(x) &= 2(x + 1)^{2}-1\\
&= 2x^{2} + 4x + 1
\end{split}
\end{equation}
版权声明:本文为xiaojuzitou原创文章,遵循CC 4.0 BY-SA版权协议,转载请附上原文出处链接和本声明。