NCC(Normalized Cross Correlation)归一化互相关
图像匹配指在已知目标基准图的子图集合中,寻找与实时图像最相似的子图,以达到目标识别与定位目的的图像技术。主要方法有:基于图像灰度相关方法、基于图像特征方法、基于神经网络相关的人工智能方法(还在完善中)。基于图像灰度的匹配算法简单,匹配准确度高,主要用空间域的一维或二维滑动模版进行图像匹配,不同的算法区别主要体现在模版及相关准则的选择方面,但计算量大,不利于实时处理,对灰度变化、旋转、形变以及遮挡等比较敏感;基于图像特征的方法计算量相对较小,对灰度变化、形变及遮挡有较好的适应性,通过在原始图中提取点、线、区域等显著特征作为匹配基元,进而用于特征匹配,但是匹配精度不高。
通常又把基于灰度的匹配算法,称作相关匹配算法。相关匹配算法又分为两类:一类强调景物之间的差别程度如平法差法(SD)和平均绝对差值法(MAD)等;另一类强调景物之间的相似程度,主要算法又分成两类,一是积相关匹配法,二是相关系数法。今天我们就来说说归一化互相关系数法(NCC).
- NCC原理:
假设两幅进行匹配计算的图像中的小图像为g,大小为m×n,大图像为S,大小为M×N.用Sx,y表示S中以(x,y)为左上角点与g大小相同的子块。利用相关系数公式计算实时图和基准图之间的相关系数,得到相关系数矩阵ρ(x,y),通过对相关系数矩阵的分析,判断两幅图像是否相关。
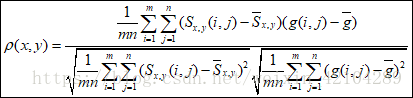
ρ(x,y)的定义为
随机变量X和Y的(Pearson)相关系数)
式中:
是Sx,y和g的协方差;
Dx,y为Sx,y的方差![]()
D为g的方差,![]()
g的灰度均值
图像Sx,y的灰度均值
将Dx,y和D代入式得到:
相关系数满足:
在[-1,1]绝对尺度范围之间衡量两者的相似性。相关系数刻画了两者之间的近似程度的线性描述。一般说来,越接近于1,两者越近似的有线性关系。
2. C++代码实现
Mat image1 = imread("E:xx.tif", IMREAD_GRAYSCALE);
Mat image2 = imread("E:yy.tif", IMREAD_GRAYSCALE);
int overlap = 350;
float pearsonCorrelationCoefficientMax = 0;
int overlapMaxCorrelationCoefficient = 0;
for (int overlap = 350; overlap < 650; overlap += 50)
{
//****************************************//
Mat imageTemp = image2(Rect(0, 0, overlap, image1.rows));
long double tempTotalcount = 0;
long double tempTotalPixel = 0;
for (int i = 0; i < overlap; i++)
{
for (int j = 0; j < image1.rows; j++)
{
tempTotalcount += 1;
//cout << i<<","<<j<<":"<<int(imageTemp.at<uchar>(j,i)) << ",";
tempTotalPixel += float(imageTemp.at<uchar>(j, i));
}
cout << endl;
}
float tempAvg = tempTotalPixel / tempTotalcount;
//**************************************//
long double tempSubstract = 0;
for (int i = 0; i < overlap; i++)
{
for (int j = 0; j < image1.rows; j++)
{
long double tempSquare = (long double(imageTemp.at<uchar>(j, i)) - tempAvg)* (long double(imageTemp.at<uchar>(j, i)) - tempAvg);
tempSubstract = tempSubstract + tempSquare;
}
cout << endl;
}
float tempVariance = sqrt(tempSubstract / tempTotalcount);
//***********************************************//
Mat imageBase = image1(Rect(image1.cols-overlap, 0, overlap, image1.rows));
int baseTotalcount = 0;
int baseTotalPixel = 0;
for (int i = 0; i < overlap; i++)
{
for (int j = 0; j < image1.rows; j++)
{
baseTotalcount += 1;
//cout << i<<","<<j<<":"<<int(imageTemp.at<uchar>(j,i)) << ",";
baseTotalPixel += float(imageBase.at<uchar>(j, i));
}
cout << endl;
}
float baseAvg = baseTotalPixel / baseTotalcount;
//*****************************************//
long double baseSubstract = 0;
for (int i = 0; i < overlap; i++)
{
for (int j = 0; j < image1.rows; j++)
{
long double baseSquare = (long double(imageBase.at<uchar>(j, i)) - baseAvg)* (long double(imageBase.at<uchar>(j, i)) - baseAvg);
baseSubstract = baseSubstract + baseSquare;
}
cout << endl;
}
float baseVariance = sqrt(baseSubstract / baseTotalcount);
//***************************************//
long double dotMul = 0;
for (int i = 0; i < overlap; i++)
{
for (int j = 0; j < image1.rows; j++)
{
dotMul += abs((long double(imageBase.at<uchar>(j, i)) - baseAvg)*(long double(imageTemp.at<uchar>(j, i)) - tempAvg));
}
cout << endl;
}
float dotMulAvg = dotMul / baseTotalcount;
float pearsonCorrelationCoefficient=dotMulAvg / (baseVariance*tempVariance);
if (pearsonCorrelationCoefficientMax < pearsonCorrelationCoefficient)
{
pearsonCorrelationCoefficientMax = pearsonCorrelationCoefficient;
overlapMaxCorrelationCoefficient = overlap;
}
}
cout << "最大相关系数" << pearsonCorrelationCoefficientMax << endl;
cout << "最大相关系数时重叠区域" << overlapMaxCorrelationCoefficient << endl;
版权声明:本文为weixin_42104289原创文章,遵循CC 4.0 BY-SA版权协议,转载请附上原文出处链接和本声明。