类(Class)
面向对象编程中,类是对象的骨架,它了包含3个组成部分。第一个是Java中定义的类名。第二个是属性(attributes)。第三个是该类提供的方法。
对于标准的UML类图,他的第一行表示类的名称,第二行是类的属性,也就是它的成员变量,第三行表示类的方法。当然,他们都是有可见范围的。在UML类图中,加号(+)表示具有公共可见性(public)。减号(-)表示私有可见性(private)。#号表示受保护的可见性(protected)。省略这些修饰符表示具有package(包)级别的可见性。如果属性或操作具有下划线,表明它是静态的。在操作中,可同时列出它接受的参数,以及返回类型,如图:

对应的Java代码如下:
public class Animal {
public String name;
private int age;
protected String trueName;
String sex;
public String getName() {
return name;
}
private void setName(String name) {
this.name = name;
}
}接口(Interface)
接口是一系列操作的集合,它指定了一个类所提供的服务。它直接对应于Java中的一个接口类型。接口既可用下图的那个图标来表示,也可由附加了<<interface>>的一个标准类来表示。通常,根据接口在类图上的样子,就能知道与其他类的关系。

对应的Java代码如下:
public interface CollegePerson {
public void getSchedule();
}
关系
后面的例子将针对某个具体目的来独立地展示各种关系。虽然语法无误,但这些例子可进一步精炼,在它们的有效范围内包括更多的语义。
依赖(Dependency)
实体之间一个“使用”关系暗示一个实体的规范发生变化后,可能影响依赖于它的其他实例。更具体地说,它可转换为对不在实例作用域内的一个类或对象的任何类型的引用。其中包括一个局部变量,对通过方法调用而获得的一个对象的引用(如下例所示),或者对一个类的静态方法的引用(同时不存在那个类的一个实例)。也可利用“依赖”来表示包和包之间的关系。由于包中含有类,所以你可根据那些包中的各个类之间的关系,表示出包和包的关系。

对应Java代码如下:(后面使用了模版方法模式,所以这句话不需要再写了)
public class Animal {
public void drink(Water water){
System.out.println("drink water");
}
}
public class Water {
}
关联(Association)
实体之间的一个结构化关系表明对象是相互连接的。箭头是可选的,它用于指定导航能力。如果没有箭头,暗示是一种双向的导航能力。在Java中,关联转换为一个实例作用域的变量,就像图E的“Java”区域所展示的代码那样。可为一个关联附加其他修饰符。多重性(Multiplicity)修饰符暗示着实例之间的关系。在示范代码中,Employee可以有0个或更多的TimeCard对象。但是,每个TimeCard只从属于单独一个Employee。

public class TimeCard {
}public class Employee {
private TimeCard timeCard;
//...
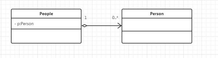
}聚合(Aggregation)
聚合是关联的一种形式,代表两个类之间的整体/局部关系。聚合暗示着整体在概念上处于比局部更高的一个级别,而关联暗示两个类在概念上位于相同的级别。聚合也转换成Java中的一个实例作用域变量。

public class People {
private Person p;
}public class Person{
}
合成(Composition)
合成是聚合的一种特殊形式,暗示“局部”在“整体”内部的生存期职责。合成也是非共享的。所以,虽然局部不一定要随整体的销毁而被销毁,但整体要么负责保持局部的存活状态,要么负责将其销毁。局部不可与其他整体共享。但是,整体可将所有权转交给另一个对象,后者随即将承担生存期职责。

public class People {
private Person p;
private Person p2;
}泛化(Generalization)
泛化表示一个更泛化的元素和一个更具体的元素之间的关系。泛化是用于对继承进行建模的UML元素。在Java中,用 extends 关键字来直接表示这种关系。

public class Animal {
public void drink(Water water){
System.out.println("drink water");
}
}public class Cat extends Animal{
@Override
public void drink(Water water) {
super.drink(water);
}
}
实现(Realization)
实例关系指定两个实体之间的一个合同。换言之,一个实体定义一个合同,而另一个实体保证履行该合同。对Java应用程序进行建模时,实现关系可直接用implements关键字来表示。

public interface Animal {
public void drink();
}public class Cat implements Animal{
@Override
public void drink() {
}
}