主要内容:
- 什么是数据标准化?在Python中如何进行数据标准化?
一、Z标准化:实现中心化和正态分布;
二、Min-Max:归一化;
三、MaxAbs:最大绝对值标准化;
四、RobustScaler。
- Python实例
z-score;
Min-Max;
MaxAbs;
RobustScaler。
数据标准化是数据预处理中非常重要的一步。在实际应用过程中,我们经常会遇到含有多种特征的数据集,这些特征常常有着不同的分布形态和区间,有着不同的量级(量纲),这很容易对我们的模型训练产生影响。而数据标准化,就是为了消除规模、特征和分布差异对模型的影响而存在。
另外,将各特征标准化之后,我们可以对其进行加权组合,从而生成新的指标,而原始数据往往不支持我们直接进行加权计算。
那么今天我们就来看一下,有哪些数据标准化的方法,以及它们分别如何在Python中实现。
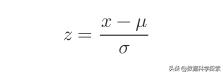
一、Z标准化:实现中心化和正态分布
Z-Score标准化是基于原始数据的均值和标准差进行的标准化,其转化公式为:

其中,z是转化后的数据,x为转化前的数据,μ是整组数据的均值,σ是整组数据的标准差。
这种方法适合大多数类型的数据,其应用非常广泛。从公式里我们就可以看出来,转化之后其均值将变为0,而方差和标准差将变为1(考虑方差的公式),这部分如果不明白那就不妨在本子上推理一下哦。
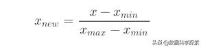
二、Min-Max:归一化
Min-Max标准化方法会对原始数据进行线性变换,它的转换公式为:

很明显,当x为最大值时,会被转换为1;当x为最小值时,对应的新值为0;整组数据会分布在从0到1的区间内,而数据的分布形态并不会发生变化。
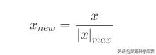
三、MaxAbs:最大绝对值标准化
在数据科学中,我们经常需要应对稀疏数据,MaxAbs方法对于稀疏数据有着良好的支持。MaxAbs标准化方法与Min-Max方法有些相似,其公式为:

即用每一个值除以整组数据中的绝对值的最大值,这样保留了原有数据的正负属性,且使数据落在了[-1,1]闭区间内。需要注意的是,先进行绝对值操作,然后选最大值,而不是先选择最大值,再求绝对值。我已经看到过很多文章把这里弄错了。举个例子,有一组数据[-0.01, -1, -2],如果我们先求最大值再求绝对值,别说归一化了,数据简直要钻到地缝里去了。
四、RobustScaler
有些时候,数据中会存在离群点(异常值)。这时如果我们使用z-score标准化就会导致数据很容易失去离群特征。这时我们就可以使用RobustScaler方法,它对于数据中心化和数据的缩放健壮性有着更强的参数调节能力。
Python实例
多说无益,放码过来,我们先导入必要的库、iris数据集,并进行一些必要的设置。
import numpy as np
import pandas as pd
from sklearn import preprocessing
import matplotlib.pyplot as plt
import matplotlib as mpl
import seaborn as sns
from seaborn import load_dataset
sns.set()
mpl.rcParams['font.family'] = 'sans-serif'
mpl.rcParams['font.sans-serif'] = 'SimHei'
iris = load_dataset('iris').drop('species', axis=1)
iris.head()

我们先观察下前两列数据的原始分布情况:
sns.jointplot(data=iris, color='m',
x='sepal_length',
y='sepal_width');

Z-score
我们先来演示z标准化。
z_scaler = preprocessing.StandardScaler()
iris_z = z_scaler.fit_transform(iris)
iris_z = pd.DataFrame(iris_z)
sns.jointplot(data=iris_z, color='m', x=0, y=1);
可以看到,数据分布形态变化不大,但是数据收敛到了0轴周围。

我们看一下转换后数据的均值和标准差:

可以看到,虽然有一点点小误差(量级非常小),但是数据基本上是符合均值为0、标准差为1的。
Min-Max标准化
然后是Min-Max归一化方法:
mm_scaler = preprocessing.MinMaxScaler()
iris_mm = mm_scaler.fit_transform(iris)
iris_mm = pd.DataFrame(iris_mm)
sns.jointplot(data=iris_mm, color='m', x=0, y=1);

这次我们在保持原有数据分布特性的同时,将数据收敛到了0到1之间。
MaxAbs标准化
ma_scaler = preprocessing.MaxAbsScaler()
iris_ma = ma_scaler.fit_transform(iris)
iris_ma = pd.DataFrame(iris_ma)
sns.jointplot(data=iris_ma, color='m', x=0, y=1);

由于iris数据集里没有负值,所以这里不能体现出[-1,1]的数据范围。我们为数据增加一些负值来看看:
iris_ma = pd.concat([iris_ma, iris_ma.applymap(lambda x: -x)])
sns.jointplot(data=iris_ma, color='m', x=0, y=1);

果然是[-1,1]呢,不过我们这里的操作只是为了演示,没有额外的意义。
RobustScaler
r_scaler = preprocessing.RobustScaler()
iris_r = ma_scaler.fit_transform(iris)
iris_r = pd.DataFrame(iris_r)
sns.jointplot(data=iris_r, color='m', x=0, y=1);

嗯……看起来跟MaxAbs没什么区别,这是因为这里不存在什么异常值。这个就留给你们自己来练习一下了!
以上是使用sklearn提供的标准化工具进行数据标准化的操作,事实上,我们也完全可以自己创造一些标准化工具,实际操作起来并不难哦,大家可以尝试一下。