【软考系统架构设计师】2019年下系统架构师综合知识历年真题
2019年下系统架构师综合知识历年真题
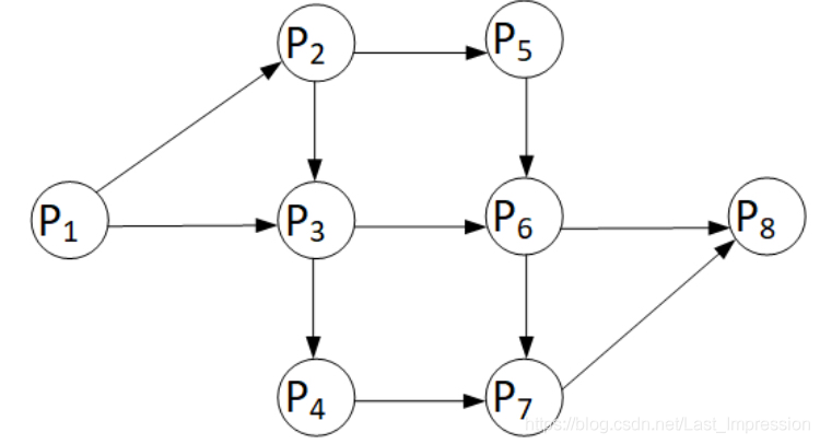
【2019下架构真题第01题:绿色】
01.前趋图(Precedence Graph)是一个有向无环图,记为:→={ (Pi,Pj) |Pi must complete before Pj may start}。假设系统中进程 P={P1,P2,P3,P4 ,P5 ,P6,P7,P8} ,且进程的前趋图如下:
那么,该前驱图可记为( )。
A.(P1,P2),(P1,P3),(1,5),(2,4),(3,5),(4,7),(5,6),(6,7),(7,8),(6,8)
B.(1,2),(3,1),(4,1),(5,2),(5,3),(6,4),(7,5),(7,8),(6,8),(7,8)
C.(1,2),(1,3),(1,4),(2,5),(3,6),(4,7),(5,6),(6,7),(6,8),(7,8)
D.(1,2),(1,3),(2,3),(2,5),(3,6),(3,4),(4,7),(5,6),(6,7),(6,8),(7,8)
解答:答案选择D。
- 本题考查前趋图,该图的标记方法是将图中各条边的起始记录好,以便描述这个图。
以本题的图为例,由于P1有箭头指向P2,所以有(P1,P2),又由于P1有指向P3的箭头,所以有(P1,P3)。 - 依次类推可得到完整的集合与D选项一致。
【2019下架构真题第02题:绿色】
02.进程P有8个页面,页号分别为0~7,页面大小为4K ,假设系统给进程P分配了4个存储块,进程P的页面变换表如下所示。表中状态位等于1和0分别表示页面在内存和不在内存。若进程P要访问的逻辑地址为十六进制 5148H,则该地址经过变换后, 其物理地址应为十六进制( );如果进程P要访问的页面6不在内存,那么应该淘汰页号为( )的页面。
A.3148H
B.5148H
C.7148H
D.9148H
》
A.1
B.2
C.5
D.9
解答:答案选择A|B。本题考查操作系统存储管理方面的基础知识。
- 根据题意,页面大小为4K,逻辑地址为十六进制5148H其页号为5,页内地址为148H,查页表后可知页帧号(物理块号)为3,该地址经过变换后,其物理地址应为页帧号3拼上页内地址148H,即十六进制3148H。
- 试题第二空的正确选项为B。根据题意,页面变换表中状态位等于1和0分别表示页面在内存或不在内存,所以1、2、5和7号页面在内存。当访问的页面6不在内存时,系统应该首先淘汰未被访问的页面,因为根据程序的局部性原理最近未被访问的页面下次被访问的概率更小;如果页面最近都被访问过,应该先淘汰未修改过的页面。因为未修改过的页面内存与辅存一致,故淘汰时无须写回辅存,使系统页面置换代价小。经上述分析,1、5和7号页面都是最近被访问过的,但2号页面最近未被访问过,故应该淘汰2号页面。
【2019下架构真题第03题:绿色】
03.在网络操作系统环境中,若用户User A的文件或文件夹被共享后,则( )。
A.UserA的安全性和未共享时相比将会有所提高
B.UserA的安全性和未共享时相比将会有所下降
C. UserA的可靠性和未共享时相比将会有所提高
D. UserA的方便性和未共享时相比将会有所下降
解答:答案选择B。本题考查的是操作系统安全的内容。
- 根据题干描述,用户A的文件或者文件夹被共享,此时其他用户可以访问该文件,方便性有所提高。但此时其他用户可能会修改或删除该文件,所以安全性和可靠性都有所下降,
- 综上所述,本题应该选择B选项,A、C、D的说法都是错误的。
【2019下架构真题第04题:红色】
04.数据库的安全机制中,通过提供( )第三方开发人员调用进行数据更新 ,从而保证数据库的关系模式不被第三方所获取。
A.索引
B.视图
C.存储过程
D.触发器
解答:答案选择C。本题考查的是数据库基础知识。
- 索引是数据库中提高查询效率的一种机制,不能进行数据更新。
- 视图一般是提供查询数据的,具有一定安全机制,但是不能进行数据更新。
- 触发器可以作为更新机制,但是无法避免数据库的关系模式被第三方所获取,并不安全。
- 存储过程方式,可以定义一段代码,从而提供给用户程序来调用,具体更新过程通过代码调用,避免了向第三方提供系统表结构的过程,体现了数据库的安全机制。所以本题选择C选项。
【2019下架构真题第05题:黄色】
05.给出关系R(U,F),U={A,B,C,D,E} ,F ={A→BC,B→D,D→E} 。以下关于F说法正确的是( )。若将关系R分解为ρ = {R1(U1,F1), R2(U2,F2)}, 其中:U1={A,B,C} 、U2 = {B,D,E} ,则分解ρ( )。
A.F蕴含A->B,A->C,但F不存在传递依赖
B.F蕴含E->A,A->C,故F存在传递依赖
C.F蕴含A->D,E->A,A->C,但F不存在传递依赖
D.F蕴含A->D,A->E,B->E,故F存在传递依赖
》
A.无损连接并保持函数依赖
B.无损连接但不保持函数依赖
C.有损连接并保持函数依赖
D. 有损连接但不保持函数依赖
解答:答案选择D|A。蒙对。本题考查数据库规范化理论相关知识。
- 第一空选择D选项。
对于A选项,根据Armstrong推理分解规则,A→BC,可以得到A→B,A→C。所以A选项的前半句描述是正确的。但根据A→B,B→D,D→E,此时存在传递函数依赖,所以A选项的后半句描述错误,所以A选项错误。
对于B选项,无法得到E→A,故该选项描述错误。
对于C选项,无法得到E→A,并且集合中存在传递函数依赖,所以C选项描述错误。
对于D选项,根据A选项的分析过程,A→B,B→D,D→E,根据传递律,可以得到A→D,A→E,B→E,并且存在传递函数依赖,所以D选项说法正确。 - 第二空选择A选项。
根据提干描述,原关系模式为:U={A,B,C,D,E} ,F ={A→BC,B→D,D→E}
将关系R分解为ρ = {R1(U1,F1), R2(U2,F2)}, 其中:U1={A,B,C} 、U2 = {B,D,E} 。
首先根据U1,保留函数依赖A→BC,然后根据U2,保留函数依赖B→D,D→E。因此该分解保持函数依赖。
接下来可以利用公式法验证无损分解。
U1∩U2=B,U1-U2={A,C},U2-U1={D,E},而R中存在函数依赖B→D,B→E,所以该分解是无损分解。
【2019下架构真题第06题:黄色】
06.分布式数据库系统除了包含集中式数据库系统的模式结构之外,还增加了几个模式级别,其中( )定义分布式数据库中数据的整体逻辑结构,使得数据使用方便,如同没有分布一样。
A.分片模式
B.全局外模式
C.分布模式
D.全局概念模式
解答:答案选择D。
- 全局外模式:是对分布式数据库的最高层的抽象。
- 全局概念模式:是分布式数据库的整体抽象,包含了系统中全部数据的特性和逻辑结构,描述分布数据库全局数据的逻辑结构,是分布式数据库的全局概念视图。本题描述的是全局概念模式。
- 分片模式:描述全局数据逻辑划分的视图,是全局数据的逻辑结构根据条件的划分;每一个逻辑划分就是一个片段或称为分片。
- 分配模式(分布模式):描述局部逻辑的局部物理结构是划分后的片段(或分片)的物理分配视图;是全局概念层的内容
- 局部概念层,由局部概念模式描述,是全局概念模式的子集;全局概念模式经逻辑划分后被分配在各局部场地上。
【2019下架构真题第07题:红色】
07.安全攸关系统在软件需求分析阶段,应提出安全性需求。软件安全性需求是指通过约束软件的行为,使其不会出现( )。软件安全需求的获取是根据已知的( ),如软件危害条件等以及其他一些类似的系统数据和通用惯例,完成通用软件安全性需求的裁剪和特定软件安全性需求的获取工作。
A.不可接受的系统安全的行为
B.有可能影响系统可靠性的行为
C.不可接受的违法系统的安全的行为
D.系统不安全的事故
》
A.系统信息
B.系统属性
C.软件属性
D.代码信息
解答:答案选择C|A。
- 安全攸关系统:是指系统失效会对生命或者健康构成威胁的系统,存在于航空航天、汽车、轨道交通等领域,对安全性要求很高。
通常在需求分析阶段就必须考虑安全性需求了。 - 安全性需求:是指通过约束软件的行为,使其不会出现不可接受的违反系统安全的行为需求。第一空选择C选项。选项A中,不会出现系统安全的行为,这种说法本身就是错误的;B选项是对可靠性的说明;D选项事故是系统不安全的后果。
- 需求本身就是根据已知的系统信息来进行获取的,所以第二空选择A选项,系统信息
【2019下架构真题第08题:黄色】
08.某嵌入式实时操作系统采用了某种调度算法,当某任务执行接近自己的截止期(deadline)时,调度算法将把该任务的优先级调整到系统最高优先级,让该任务获取CPU资源运行。请问此类调度算法是( )。
A.优先级调度算法
B.抢占式优先级调度算法
C.最晚截止期调度算法
D.最早截止期调度算法
解答:答案选择C。本题考查的是嵌入式操作系统调度算法。
- 实时系统存在多种调度算法。
- A选项优先级调度算法:系统为每个任务分配一个相对固定的优先顺序,然后调度程序根据优先级的高低排序,按时间顺序进行高优先级任务优先调度。
- B选项抢占式优先级调度算法:是在优先级调度算法基础上,允许高优先级任务抢占低优先级任务而运行。
- C选项最晚截止期调度算法:指调度程序按每个任务的最接近其截止期末端的时间进行调度,本题描述的就是最晚截止期调度算法。
- D选项最早截止期调度算法:指调度程序按每个任务的截止期时间,选择最早到截止期头端时间的任务进行调度。
【2019下架构真题第09题:黄色】
09.混成系统是嵌入式实时系统的一种重要的子类。以下关于混成系统的说法中,正确的是( )。
A.混成系统一般由离散分离组件并行组成,组件之间的行为由计算模型进行控制
B. 混成系统一般由离散分离组件和连续组件并行或者串行组成,组件之间的行为由计算模型进行控制
C.混成系统一般由连续组件串行组成,组件之间的行为由计算模型进行控制
D. 混成系统一般由离散分离组件和连续组件并行或者串行组成,组件之间的行为由同步异步事件进行管理。
解答:答案选择B。蒙对
- 混成系统:一般由离散分离组件和连续组件并行或串行组成,组件之间的行为由计算模型进行控制。
- 选项A只提到离散组件,缺少对连续组件的描述,是错误的。
- B选项是正确的描述,本题选择B选项。
- C选项缺少对离散组件的描述,只提到连续组件,所以是错误的。
组件之间的行为应该是由计算模型进行控制,D选项描述是错误的。同步/异步事件是任务通信机制的一种,与计算模型并不等价。
【2019下架构真题第10题:红色】
10.TCP端口号的作用是( )
A.流量控制
B.ACL过滤
C.建立连接
D.对应用层进程的寻址
解答:答案选择C。本题考查的是TCP协议。
- TCP协议是可靠的传输层协议,会建立连接,并且可以进行流量控制,但这些不是TCP端口号的作用。因此A、C选项描述错误。
- ACL过滤:访问控制列表(Access Control List,ACL) 是路由器和交换机接口的指令列表,用来控制端口进出的数据包。ACL适用于所有的被路由协议,如IP、IPX、AppleTalk等。于TCP端口无直接关联。因此B选项错误。
- TCP协议可以依据端口号将报文交付给上层的某一进程,可以对应用层进程进行寻址。
【2019下架构真题第11题:黄色】
11.Web页面访问过程中,在浏览器发出HTTP请求报文之前不可能执行的操作是( )。
A.查询本机DNS缓存,获取主机名对应的IP地址
B.发起DNS请求,获取主机名对应的IP地址
C.送请求信息,获取将要访问的Web应用
D.发送ARP协议广播数据包,请求网关的MAC地址
解答:答案选择C。蒙对。
- 在浏览器发出HTTP请求报文【之前】不可能执行的操作是什么。而C选项是已经发送请求信息了,所以选择C选项。
- 其中A、B、D选项都是在浏览器发出HTTP请求报文之前可以执行的操作。
【2019下架构真题第12题:红色】
12.以下关于DHCP服务的说法中,正确的是( )
A.在一个园区中可以存在多台DHCP服务器
B.默认情况下,客户端要使用DHCP服务需要制定DHCP服务器。
C.默认情况下,DHCP客户端选择本网段内的IP地址作为本地地址
D.在DHCP服务器上,DHCP服务功能默认开启
解答:答案选择A。
- 因为客户端要自动获取IP,此时并不知道DHCP服务器在哪,所以B选项有误。
- DHCP服务可以服务于一个网段,也可以通过DHCP中继服务多个子网,所以C选项有误。
- 在DHCP服务器上,DHCP服务功能需要主动开启,不是默认开启的,所以D选项错误。
- 在一个网段中可以配置多台DHCP服务器,答案选A。
【2019下架构真题第13题:黄色】
13.通常用户采用评价程序来评价系统的性能,评测准确度最高的评价程序是( )。在计算机性能评估中,通常将评价程序中用得最多、最频繁的( )作为评价计算机性能的标准程序,称其为基准测试程序。
A.真实程序
B.核心程序
C.小型基准程序
D.核心基准程序
解答:答案选择A|B。第二空错。本题是对性能评价方法的考查。
- 真实程序、核心程序、小型基准程序和合成基准程序,其评测准确程度依次递减。 其中评测准确性最高的是真实程序,第一空选择A选项。
- 把应用程序中用得最多、最频繁的那部分核心程序作为评估计算机系统性能的标准程序,称为基准测试程序(benchmark)。基准程序法是目前一致承认的测试系统性能的较好方法。 因此第二空选择B选项。
【2019下架构真题第14题:黄色】
14.信息系统规划方法中,关键成功因素法通过对关键成功因素的识别,找出实现目标所需要的关键信息集合,从而确定系统开发的( )。关键成功因素来源于组织的目标,通过组织的目标分解和关键成功因素识别、( )识别,一直到产生数据字典 。
A.系统边界
B.功能指标
C.优先顺序
D.性能指标
解答:答案选择C|D。本题考查的是信息系统总体规划方法论中的关键成功因素法。
- 关键成功因素法(CSF):通过分析找出使得企业成功的关键因素,然后再围绕这些关键因素来确定系统的需求,并进行规划。基本思想在现行系统中,总存在着多个变量影响系统目标的实现,其中若干个因素是关键的和主要的(即关键成功因素)。
- 通过对关键成功因素的识别,找出实现目标所需的关键信息集合,从而确定系统开发的优先次序。
- 关键成功因素来自于组织的目标,通过组织的目标分解和识别关键成功因素识别、性能指标识别,一直到产生数据字典。
【2019下架构真题第15题:黄色】
15.系统应用集成构建统一标准的基础平台,在各个应用系统的接口之间共享数据和功能,基本原则是保证应用程序的( )。系统应用集成提供了4 个不同层次的服务, 最上层服务是( )服务
A.独立性
B.相关性
C.互操作性
D.排他性
》
A.通信
B.信息传递与转化
C.应用连接
D.流程控制
解答:答案选择A|D。两题都蒙对。
- 本题考查的是EAI(Enterprise Application Integration,系统应用集成)相关概念。
- EAI构建统一标准的基础平台,将进程、软件、标准和硬件联合起来,连接具有不同功能和目的而又独自运行的企业内部的应用系统,以达到信息和流程的共享,使企业相关应用整合在一起。
- EAI就是在各个应用系统的接口之间共享数据和功能。EAI的基本原则就是集成多个系统并保证系统互不干扰,也就是独立性。因此第一空选择A选项独立性。排他性一般理解为不能共存,因此在这里并不合适。
- EAI的终极目标就是将多个企业和企业内部的多个应用集成到一个虚拟的、统一的应用系统中。因此实施EAI必须遵循如下原则:应用程序的独立性;面向商业流程;独立于技术;平台无关。
- EAI提供4个层次的服务,从下至上依次为通讯服务、信息传递与转化服务、应用连接服务、流程控制服务,最上层是流程控制服务,第二空选择D选项
【2019下架构真题第16题:绿色】
16.按照传统的软件生命周期方法学,可以把软件生命周期划分为软件定义、软件开发和( )三个阶段。其中,可行性研究属于( )阶段的主要任务 。
A.软件运行与维护
B.软件对象管理
C.软件详细设计
D.问题描述
》
A.软件定义
B.软件开发
C.软件评估
D.软件运行与维护
解答:答案选择A|A。本题考查的是系统开发基础知识中关于软件生命周期的内容。
- 按照传统的软件生命周期方法学,可以把软件生命周期划分为软件定义、软件开发、软件运行与维护三个阶段。第一空选择A选项。
- 软件定义包括可行性研究和详细需求分析过程,任务是确定软件开发工程必须完成的总目标。第二空选择A选项。
- 软件开发时期就是软件的设计与实现,可分为概要(总体)设计、详细设计、编码、测试等。
- 软件运行就是把软件产品移交给用户使用。软件投入运行后的主要任务是使软件持久满足用户的要求。
- 软件维护是对软件产品进行修改或对软件需求变化做出响应的过程,也就是尽可能地延长软件的寿命。
- 当软件已没有维护的价值时,宣告退役,软件生命随之宣告结束。
【2019下架构真题第17题:绿色】
17.需求变更管理是需求管理的重要内容。需求变更管理的过程主要包括问题分析和变更描述、( )、变更实现。具体来说,在关于需求变更管理的描述中,( )是不正确的 。
A.变更调研
B.变更判定
C.变更定义
D.变更分析和成本计算
》
A.需求变更要进行控制 严格防止因失控而导致项目混乱,出现重大风险
B.需求变更对软件项目开发有利无弊
C.需求变更通常按特定的流程进行
D.在需求变更中,变更审批由CCB负责
解答:答案选择D|B。
- 在需求管理过程中需求的变更是受严格管控的,其流程为:
1、问题分析和变更描述
这是识别和分析需求问题或者一份明确的变更提议,以检查它的有效性,从而产生一个更明确的需求变更提议。
2、变更分析和成本计算
使用可追溯性信息和系统需求的一般知识,对需求变更提议进行影响分析和评估。变更成本计算应该包括对需求文档的修改、系统修改的设计和实现的成本。一旦分析完成并且确认,应该进行是否执行这一变更的决策。
3、变更实现
这要求需求文档和系统设计以及实现都要同时修改。如果先对系统的程序做变更,然后再修改需求文档,这几乎不可避免地会出现需求文档和程序的不一致。
第二空,需求变更对软件项目开发带来各方面的影响,所以是有利有弊的,而不是有利无弊,B选项的说法是错误的。其他选项的说法都是正确的。
【2019下架构真题第18题:绿色】
18.软件开发工具是指用于辅助软件开发过程活动的各种软件,其中,( )是辅助建立软件系统的抽象模型的,例如Rose、Together、WinA&D 、( )等。
A.编程工具
B.测试工具
C.设计工具
D.建模工具
》
A.LoadRunner
B.QuickUML
C.Delphi
D.WinRunner
解答:答案选择D|B。本题考查的是软件开发工具。
- 软件开发工具是指用于辅助软件开发过程活动的各种软件。
其中,软件建模工具可以辅助建立软件系统的抽象模型。
【2019下架构真题第19题:黄色】
19.软件概要设计将软件需求转化为软件设计的( )和 软件的( )。
A.算法流程
B.数据结构
C.交互原型
D.操作接口
》
A.系统结构
B.算法流程
C.内部接口
D.程序流程
解答:答案选择B|A。第一空错
传统软件工程方法学采用结构化设计方法(SD),从工程管理角度结构化设计分为两步:
①概要设计:讲软件需求转化为数据结构和软件系统结构。
②详细设计:过程设计,通过对结构细化,得到软件详细数据结构和算法。
【2019下架构真题第20题:黄色】
20.软件结构化设计包括( )。
A.架构设计,数据设计,过程设计,原型设计
B.架构设计,过程设计,程序设计,原型设计
C.数据设计,过程设计,交互设计,程序设计
D.架构设计,接口设计,数据设计,过程设计
解答:答案选择D。蒙对。本题考查的是软件设计的知识内容。
- 软件设计包括体系结构设计、接口设计、数据设计和过程设计。本题选择D选项。
- 体系结构设计:定义软件系统各主要部件之间的关系。
- 数据设计:将模型转换成数据结构的定义。好的数据设计将改善程序结构和模块划分,降低过程复杂性。
- 接口设计(人机界面设计):软件内部,软件和操作系统间以及软件和人之间如何通信。
- 过程设计:系统结构部件转换成软件的过程描述。确定软件各个组成部分内的算法及内部数据结构,并选定某种过程的表达形式来描述各种算法。
【2019下架构真题第21题:黄色】
21.关于模块化设计,( )是错误的。
A.模块是指执行某一特定任务的数据结构和程序代码
B.模块的接口和功能定义属于其模块自身的内部特征
C.每个模块完成相对独立的子功能,与其他模块之间的关系最简单。
D.模块设计的重要原则是高内聚,低耦合
解答:答案选择B。蒙对。本题考查的是结构化设计。
- 模块的接口是模块与其他模块进行交互的部分,所以接口的定义不仅仅属于其模块自身的内部特性,与外部模块也具有相关性。B选项的描述是错误的。
【2019下架构真题第22题:黄色】
22.基于构件的软件开发中,构件分类方法可以归纳为三大类:( )根据领域分析的结果将应用领域的概念按照从抽象到具体的顺序逐次分解为树形或有向无回路图结构 ;( )利用Facet描述构件执行的功能、被操作的数据、构件应用的语境或任意其他特征;( )使得检索者在阅读文档过程中可以按照人类的联想思维方式任意跳转到包含相关概念或构件的文档。
A.关键字分类法
B.刻面分类法
C.语义匹配法
D.超文本方法
解答:答案选择A|B|D。第一空错。本题考查的是构件管理相关知识。重要考点。
- 目前,已有的构件分类方法可以分为三大类,分别是关键字分类法、刻面分类法和超文本组织方法。
- 关键字分类法:是一种最简单的构件库组织方法,其基本思想是:根据领域分析的结果将应用领域的概念按照从抽象到具体的顺序逐次分解为树状或有向无回路图结构。每个概念用一个描述性的关键字表示。不可分解的原子级关键字包含隶属于它的某些构件。第一空描述的是关键字分类法,选择A选项。
- 刻面分类法:在刻面分类机制中,定义若干用于刻画构件特征的“面”(facet),每个面包含若干概念,这些概念表述构件在面上的特征。刻画可以描述构件执行的功能、被操作的数据、构件应用的语境或任意其他特征。第二空描述的是刻面分类法,选择B选项。
- 超文本组织方法:超文本组织方法与基于数据库系统的构件库组织方法不同,它基于全文检索技术,主要思想是:所有构件必须辅以详尽的功能或行为说明文档;说明中出现的重要概念或构件以网状链接方式相互连接;检索者在阅读文档的过程中可按照人类的联系思维方式任意跳转到包含相关概念或构件的文档;全文检索系统将用户给出的关键字与说明文档中的文字进行匹配,实现构件的浏览式检索。第三空描述的是超文本方法,选择D选项。
【2019下架构真题第23题:红色】
23.构件组装是指将库中的构件经适当修改后相互连接构成新的目标软件。( )不属于构件组装技术。
A.基于功能的构件组装技术
B.基于数据的构件组装技术
C.基于实现的构件组装技术
D.面向对象的构件组装技术
解答:答案选择C。这题错了不应该。本题考查的是构件相关知识。
- 构件组装是指将构件库中的构件经过适当修改后相互连接,或者将它们与当前开发项目中的构件元素相连接,最终构成新的目标软件。
- 构件组装技术大致可分为基于功能的组装技术、基于数据的组装技术和面向对象的组装技术。本题C选项不属于构件组装技术
【2019下架构真题第24题:黄色】
24.软件逆向工程就是分析已有的程序,寻求比源代码更高级的抽象表现形式。在逆向工程导出信息的四个抽象层次中,( )包括反映程序各部分之间相互依赖关系的信息; ( )包括反映程序段功能及程序段之间关系的信息。
A.实现集
B.结构集
C.功能集
D.领域集
解答:答案选择B|C。错了一空。
- 逆向工程导出的信息可分为如下4个抽象层次。
① 实现级:包括程序的抽象语法树、符号表等信息。
② 结构级:包括反映程序分量之间相互依赖关系的信息,例如调用图、结构图等。本题第一空描述的是结构级,选择B选项。
③ 功能级:包括反映程序段功能及程序段之间关系的信息。本题第二空描述的是功能级,选择C选项。
④ 领域级:包括反映程序分量或程序与应用领域概念之间对应关系的信息
【2019下架构真题第25题:绿色】
25.( )是在逆向工程所获取信息的基础上修改或重构已有的系统,产生系统的一个新版本。
A.逆向分析
B.重组
C.设计恢复
D.重构工程
解答:答案选择D。
- 所谓软件的逆向工程就是分析已有的程序,寻求比源代码更高级的抽象表现形式。一般认为,凡是在软件生命周期内将软件某种形式的描述转换成更为抽象形式的活动都可称为逆向工程。
与之相关的概念是:
- 重组(restructuring),指在同一抽象级别上转换系统描述形式;
- 设计恢复(design recovery),指借助工具从已有程序中抽象出有关数据设计、总体结构设计和过程设计的信息(不一定是原设计)。
- 重构/再工程(re-engineering),也称修复和改造工程,它是在逆向工程所获信息的基础上修改或重构已有的系统,产生系统的一个新版本。
- 本题描述的是重构工程,选择D选项。
【2019下架构真题第26题:红色】
26.软件性能测试有多种不同类型的测试方法,其中,( )用于测试在限定的系统下考查软件系统极限运行的情况,( )可用于测试系统同时处理的在线最大用户数量。
A.强度测试
B.负载测试
C.压力测试
D.容量测试
解答:答案选择A|D。本题考查的是测试相关知识。
- 根据测试目的不同,性能测试主要包括压力测试、负载测试、并发测试和可靠性测试等。
- 强度测试:是在系统资源特别低的情况下考查软件系统极限运行情况。本题第一空选择A选项。
- 负载测试:用于测试超负荷环境中程序是否能够承担。通过负载测试,确定在各种工作负载下系统的性能,目标是测试当负载逐渐增加时,系统各项性能指标的变化情况。
- 压力测试:通过确定系统的瓶颈或不能接收的性能点,来获得系统能够提供的最大服务级别的测试。负载测试和压力测试可以结合进行,统称为负载压力测试。
- 容量测试:并发测试也称为容量测试,主要用于测试系统可同时处理的在线最大用户数量。本题第二空选择D选项。
【2019下架构真题第27题:绿色】
27.一个完整的软件系统需从不同视角进行描述,下图属于软件架构设计中的( )用于( )视图来描述软件系统 。
A.对象图
B.时序图
C.构件图
D.类图
》
A.进程
B.开发
C.物理
D.用户
解答:答案选择D|B。送分题。
- 本题第一空选择D选项。图示展示的是类图的结构。
注意区分类图和对象图。对象图标记的是对象名,命名形式 对象名:类名,或者 :类名。这里没有出现冒号,表示的是类图。 - 对象图(object diagram)。对象图描述一组对象及它们之间的关系。对象图描述了在类图中所建立的事物实例的静态快照。和类图一样,这些图给出系统的静态设计视图或静态进程视图,但它们是从真实案例或原型案例的角度建立的。
- 类图(class diagram)。类图描述一组类、接口、协作和它们之间的关系。在OO系统的建模中,最常见的图就是类图。类图给出了系统的静态设计视图,活动类的类图给出了系统的静态进程视图。
- 本题第二空选择B选项。
- “4+1”视图模型从五个不同的视角来描述软件架构,每个视图只关心系统的一个侧面,五个视图结合在一起才能反映软件架构的全部内容。
(1)逻辑视图。逻辑视图主要支持系统的功能需求,即系统提供给最终用户的服务。在逻辑视图中,系统分解成一系列的功能抽象,这些抽象主要来自问题领域。这种分解不但可以用来进行功能分析,而且可用作标识在整个系统的各个不同部分的通用机制和设计元素。在OO技术中,通过抽象、封装和继承,可以用对象模型来代表逻辑视图,用类图来描述逻辑视图。逻辑视图中使用的风格为面向对象的风格,在设计中要注意保持一个单一的、内聚的对象模型贯穿整个系统。
(2)开发视图。开发视图也称为模块视图,在UML中被称为实现视图,它主要侧重于软件模块的组织和管理。开发视图要考虑软件内部的需求,例如,软件开发的容易性、软件复用和软件的通用性,要充分考虑由于具体开发工具的不同而带来的局限性。开发视图通过系统I/O关系的模型图和子系统图来描述。其中类图属于开发视图。
(3)进程视图。进程视图侧重于系统的运行特性,主要关注一些非功能性需求,例如,系统的性能和可用性等。进程视图强调并发性、分布性、系统集成性和容错能力,以及逻辑视图中的功能抽象如何适合进程结构等,它也定义了逻辑视图中的各个类的操作具体是在哪一个线程中被执行的。进程视图可以描述成多层抽象,每个级别分别关注不同的方面。
(4)物理视图。物理视图在UML中被称为部署视图,它主要考虑如何把软件映射到硬件上,它通常要考虑到解决系统拓扑结构、系统安装和通信等问题。当软件运行于不同的物理节点上时,各视图中的构件都直接或间接地对应于系统的不同节点上。因此,从软件到节点的映射要有较高的灵活性,当环境改变时,对系统其他视图的影响最小化。
【2019下架构真题第28题:绿色】
28.对软件体系结构风格的研究和实践促进了对设计的复用。Garlan和Shaw对经典体系结构风格进行了分类 。其中,( )属于数据流体系结构风格;( )属于虚拟机体系结构风格;而下图描述的属于( )体系结构风格A.面向对象
B.事件系统
C.规则系统
D.批处理
》
A.面向对象
B.事件系统
C.规则系统
D.批处理
》
A.层次型
B.事件系统
C.规则系统
D.批处理
解答:答案选择D|C|A。送分题。本题考查的是架构风格。
- 关于架构的传统分类如下所示:
数据流风格:批处理序列、管道-过滤器,第一空选择D选项批处理。
调用/返回风格:主程序/子程序、面向对象、层次结构。
独立构件风格:进程通信、事件驱动系统(隐式调用)。
虚拟机风格:解释器、基于规则的系统,第二空选择C选项规则系统。
仓库风格:数据库系统、超文本系统、黑板系统。 - 题干给出的图示是典型的层次结构。第三空选择A选项。
【2019下架构真题第29题:绿色】
29.( )是由中间件技术实现并支持 SOA 的一组基础架构,它提供了一种基础设施,其优势在于( ) 。
A.ESB
B.微服务
C.云计算
D.Multi-Agent System
》
A.支持了服务请求者与服务提供者之间的直接联系
B. 支持了服务请求者与服务提供者之间的紧密耦合
C. 消除了服务请求者与服务提供者之间的直接链接
D. 消除了服务请求者与服务提供者之间的关系
解答:答案选择A|C。
- 微服务是SOA技术的一种变体,云计算是网络云服务的一种技术,Multi-Agent System多智能系统是人工智能技术的一种应用。本题第一空选择A选项。
- 企业服务总线(Enterprise Service Bus, EBS)技术,其思想是提供一种标准的软件底层架构,各种程序组件能够以服务单元的方式“插入”到该平台上运行,并且组件之间能够以标准的消息通信方式来进行交互。
- ESB的定义通常如下:企业服务总线是由中间件技术实现的支持面向服务架构的基础软件平台,支持异构环境中的服务以基于消息和事件驱动模式的交互,并且具有适当的服务质量和可管理性。
- 这种交互过程不再是点对点的直接交互模式,而是由事件驱动的消息交互模式。通过这种方式,ESB最大限度上解耦了组件之间的依赖关系,降低了软件系统互连的复杂性。ESB不支持服务请求者与服务提供者直接的直接链接,二者之间仍然存在关系,只是这种关系是松耦合的。本题第二空选择C选项,其他选项的说法都是错误的
【2019下架构真题第30题:绿色】
30.ABSDM(Architecture-Based Software Design Model)把整个基于体系结构的软件过程划分为体系结构需求、体系结构设计、体系结构文档化、( )、( )和体系结构演化等 6个子过程。其中,( )过程的主要输出结果是体系结构规格说明和测试体系结构需求的质量设计说明书。
A.体系结构复审
B.体系结构测试
C.体系结构变更
D.体系结构管理
》
A.体系结构实现
B.体系结构测试
C.体系结构建模
D.体系结构文档化
》
A.体系结构设计
B.体系结构需求
C.体系结构文档化
D.体系结构测试
解答:答案选择A|A|C。
- 本题考查的是基于体系结构的开发模型ABSDM相关知识。
- ABSDM模型把整个基于体系结构的软件过程划分为:体系结构需求、设计、文档化、复审、实现和演化等6个过程。因此第一空选择A选项体系结构复审,第二空选择A选项体系结构实现。
- 体系结构需求:需求过程主要是获取用户需求,标识系统中所要用到的构件。
- 体系结构设计:体系结构设计是一个迭代过程,如果要开发的系统能够从已有的系统中导出大部分,则可以使用已有系统的设计过程。
- 体系结构文档化:绝大多数的体系结构都是抽象的,由一些概念上的构件组成,因此要去实现体系结构,还必须得把体系结构文档化。体系结构文档化过程的主要输出结果是体系结构规格说明和测试体系结构需求的质量设计说明书这2个文档。本题第三空选择C选项。
- 体系结构复审:体系结构设计、文档化和复审是一个迭代过程。复审的目的是表示潜在的风险,及早发现体系结构设计中的缺陷和错误,包括体系结构能否满足需求、质量需求是否在设计中得到体现、层次是否清晰、构件划分是否合理、文档表达是否明确、构件设计是否满足功能与性能的要求等。
- 体系结构实现:所谓“实现”就是要用实体显示出一个软件体系结构,即要符合体系结构描述的结构性设计决策,分割成规定的构件,按规定的方式互相交互。整个实现过程是以复审后的文档化的体系结构说明书为基础的,每个构件必须满足软件体系结构中说明的对其他构件的责任。最后一步是测试,包括单个构件的功能性测试和被组装应用的整体功能和性能测试。
- 体系结构演化:在构件开发过程中,用户的需求可能还有变动。在软件开发完毕,正常运行后,由一个单位移植到另一个单位,需求也会发生变化。在这两种情况下,就必须相应地修改软件体系结构,以适应新的变化了的软件需求。体系结构演化是使用系统演化步骤去修改应用,以满足新的需求。
【2019下架构真题第31题:黄色】
31.设计模式按照目的可以划分为三类 ,其中,( )模式是对对象实例化过程的抽象。例如( )模式确保一个类只有一个实例 ,并提供了全局访问入口;( )模式允许对象在不了解要创建对象的确切类以及如何创建等细节的情况下创建自定义对象 ;( )模式将复杂对象的构建与其表示分离。
A.创建型
B.结构型
C.行为型
D.功能型
》
A.Facade
B.Builder
C.PhotoType
D.Singletion
解答:答案选择A|D|C|B。第三空错。
- 本题考查的是设计模式相关知识。
- 设计模式根据目的和用途不同,可以分为创建型(Creational)模式、结构型(Structural)模式和行为型(Behavioral)模式三种。
- 创建型模式主要用于创建对象,为设计类实例化新对象提供指南;结构型模式主要用于处理类或对象的组合,对类如何设计以形成更大的结构提供指南;行为型模式主要用于描述类或对象的交互以及职责的分配,对类之间交互以及分配责任的方式提供指南。第一空选择A创建型。
- 创建型模式包括:工厂方法(factory method)模式,抽象工厂(abstract factory)模式, 原型(prototype)模式,单例(singleton)模式,构建器(builder)模式。
- 结构型模式包括:适配器(adapter)模式,桥接(bridge)模式,组合(composite)模式,装饰(decorator)模式,外观(facade)模式,享元(flyweight)模式,代理(proxy)模式。
- 行为型模式包括: 职责链(chain of responsibility)模式,命令(command)模式,解释器(interpreter)模式,迭代器(iterator)模式,中介者(mediator)模式,备忘录(memento)模式,观察者(observer)模式,状态(state)模式,策略(strategy)模式,模板方法(template method)模式,访问者(visitor)模式。
- 原型模式:用原型实例指定创建对象的类型,并且通过拷贝这个原型来创建新的对象。
- 构建器模式:将一个复杂类的表示与其构造相分离,使得相同的构建过程能够得出不同的表示。
【2019下架构真题第32题:黄色】
32.某公司欲开发一个电子交易清算系统,在架构设计阶段,公司的架构师识别出3个核心质量属性场景。其中“数据传递时延不大于1s ,并提供相应的优先级管理”主要与( )质量属性相关,通常可采用( )架构策略实现该属性;“系统采用双机热备,主备机必须实时监测对方状态,以便完成系统的实时切换”主要与( )质量属性相关,通常可采用( )架构策略实现该属性;“系统应能够防止99%的黑客攻击”主要与( )质量属性相关,通常可采用( )架构策略实现该属性。
A.可用性
B.性能
C.安全
D.可修改性
》
A.限制资源
B.引入并发
C.资源仲裁
D.限制访问
》
A.可用性
B.性能
C.安全
D.可修改性
》
A.记录回放
B.操作串型化
C.心跳
D.资源调度
》
A.可用性
B.性能
C.安全
D.可修改性
》
A.检测攻击
B.-Ping/Echo
C.选举
D.权限控制
解答:答案选择B|C|A|C|C|A。第二题第六题错。
- 本题考查的是架构设计质量属性相关内容。
- “数据传递时延不大于1s ,并提供相应的优先级管理”描述的是性能相关属性,一般采用的架构设计策略:优先级队列、资源调度。第一空选择B选项,第二空选择C选项。
- “系统采用双机热备,主备机必须实时监测对方状态,以便完成系统的实时切换”描述的是可用性,一般采用的架构设计策略:冗余、心跳线。第三空选择A选项,第四空选择C选项。
- “系统应能够防止99%的黑客攻击”描述的是安全性,一般采用的架构设计策略:追踪审计、抵抗攻击、检测攻击和从攻击中恢复。第五空选择C选项,第六空选择A选项。
【2019下架构真题第33题:红色】
33.下列协议中,与电子邮箱安全无关的是()。
A.SSL
B.HTTPS
C.MIME
D.PGP
解答:答案选择C。本题选择C选项。
- MIME它是一个互联网标准,扩展了电子邮件标准,使其能够支持,与安全无关。与安全电子邮件相关的是S/MIME安全多用途互联网邮件扩展协议。
- A选项SSL和B选项HTTPS涉及到邮件传输过程的安全,D选项PGP(全称:Pretty Good Privacy,优良保密协议),是一套用于信息加密、验证的应用程序,可用于加密电子邮件内容。
【2019下架构真题第34题:黄色】
34.以下关于网络冗余设计的叙述中,错误的是( )。
A.网络冗余设计避免网络组件单点失效造成应用失效
B.备用路径与主路径同时投入使用,分担主路径流量
C.负载分担是通过并行链路提供流量分担来提高性能的
D.网络中存在备用链路时,可以考虑加入负载分担设计
解答:答案选择B。蒙对。本题考查的是网络设计相关知识。
- 对网络进行冗余设计的目的是提高网络的可用性,避免网络组件单点失效造成应用不可用,A选项描述正确。
- 备用路径也就是在主路径失效的时候开始启用,和主路径承担的是不同的网络负载,B选项同时投入使用的说法是错误的。本题选择B选项。
- 负载分担是冗余网络设计的一种设计方式,可以通过并行链路提供流量分担,从而提高整体性能,C选项描述正常。
- 网络中有备用链路时,可以增加负担设计从而减轻主路径负担,D选项说法正确。
【2019下架构真题第35题:绿色】
35.著作权中,()的保护期不受期限限制。
A.发表权
B.发行权
C.展览权
D.署名权
解答:答案选择D。
- 本题考查知识产权中的著作权的保护期限。
在著作权中: - ”署名权、修改权、保护作品完整权“的保护是没有时间限制的。
- ”发表权、使用权和获得报酬权“的保护时限为:作者终生及其死亡后的50年(第50年的12月31日)。
【2019下架构真题第36题:红色】
36.以下关于计算机软件著作权的叙述中,正确的是( )。
A.软件著作权自软件开发完成之日起就生效
B.非法进行拷贝发布或更改软件的人被称为软件盗版者
C.开发者在单位或组织中任职期间所开发的软件的著作权应归个人所有
D.用户购买了具有版权的软件,则具有对该软件的使用权和复制权。
解答:答案选择A。A和B二选一蒙错。
- 本题考查的是知识产权相关内容。
- A选项的描述是正确的。软件著作权自作品完成即开始保护。本题选择A选项。
B选项中软件盗版行为是指任何未经软件著作权人许可,擅自对软件进行复制、传播,或以其他方式超出许可范围传播、销售和使用的行为,软件盗版者不仅仅是非法拷贝、发布的人,还有传播等其他盗版行为的人也被称为软件盗版者。同时,更改软件的人也不能称之为盗版者。所以B选项说法错误。 - C选项描述的职务作品知识产权人应该是公司而不是归个人所有,C选项描述错误。
【2019下架构真题第37题:绿色】
37.如果 A 公司购买了一个软件的源程序, A 公司将该软件源程序中的所有标识符做了全面修改后,作为该公司的产品销售,这种行为( )。
A.尚不构成侵权
B.侵犯了著作权
C.侵犯了专利权
D.属于不正当竞争
解答:答案选择B。
【2019下架构真题第38题:绿色】
38.数学模型常带有多个参数,而参数会随环境因素而变化。根据数学模型求出最优解或满意解后,还需要进行( ),对计算结果进行检验,分析计算结果对参数变化的反应程度 。
A.一致性分析
B.准确性分析
C.敏感性分析
D.似然性分析
解答:答案选择C。本题是对数学建模相关知识的考查。
- 灵敏度分析:通常在决策模型中,自然状态的概率和损益值往往由估计或预测得到,不可能十分准确,此外实际情况也是在不断发生变化的,因此需要分析为决策所用的数据可在多大范围内变动,原最优决策方案继续有效,这就是灵敏度分析。
- 即变量数据是否敏感,在最优方案不变的条件下,这些变量允许变化的范围。
- 本题选择C选项。其他选项与参数变化无关。
【2019下架构真题第39题:绿色】
39.某工程项目包括六个作业A~F,各个作业的衔接关系以及所需时间见下表。作业D最多能拖延( )天,而不会影响该项目的总工期。
A.0
B.1
C.2
D.3
解答:答案选择C。本题考查的是时间管理进度网络图的分析。
- 根据题干给出的依赖关系,可以画出单代号进度网络图,并分析其各活动的最早开始和完成时间、最晚开始和完成时间,以及总时差。
【2019下架构真题第40题:红色】
40.During the systems analysis phase ,you must decide how data will be organized,stored,and managed. A( )is a framework for organizing,storing,and managing data. Each file or table contains data about people,places,things,or events. One of the potential problems existing in a file processing environment is( ),which means that data common to two or more information systems is stored in several places.
In a DBMS,the linked tables form a unified data structure that greatly improves dataquality and access. A(n)( )is a model that shows the logical relationships and interaction among system entities . It provides an overall view of the system and a blueprint for creating the physical data structures.( )is the process of creating table designs by assigning specific fields or attributes to each table in the database. A table design specifies the fields and identifies the primary key in a particular table or file. The three normal forms constitute a progression in which( )represents the best design. Most business-related databases must be designed in that form.
A.Data Entity
B.Data Structure
C.File Collection
D.Data Definition
》
A.data Integrity
B.the rigid data structure
C.data redundancy
D.the many to many relationship
》
A.Entity-RelationShip Diagram
B.Data Dictionary
C.Database Schema
D.Physical database model
》
A.Normalization
B.Replication
C.Partition
D.Optimization
》
A.Standard Notiation form
B.first normal form
C.second normal form
D.Third normal form
解答:答案选择B|C|A|A|D。
- 在系统分析阶段,需要确定数据如何组织、存储和管理。数据结构是用于组织、存储和管理数据的一个框架。每个文件或表包含了关于人物、地点、事物和事件的数据。文件处理场景中存在的潜在问题之一是数据冗余,意味着两个或多个信息系统中相同数据存储在多个不同位置。
- 在关系数据库管理系统(DBMS)中,相互链接的表格形成了一个统一的数据解耦股,可以大大提升数据质量和访问。实体联系图是一个模型,显示了系统实体之间的逻辑关系和交互。它提供了一个系统的全局视图和用于创建物理数据结构的蓝图。规范化是通过为数据库中的每个表分配特定的字段或属性来创建表设计的过程。表设计是在特定表或文件中确定字段并标识主键。三种范式构成了一个序列,其中第三范式代表了最好的设计,大部分与业务相关的数据库必须设计成这种形式。
【2019下架构真题第41题:绿色】
41.软件方法学是以软件开发方法为研究对象的学科。其中,( )是先对最高层次中的问题进行定义、设计、编程和测试,而将其中未解决的问题作为一个子任务放到下一层次中去解决。( )是根据系统功能要求,从具体的器件、逻辑部件或者相似系统开始,通过对其进行相互连接、修改和扩大,构成所要求的系统。( )是建立在严格数学基础上的软件开发方法。
A.面向对象开发方法
B.形式化开发方法
C.非形式化开发方法
D.自顶向下开发方法
》
A.自底向上开发方法
B.形式化开发方法
C.非形式化开发方法
D.原型化开发方法
》
A.自底向上开发方法
B.形式化开发方法
C.非形式化开发方法
D.自顶向下开发方法
解答:答案选择D|A|B。本题是对软件开发方法相关内容的考查。
- 软件开发方法是指软件开发过程所遵循的办法和步骤,从不同的角度可以对软件开发方法进行不同的分类。
- 从开发风范上开,可分为自顶向下的开发方法和自底向上的开发方法。(在实际软件开发中,大都是两种方法结合,只不过是应用于开发的不同阶段以何者为主而已)
- “先对最高层次中的问题进行定义、设计、编程和测试,而将其中未解决的问题作为一个子任务放到下一层次中去解决”描述的是自顶向下的开发,第一空选择D选项。
- “根据系统功能要求,从具体的器件、逻辑部件或者相似系统开始,通过对其进行相互连接、修改和扩大,构成所要求的系统”描述的是自底向上的开发,第二空选择A选项。
- 从性质上看,可分为形式化方法和非形式化方法。
- 形式化方法是一种具有坚实数学基础的方法,从而允许对系统和开发过程做严格处理和论证,适用于那些系统安全级别要求极高的软件的开发。第三空选择B选项。
- 非形式化方法则不把严格性作为其主要着眼点,通常以各种开发模型的形式得以体现。
- 从适应范围来看,可分为整体性方法与局部性方法。适用于软件开发全过程的方法称为整体性方法;适用于开发过程某个具体阶段的软件方法称为局部性方法。



A.面向对象