几何中的著名定理(不敢确定都为正确,但已发现一些错误并进行了订正)
1、勾股定理(毕达哥拉斯定理)
2、射影定理(欧几里得定理)
3、三角形的三条中线交于一点,并且,各中线被这个点分成2:1的两部分
4、四边形两边中心的连线的两条对角线中心的连线交于一点
5、间隔的连接六边形的边的中心所作出的两个三角形的重心是重合的。
6、三角形各边的垂直一平分线交于一点。
7、从三角形的各顶点向其对边所作的三条垂线交于一点
8、设三角形ABC的外心为O,垂心为H,从O向BC边引垂线,设垂足不L,则AH=2OL
9、三角形的外心,垂心,重心在同一条直线上。
10、(九点圆或欧拉圆或费尔巴赫圆)三角形中,三边中心、从各顶点向其对边所引垂线的垂足,以及垂心与各顶点连线的中点,这九个点在同一个圆上,
11、欧拉定理:三角形的外心、重心、九点圆圆心、垂心依次位于同一直线(欧拉线)上
12、库立奇*大上定理:(圆内接四边形的九点圆)
圆周上有四点,过其中任三点作三角形,这四个三角形的九点圆圆心都在同一圆周上,我们把过这四个九点圆圆心的圆叫做圆内接四边形的九点圆。
13、(内心)三角形的三条内角平分线交于一点,内切圆的半径公式:r=(s-a)(s-b)(s-c)ss为三角形周长的一半
14、(旁心)三角形的一个内角平分线和另外两个顶点处的外角平分线交于一点
15、中线定理:(巴布斯定理)设三角形ABC的边BC的中点为P,则有AB2+AC2=2(AP2+BP2)
16、斯图尔特定理:P将三角形ABC的边BC内分成m:n,则有n×AB2+m×AC2=(m+n)AP2+mnm+nBC2
17、波罗摩及多定理:圆内接四边形ABCD的对角线互相垂直时,连接AB中点M和对角线交点E的直线垂直于CD
18、阿波罗尼斯定理:到两定点A、B的距离之比为定比m:n(值不为1)的点P,位于将线段AB分成m:n的内分点C和外分点D为直径两端点的定圆周上
19、托勒密定理:设四边形ABCD内接于圆,则有AB×CD+AD×BC=AC×BD
20、以任意三角形ABC的边BC、CA、AB为底边,分别向外作底角都是30度的等腰△BDC、△CEA、△AFB,则△DEF是正三角形,
21、爱尔可斯定理1:若△ABC和三角形△都是正三角形,则由线段AD、BE、CF的重心构成的三角形也是正三角形。
22、爱尔可斯定理2:若△ABC、△DEF、△GHI都是正三角形,则由三角形△ADG、△BEH、△CFI的重心构成的三角形是正三角形。
23、梅涅劳斯定理:设△ABC的三边BC、CA、AB或其延长线和一条不经过它们任一顶点的直线的交点分别为P、Q、R则有
BP/PC×CQ/QA×AR/RB=1
24、梅涅劳斯定理的逆定理:(略)
25、梅涅劳斯定理的应用定理1:设△ABC的∠A的外角平分线交边CA于Q、∠C的平分线交边AB于R,、∠B的平分线交边CA于Q,则P、Q、R三点共线。
26、梅涅劳斯定理的应用定理2:过任意△ABC的三个顶点A、B、C作它的外接圆的切线,分别和BC、CA、AB的延长线交于点P、Q、R,则P、Q、R三点共线
27、塞瓦定理:设△ABC的三个顶点A、B、C的不在三角形的边或它们的延长线上的一点S连接面成的三条直线,分别与边BC、CA、AB或它们的延长线交于点P、Q、R,则BPPC×CQQA×ARRB()=1.
28、塞瓦定理的应用定理:设平行于△ABC的边BC的直线与两边AB、AC的交点分别是D、E,又设BE和CD交于S,则AS一定过边BC的中心M
29、塞瓦定理的逆定理:(略)
30、塞瓦定理的逆定理的应用定理1:三角形的三条中线交于一点
31、塞瓦定理的逆定理的应用定理2:设△ABC的内切圆和边BC、CA、AB分别相切于点R、S、T,则AR、BS、CT交于一点。
32、西摩松定理:从△ABC的外接圆上任意一点P向三边BC、CA、AB或其延长线作垂线,设其垂足分别是D、E、R,则D、E、R共线,(这条直线叫西摩松线)
33、西摩松定理的逆定理:(略)
34、史坦纳定理:设△ABC的垂心为H,其外接圆的任意点P,这时关于△ABC的点P的西摩松线通过线段PH的中心。
35、史坦纳定理的应用定理:△ABC的外接圆上的一点P的关于边BC、CA、AB的对称点和△ABC的垂心H同在一条(与西摩松线平行的)直线上。这条直线被叫做点P关于△ABC的镜象线。
36、波朗杰、腾下定理:设△ABC的外接圆上的三点为P、Q、R,则P、Q、R关于△ABC交于一点的充要条件是:弧AP+弧BQ+弧CR=0(mod2∏).
37、波朗杰、腾下定理推论1:设P、Q、R为△ABC的外接圆上的三点,若P、Q、R关于△ABC的西摩松线交于一点,则A、B、C三点关于△PQR的的西摩松线交于与前相同的一点
38、波朗杰、腾下定理推论2:在推论1中,三条西摩松线的交点是A、B、C、P、Q、R六点任取三点所作的三角形的垂心和其余三点所作的三角形的垂心的连线段的中点。
39、波朗杰、腾下定理推论3:考查△ABC的外接圆上的一点P的关于△ABC的西摩松线,如设QR为垂直于这条西摩松线该外接圆珠笔的弦,则三点P、Q、R的关于△ABC的西摩松线交于一点
40、波朗杰、腾下定理推论4:从△ABC的顶点向边BC、CA、AB引垂线,设垂足分别是D、E、F,且设边BC、CA、AB的中点分别是L、M、N,则D、E、F、L、M、N六点在同一个圆上,这时L、M、N点关于关于△ABC的西摩松线交于一点。
41、关于西摩松线的定理1:△ABC的外接圆的两个端点P、Q关于该三角形的西摩松线互相垂直,其交点在九点圆上。
42、关于西摩松线的定理2(安宁定理):在一个圆周上有4点,以其中任三点作三角形,再作其余一点的关于该三角形的西摩松线,这些西摩松线交于一点。
43、卡诺定理:通过△ABC的外接圆的一点P,引与△ABC的三边BC、CA、AB分别成同向的等角的直线PD、PE、PF,与三边的交点分别是D、E、F,则D、E、F三点共线。
44、奥倍尔定理:通过△ABC的三个顶点引互相平行的三条直线,设它们与△ABC的外接圆的交点分别是L、M、N,在△ABC的外接圆取一点P,则PL、PM、PN与△ABC的三边BC、CA、AB或其延长线的交点分别是D、E、F,则D、E、F三点共线
45、清宫定理:设P、Q为△ABC的外接圆的异于A、B、C的两点,P点的关于三边BC、CA、AB的对称点分别是U、V、W,这时,QU、QV、QW和边BC、CA、AB或其延长线的交点分别是D、E、F,则D、E、F三点共线
46、他拿定理:设P、Q为关于△ABC的外接圆的一对反点,点P的关于三边BC、CA、AB的对称点分别是U、V、W,这时,如果QU、QV、QW与边BC、CA、AB或其延长线的交点分别为ED、E、F,则D、E、F三点共线。(反点:P、Q分别为圆O的半径OC和其延长线的两点,如果OC2=OQ×OP 则称P、Q两点关于圆O互为反点)
47、朗古来定理:在同一圆同上有A1B1C1D14点,以其中任三点作三角形,在圆周取一点P,作P点的关于这4个三角形的西摩松线,再从P向这4条西摩松线引垂线,则四个垂足在同一条直线上。
48、从三角形各边的中点,向这条边所的顶点处的外接圆的切线引垂线,这些垂线交于该三角形的九点圆的圆心。
49、一个圆周上有n个点,从其中任意n-1个点的重心,向该圆周的在其余一点处的切线所引的垂线都交于一点。
50、康托尔定理1:一个圆周上有n个点,从其中任意n-2个点的重心向余下两点的连线所引的垂线共点。
51、康托尔定理2:一个圆周上有A、B、C、D四点及M、N两点,则M和N点关于四个三角形△BCD、△CDA、△DAB、△ABC中的每一个的两条西摩松的交点在同一直线上。这条直线叫做M、N两点关于四边形ABCD的康托尔线。
52、康托尔定理3:一个圆周上有A、B、C、D四点及M、N、L三点,则M、N两点的关于四边形ABCD的康托尔线、L、N两点的关于四边形ABCD的康托尔线、M、L两点的关于四边形ABCD的康托尔线交于一点。这个点叫做M、N、L三点关于四边形ABCD的康托尔点。
53、康托尔定理4:一个圆周上有A、B、C、D、E五点及M、N、L三点,则M、N、L三点关于四边形BCDE、CDEA、DEAB、EABC中的每一个康托尔点在一条直线上。这条直线叫做M、N、L三点关于五边形A、B、C、D、E的康托尔线。
54、费尔巴赫定理:三角形的九点圆与内切圆和旁切圆相切。
55、莫利定理:将三角形的三个内角三等分,靠近某边的两条三分角线相得到一个交点,则这样的三个交点可以构成一个正三角形。这个三角形常被称作莫利正三角形。
56、牛顿定理1:四边形两条对边的延长线的交点所连线段的中点和两条对角线的中点,三条共线。这条直线叫做这个四边形的牛顿线。
57、牛顿定理2:圆外切四边形的两条对角线的中点,及该圆的圆心,三点共线。
58、笛沙格定理1:平面上有两个三角形△ABC、△DEF,设它们的对应顶点(A和D、B和E、C和F)的连线交于一点,这时如果对应边或其延长线相交,则这三个交点共线。
59、笛沙格定理2:相异平面上有两个三角形△ABC、△DEF,设它们的对应顶点(A和D、B和E、C和F)的连线交于一点,这时如果对应边或其延长线相交,则这三个交点共线。
60、布利安松定理:连结外切于圆的六边形ABCDEF相对的顶点A和D、B和E、C和F,则这三线共点。
60、巴斯加定理:圆内接六边形ABCDEF相对的边AB和DE、BC和EF、CD和FA的(或延长线的)交点共线
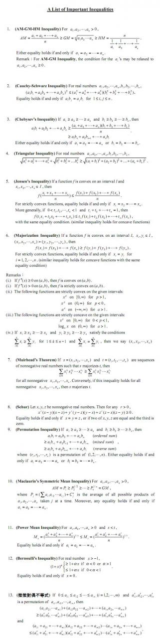
13个基本不等式
