声明:代码的运行环境为Python3。Python3与Python2在一些细节上会有所不同,希望广大读者注意。本博客以代码为主,代码中会有详细的注释。相关文章将会发布在我的个人博客专栏《Python从入门到深度学习》,欢迎大家关注~
Logistic Regression算法是一个分类算法,分类算法是一种监督学习算法,它是指根据样本的特征,将样本划分到指定的类别中。Logistic Regression是一个二分类的线性分类算法,说到线性分类算法就不得不说一下线性可分与线性不可分的概念了,如果一个分类问题可以使用线性判别函数正确分类,则称该问题为线性可分,否则称为线性不可分问题。
一、模型介绍
1、Sigmoid函数
Logistic Regression模型属于线性分类模型,对于线性可分问题,我们需要一条直线将不同的类进行区分,这条直线被表示为:
![]()
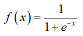
其中,W为权重值,b为偏置项,这条直线也被称为超平面。在Logistic Regression模型中,学习得到该直线之后,将数据分为两类,可以通过阈值函数将数据映射到不同的类别中,常用的阈值函数有Sigmoid函数,它表示为:

代码实现Sigmoid函数:
def sigmoid(x):
'''
定义sigmoid函数
:param x: 参数x
:return: 返回计算后的值
'''
return 1.0 / (1 + np.exp(-x))
2、损失函数
对于Logistic Regression模型来说,权重W和偏置b是唯一的未知参数,故求其值就显得尤为重要!为了求权重和偏置的值,我们需要定义损失函数。
对于Logistic Regression算法,其属于类别a的概率为:
![]()
其中,
是Sigmoid函数。假设有n个样本,我们使用极大似然估计对其进行估计,这里我们使用Log函数,将负的Log似然函数作为其损失函数,于是问题转换为对负的Log函数求极小值,表示为:

代码实现求解损失函数:
def errorRate(pre, label):
'''
损失函数
:param pre: 预测值
:param label: 实际值
:return: 错误率
'''
m = np.shape(pre)[0]
errSum = 0.0
for i in range(m):
if pre[i, 0] > 0 and (1 - pre[i, 0]) > 0:
errSum -= (label[i, 0] * np.log(pre[i, 0]) + (1 - label[i, 0]) * np.log(1 - pre[i, 0]))
else:
errSum -= 0.0
return errSum / m二、梯度下降法
在很多监督学习模型中,都需要对原始模型构建损失函数,接下来通过优化算法对损失函数进行优化,找到最优的解,优化算法中常用的例如最小二乘法、梯度下降法等等。此处,为了求得损失函数的最优解,我们使用梯度下降法进行求解。
梯度下降法的基本流程如下:
(1)随机选择开一个初始点;
(2)选择梯度下降的方向;
(3)选择步长;
(4)更新点;
(5)重复(2)、(3)、(4)步知道满足终止条件。
代码实现梯度下降法:
def LRGradientDescent(feature, label, maxIteration, alpha):
'''
使用梯度下降法训练逻辑回归模型
:param feature: 特征
:param label: 标签
:param maxIteration: 最大迭代次数
:param alpha: 学习率α
:return: 返回权重矩阵
'''
n = np.shape(feature)[1] # 特征的个数
w = np.mat(np.ones((n, 1))) # 初始化权重矩阵
i = 0 # 定义指标, 用于与最大迭代次数进行比较
while i <= maxIteration: # 当指标小于最大迭代次数时
i += 1
sig = sigmoid(feature * w) # 调用sigmoid函数计算sigmoid的值
error = label - sig
w = w + alpha * feature.T * error # 权重修正
if i % 100 == 0:
print("迭代", str(i), "时的错误率为:", str(errorRate(sig, label)))
return w三、算法测试
1、数据集:分为训练集和测试集
(1)训练集

(2)测试集

2、加载数据集
我们此处使用如下方法加载数据集,也可使用其他的方式进行加载,此处可以参考我的另外一篇文章《Python两种方式加载文件内容》。加载文件内容代码如下:
def loadData(fileName):
'''
加载测试数据
:param fileName: 文件名
:return: 返回特征和标签
'''
f = open(fileName) # 打开训练数据集所在的文档
feature = [] # 存放特征的列表
label = [] # 存放标签的列表
for row in f.readlines():
f_tmp = [] # 存放特征的中间列表
l_tmp = [] # 存放标签的中间列表
number = row.strip().split("\t") # 得到每行特征和标签
f_tmp.append(1) # 设置偏置项
for i in range(len(number) - 1):
f_tmp.append(float(number[i]))
l_tmp.append(float(number[-1]))
feature.append(f_tmp)
label.append(l_tmp)
f.close() # 关闭文件,这个操作很重要
return np.mat(feature), np.mat(label)3、保存权重值
训练数据集,得到权重值,使用如下方法保存权重值:
def saveWeight(fileName, weight):
'''
保存权重矩阵
:param fileName: 保存后的文件名
:param weight: 权重矩阵
:return:
'''
m = np.shape(weight)[0]
f = open(fileName, "w")
weight_list = []
for i in range(m):
weight_list.append(str(weight[i ,0]))
f.write("\t".join(weight_list))
f.close()4、使用训练得到的权重对测试集进行分类
'''
分类算法(线性二分类):logistic Regression
'''
from LogisticRegression.LogisticRegression_train import sigmoid
import numpy as np
def loadFile(fileName, num):
'''
加载测试集
:param fileName:
:param num:
:return: 返回特征
'''
f = open(fileName)
feature = []
for row in f.readlines():
f_tmp = []
number = row.strip().split("\t")
if len(number) != num - 1: # 排除测试集中不符合要求的数据
continue
f_tmp.append(1) # 设置偏置项
for i in number:
f_tmp.append(float(i))
feature.append(f_tmp)
f.close()
return np.mat(feature)
def loadWeights(weights):
'''
加载权重值
:param weights: 权重所在的文件位置
:return: 权重矩阵
'''
f = open(weights)
w = []
for row in f.readlines():
number = row.strip().split("\t")
w_tmp = []
for i in number:
w_tmp.append(float(i))
w.append(w_tmp)
f.close()
return np.mat(w)
def predict(feature, w):
'''
对测试数据进行预测
:param feature: 测试数据的特征
:param w: 权重
:return: 预测结果
'''
sig = sigmoid(feature * w.T)
n = np.shape(sig)[0]
for i in range(n):
if sig[i, 0] < 0.5:
sig[i, 0] = 0.0
else:
sig[i, 0] = 1.0
return sig
def saveResult(fileName, result):
'''
保存预测结果
:param file_name: 结果文件名
:param result: 结果值
:return:
'''
m = np.shape(result)[0]
res = []
for i in range(m):
res.append(str(result[i, 0]))
f = open(fileName, "w")
f.write("\t".join(res))
f.close()
if __name__ == "__main__":
path = "./data/" # 数据集的存放路径
w = loadWeights("weights")
n = np.shape(w)[1]
lr_test_data = loadFile(path + "test.txt", n)
sig = predict(lr_test_data, w)
saveResult("resultData", sig)5、测试集分类如下图所示

你们在此过程中遇到了什么问题,欢迎留言,让我看看你们都遇到了哪些问题。