矩阵与线性变换
线性变换
线性变换的本质
- 变换本质就是函数,输入一个数,输出另外一个数,为什么要用变换代替函数呢,因为变换更容易描述运动的含义,表示从一个方向移动到另一个方向。

- 空间变换有各种各样的,以二维空间为例,正常二维空间下网格线的分布

经过某种空间变换后的二维空间下的网格线分布,注意蓝色的线条分布
而线性变换就是其中一种变换,变换后的直线还是直线,网格线平行并等距分布,保持原点不动,而描述这种变换,矩阵就是其中一种方式,也可以说是一个函数(变换)。
- 类似f(x)=ax+b的函数,b相当于把直线偏移了,这种带平移的叫做仿射变换,而f(x)=ax,就是线性变换的一种,且当f(x)=ax+b,b等于零时,就是线性变换,也是仿射变换,仿射变换包含线性变换
- 满足下列公式的都是线性变换。
f(x+y)=f(x)+f(y)
kf(x)=f(kx)
- 变换本质就是函数,输入一个数,输出另外一个数,为什么要用变换代替函数呢,因为变换更容易描述运动的含义,表示从一个方向移动到另一个方向。
矩阵与线性变换的关系,列乘法
- 矩阵表示变换,符合变换后保持原点,直线和平行线,就是一种线性变换,例如仿射变换矩阵不是一种线性变换,因为平移了原点。
- 不考虑平移的矩阵,符合线性变换的矩阵,例如旋转,缩放等
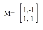
变换原理如下:

v向量是由xy为基向量的线性组合,那么旋转基向量45度,变换后的v向量是由基向量的线性组合,由于原先的是(1,1)
那么

矩阵可以根据变换后的基向量构成
这个矩阵表示一种变换,而且变换后的直线,原点位置,平行线,都保持原有的性质,那么这一种变换就是线性变换。 可以由这个矩阵计算出,变换后的v向量,同样也是(0,2)。
线性组合
- 通过向量的乘法和向量的加法,对标准轴进行缩放或扩展,就可以表示所有的线性组合,线性组合的结果就是一个新向量,所有的线性组合构成的集合称为"张成的空间"


版权声明:本文为jiaxunnanling原创文章,遵循CC 4.0 BY-SA版权协议,转载请附上原文出处链接和本声明。