目录
递归思维
介绍
将大问题转化为小问题,通过递归依次解决各个小问题
示例
344. 反转字符串
编写一个函数,其作用是将输入的字符串反转过来。输入字符串以字符数组 char[] 的形式给出。
不要给另外的数组分配额外的空间,你必须原地修改输入数组、使用 O(1) 的额外空间解决这一问题。
你可以假设数组中的所有字符都是 ASCII 码表中的可打印字符。
示例 1:
输入:["h","e","l","l","o"]
输出:["o","l","l","e","h"]
示例 2:
输入:["H","a","n","n","a","h"]
输出:["h","a","n","n","a","H"]
编写一个函数,其作用是将输入的字符串反转过来。输入字符串以字符数组
char[]的形式给出。
//非递归方式解决
class Solution {
public:
void reverseString(vector<char>& s) {
for (int i = 0, j = s.size() - 1; i < s.size()/2; i++, j--) {
swap(s[i],s[j]);
}
}
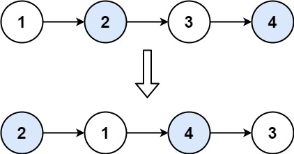
};24. 两两交换链表中的节点
给定一个链表,两两交换其中相邻的节点,并返回交换后的链表。 你不能只是单纯的改变节点内部的值,而是需要实际的进行节点交换。
给定一个链表,两两交换其中相邻的节点,并返回交换后的链表。
你不能只是单纯的改变节点内部的值,而是需要实际的进行节点交换。
示例 1:

输入:head = [1,2,3,4]
输出:[2,1,4,3]
示例 2:
输入:head = []
输出:[]
示例 3:
输入:head = [1]
输出:[1]//迭代
class Solution {
public:
ListNode* swapPairs(ListNode* head) {
ListNode* dummyHead = new ListNode(0); // 设置一个虚拟头结点
dummyHead->next = head; // 将虚拟头结点指向head,这样方面后面做删除操作
ListNode* cur = dummyHead;
while(cur->next != nullptr && cur->next->next != nullptr) {
ListNode* tmp = cur->next; // 记录临时节点
ListNode* tmp1 = cur->next->next->next; // 记录临时节点
cur->next = cur->next->next; // 步骤一
cur->next->next = tmp; // 步骤二
cur->next->next->next = tmp1; // 步骤三
cur = cur->next->next; // cur移动两位,准备下一轮交换
}
return dummyHead->next;
}
};//递归
class Solution {
public:
ListNode* swapPairs(ListNode* head) {
if (head == nullptr || head->next == nullptr) {
return head;
}
ListNode* newHead = head->next;
head->next = swapPairs(newHead->next);
newHead->next = head;
return newHead;
}
};
95. 不同的二叉搜索树 II
给定一个整数 n,生成所有由 1 ... n 为节点所组成的 二叉搜索树 。
示例:
输入:3
输出:
[
[1,null,3,2],
[3,2,null,1],
[3,1,null,null,2],
[2,1,3],
[1,null,2,null,3]
]
解释:
以上的输出对应以下 5 种不同结构的二叉搜索树:
1 3 3 2 1
\ / / / \ \
3 2 1 1 3 2
/ / \ \
2 1 2 3
给定一个整数 n,生成所有由 1 ... n 为节点所组成的二叉搜索树。
class Solution {
public:
vector<TreeNode*> generateTrees(int start, int end) {
if (start > end) {
return { nullptr };
}
vector<TreeNode*> allTrees;
// 枚举可行根节点
for (int i = start; i <= end; i++) {
// 获得所有可行的左子树集合
vector<TreeNode*> leftTrees = generateTrees(start, i - 1);
// 获得所有可行的右子树集合
vector<TreeNode*> rightTrees = generateTrees(i + 1, end);
// 从左子树集合中选出一棵左子树,从右子树集合中选出一棵右子树,拼接到根节点上
for (auto& left : leftTrees) {
for (auto& right : rightTrees) {
TreeNode* currTree = new TreeNode(i);
currTree->left = left;
currTree->right = right;
allTrees.emplace_back(currTree);
}
}
}
return allTrees;
}
vector<TreeNode*> generateTrees(int n) {
if (!n) {
return {};
}
return generateTrees(1, n);
}
};