广告关闭
腾讯云11.11云上盛惠 ,精选热门产品助力上云,云服务器首年88元起,买的越多返的越多,最高返5000元!
推荐使用腾讯云 api 配套的7种常见的编程语言 sdk,已经封装了签名和请求过程,均已开源,支持 python、java、php、go、nodejs、.net、c++。 云 api 支持 get 和 post 请求。 对于 get 方法,只支持 content-type: applicationx-www-form-urlencoded 协议格式。 对于 post 方法,目前支持 content-type: application...
compute.proto # python_out目录指定 xxxx_pb2.py的输出路径,我们指定为. 当前路径# grpc_python_out指定xxxx_pb2_grpc.py文件的输出路径,我们指定为. 当前路径# grpc_tools.protoc 这是我们的工具包,刚刚安装的# -i参数指定协议文件的查找目录,我们都将它们设置为当前目录. # compute.proto 我们的协议文件 lsc...
作用同”d”“o&” (object) :将任何数据类型通过转换函数转换成python对象,这些数据作为转换函数的参数被调用并且返回一个新的python对象,如果发生错误返回null“(items)” (tuple) :将一系列的c值转换成python元组“” (list) :将一系列的c值转换成python列表“{items}” (dictionary) :将一系类的c值转换成...

下面首先分享一下python将pdf转换成图片,java后续有时间在进行分享。 需求:我需要先将pdf转换成为png图片,并截取图片的一部分存储,然后作为测试目标进行测试。 操作:1、pdf转png图片2、对png图片进行指定区域截图,在另存到指定文件夹下针对截图此处所找到的方法如上一篇博客:python图片裁剪的两种方式——...
landscapefrom reportlab.pdfgen import canvas遍历当前目录下所有的jpg文件,并按照文件夹名称合并成pdf文档python 3. 4.4图片文件用数字按顺序命名def conpdf(): #获取横向a4大小 (w, h) = landscape(a4)#遍历当前目录 for root,dirs,files in os.walk(os.getcwd()):#根据根目录名创建一个pdf c = canvas.canvas(os...
python:让源码更安全之将py编译成so应用场景python是一种面向对象的解释型计算机程序设计语言,具有丰富和强大的库,使用其开发产品快速高效。 python的...准备工作环境是可为linuxcentos,我windows10本地是bash on ubuntu on windows,用起来很方便,命令行打bash即进入命令行思路是先将py转换为c代码,然后...

python与cc++混合编程的本质是python调用cc++编译的动态链接库,关键就是把python中的数据类型转换成cc++中的数据类型,给编译函数处理,然后返回参数再转换成python中的数据类型。 python中使用ctypes moduel,将python类型转成cc++类型首先,编写一段累加数值的c代码:extern c { int addbuf(char* data, int num, ...
通过 c语言 重写,然后 import xxxx 来无缝结合。 哪怕工作中比较少机会自己写c扩展, 了解这块的知识,也有利于我们更加深入了解 python 的运行本质。 网上比较是通过 ctypes 或者 setup.py 的方式实现引用和编译安装,这边想试下最原始的方法~快速开车1. 实现接口函数接口函数是什么意思? 可以简单理解成就是 ...
简介介绍一下python虚拟机的初始化及退出,python基本数据类型的对象创建以及c和python之间的数据类型互相转换。 python虚拟机的初始化及退出初始化python虚拟机需要调用py_initialize()来实现。 py_isinitialized()用于判断python虚拟机初始化是否成功,true是成功,false是失败。 cc++中调用python之前必须先初始化...
结合java语法和python语法对比着学习。 没有大括号,没有类型限制(缩进)和 表示除,不取整 整除,取整,省略小数__future__模块 一些新特新会先放到此模块中** 求幂十六进制 0xaf13d以0x开头八进制 07601 以0开头input 输入函数,输入的是一个表达式row_input 输入的是一个字符串,3.0取消了? 类型转换:str(1234)...
官方介绍 cython 是一个 python 语言规范的超集,它可以将 python+c 混合编码的.pyx 脚本转换为 c 代码,主要用于优化 python 脚本性能或 python 调用 c 函数库。 听上去有点复杂,也有点绕,不过没关系,get 一个核心点即可:cython 能够把 python 脚本转换成 c 代码来看一个实验:# filename:test.pydef test...
主要是运行make.py,会在pyinstallersupportload下生成run和run_d两个文件,详见pyinstallerdocmanual.html说明。 2、写一个py程序 为了实验,写一个helloworld.py,假设保存在c:helloworld.py#! usrbinenv pythonprint hello,world! words = raw_input(what do you want to say? )print you said:+words3、创建spec...
将python解释成c代码工具生成器和迭代器1. 可迭代对象只需要实现iter方法2. 实现next和iter方法的对象就是迭代器3. 使用生成器表达式或者yield的生成器函数(生成器是一种特殊的迭代器)什么是协程1.yield2.async-awiat比线程更轻量的多任务方式实现方式dict底层结构1. 为了支持快速查找使用了哈希表作为底层结构2...

类似地,每个指向可变大小python对象的指针都可以转换为pyvarobjecttypedef struct{ pyobject ob_base; py_ssize_t ob_size; * 可变变量引用计数 *} pyvar...“逗逼张,你还要听吗?我准备讲类相关的知识了,这些可是我课后自学的哦~”小张转了转身,一念间就留了下来~3.1. 动态添加属性和方法类相关的基础知识...
从unicode转成gbk ? 当前是bytes类型的数据,所以无法显示字符串? 注意在python3中,encode后不光转了编码,还将数据编程bytes类型? decode一下就可以显示...c = b.encode(gbk) #将unicode转成gbkprint (c)? 打印出来的是乱码,这是当前pycharm调整了编码模式为utf-8,所以打印gbk出来时是乱码? 把pycharm改成gbk...

不同的数据类型之间可以进行类型转换以达到特殊目的,比如将list先转成set,以达到去重的目的,之后再转回list。 列表(list)列表的特征列表中的每一个元素都是可变的; 列表其实是一个栈; 列表中的元素是有序的,也就是说每一个元素都有一个位置; 列表可以容纳python中的任何对象。 python列表 vs c数组 python...
推荐使用腾讯云 api 配套的7种常见的编程语言 sdk,已经封装了签名和请求过程,均已开源,支持 python、java、php、go、nodejs、.net、c++。 云 api 支持 ...拼接规则:头部 key 统一转成小写; 多个头部 key(小写)按照 ascii 升序进行拼接,并且以分号(;)分隔。 此示例为 content-type; host hashedrequest...

官方介绍cython是一个python语言规范的超集,它可以将python+c混合编码的.pyx脚本转换为c代码,主要用于优化python脚本性能或python调用c函数库。 听上去有点复杂,也有点绕,不过没关系,get一个核心点即可:cython能够把python脚本转换成c代码来看一个实验:# filename:test.pydef test_function():print(this is ...

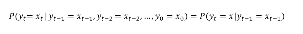
所以让我们用python实现它。 为此,我设想检查50天,然后我编码sunny = 1, rainy = 2, cloudy = 3。 m=np.zeros(150).reshape(50,3)m=np.zeros(150)...我们可以收集以下转换矩阵中的箭头:import numpy as np p = np.array(, , ]) p output: array(, , ])我们也有一个起点,比如说“多云”,因此我们已经有了...
要转换的目的map转换函数stringreq_update_userprofile_pack_data2(std::string workkey,pyobject *dict_user){py_ssize_t i, j; i = 0; pyobject *key; pyobject *value; smap m_profilelist; while (pydict_next(dict_user, &i, &key, &value)) c++中遍历python的dict对象。 此为关键代码{char * skey = pystring...