1. 过桥问题

2. 死锁问题

3. 死锁的特征

4. 系统模型

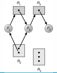
5. 资源分配图

图例:

示例:

6. 有环有死锁的资源分配图

7. 有环但没有死锁的资源分配图

8. 死锁与资源分配图的关系

9. 处理死锁的方法

版权声明:本文为hpdlzu80100原创文章,遵循CC 4.0 BY-SA版权协议,转载请附上原文出处链接和本声明。
1. 过桥问题

2. 死锁问题

3. 死锁的特征

4. 系统模型

5. 资源分配图

图例:

示例:

6. 有环有死锁的资源分配图

7. 有环但没有死锁的资源分配图

8. 死锁与资源分配图的关系

9. 处理死锁的方法
