线性代数知识点记录
线性方程组是线性代数的核心。
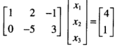
线性方程组是一个或几个包含相同变量x1,x2,...,xn的线性方程组成的。
线性方程组的一组解是一组数。
方程组所有可能的解的集合称为线性方程组的解集。两个线性方程组若有相同的解集,则称为等价的。
相容:一个线性方程组有一个解或无穷多个解
不相容:无解
系数矩阵:把每一个变量的系数写在对齐的一列中

增广矩阵:把系数矩阵添加上一列,内容是方程组右边的常数

线性方程组的解法
思路是把方程组用一个更容易解的等价方程组(既有相同解集)代替
用方程序第一个含x1的项消去其他方程组x1的项,然后用第二个含x2的项消去其他含x2的项,以此类推
三种基本变化
- (倍加变换)把某一个方程换成它与另一个方程的倍数的和
- (对换变换)交换两个方程的位置
- (倍乘变换)把某一个方程的所有项乘以一个非零常数


行化简与阶梯型矩阵
先导元素:该行中最左边的非零元素
阶梯形矩阵三个性质:
1. 每一非零行在每一零行之上
2. 某一行的先导元素所在的列位于前一行先导元素的右面
3. 某一行先导元素所在列下方元素都是零
简化阶梯型-上面基础上添加两个性质
4. 每一非零行的先导元素是1
5. 每一个先导元素1是该元素所在列的唯一非零元素

主元位置:对应于它的阶梯形中先导元素的位置。
主元列:含有主元位置的列




第1~4步称为行化简算法的向前步骤。第5步称为向后步骤
基本变量:主元列的变量称为基本变量
自由变量:其他变量称为自由变量
仅含一列的矩阵称为列向量,简称向量。
向量:仅有一列的矩阵,标记Rn,R是实数集,n是每个向量包含n个数。用(1 2)来表示
线性组合:向量和标量称为线性组合。
Span{v1,v2,...,vn}:所有向量的线性组合。形如:c1v1+c2v2
Ax=b:若A是m*n的矩阵,各列为a1,...,an。若x是Rn中的向量,则A与x的积,记为Ax。就是A的各列以x中对应元素为权的线性组合

注意Ax仅当A的列数等于x中元素个数时才有定义
矩阵方程:Ax=b这种形式的方程。

向量方程:

方程Ax=b有解当且仅当b是A的各列的线性组合
设A是m*n矩阵,下面命题成立
- 对Rn中每个b,方程Ax=b有解
- Rn中每个b都是A的列的一个线性组合
- A的各列生成Rn
- A在每一行都有一个主元位置
点积:矩阵Ax的第一个元素是A的第一行与x中相应元素乘积之和

向量规则:若乘积Ax有定义,则Ax中的第i个元素是A的第i行元素与x的相应元素乘积之和
单位矩阵:主对角线上元素为1,其他位置上元素为0.记为 I.。对于任意R3中的x,Ix=x
齐次线性方程:线性方程组若可以写成Ax=0的形式,称为齐次的。A是m+n矩阵。这样方程组至少有一个解,称为它的平凡解。
平凡解:Ax=0中的零解,即x=0,称为平凡解。
非平凡解:满足Ax=0的非零向量x
齐次方程Ax=0有非平凡解,当且仅当方程至少有一个自由变量
参数向量方程:有时可写为x=su+tv(s,t为实数)

非齐次方程组:当非齐次线性方程组有许多解时,一般可表示为参数向量形式,即由一个向量加上满足对应的齐次方程的一些向量的任意线性组合的形式
线性无关
定义:如果一组向量中的任意一个向量不能表示成其他向量的线性组合,那么这组向量称为线性无关
定义:若向量方程x1v1+x2v2+...+xpvp=0,仅有平凡解。则向量{v1,...,vp}称为线性无关的。
定义:若向量方程c1v1+c2v2+...+cpvp=0,存在不全为零的权c1,...,cp。则向量组{v1,...,vp}称为线性相关的。
方程2称为向量v1,...,vp之间的线性相关关系,其中权不全为零,一组向量为线性相关,它不是线性无关的。


方程有3个基本变量,没有自由变量,因此方程Ax=0仅有平凡解,A的各列是线性无关的。

线性相关集的特征
两个或多个向量的集合S={v1,...,vp}线性相关,当且仅当S中至少有一个向量是其他向量的线性组合,事实上,若S线性相关,且v1 ! = 0,则某个vj(j>1)是它前面几个向量v1,...,vj-1的线性组合
定理:若一个向量组的向量个数超过每个向量元素个数,那么这个向量组线性相关,就是说,Rn中任意向量组{v1,...,vp},当p>n时线性相关
定理:若向量组S={v1,...,vp}包含零向量,则它线性相关
线性变换
矩阵A当做一种对象,通过乘法作用于向量x,产生的新向量称为Ax
例如,方程乘以矩阵A后,将x变成b,将u变成零向量


方程Ax=b就是要求出R^4中所有经过乘以A的作用后变为b的向量x,由x到Ax的对应是由一个向量集到另一个向量集的函数。
由Rn到Rm的一个变换(或称函数、映射)T是一个规则,把Rn中每个向量x对应以Rm中的一个向量T(x),Rn称为T的定义域,而Rm称为T的余定义域(或取值空间)符号T:Rn->Rm说明T的定义域是Rn而余定义域是Rm,对于Rn中向量x,Rm中向量T(x)称为x的像,所有像T(x)的集合称为T的值域

矩阵变换
对Rn中每个x,T(x)由Ax计算得到,其中A是m*n矩阵,有时将这样一个矩阵变换记为x->Ax,当A有n列时,T的定义域为Rn,而当A的每个列有m个元素时,T的余定义域为Rm。T的值域为A的列的所有线性组合的集合
设A=[[1,3],[0,1]],变换T:R2->R2定义为T(x)=Ax称为剪切变换
线性变换
若A是m*n矩阵,则变换x->Ax有以下性质
A(u+v)=Au+Av和A(cu)=cAu
u,v是Rn中任意向量,c是任意数,这些性质若用函数记号来表示,就得到线性代数中最重要的一类变换。
定义:变换T称为线性的,若对T的定义域中一切u,v,T(u+v)=T(u)+T(v)。对一切u和标量c,T(cu)=cT(u)
每个矩阵变换都是线性变换,保持向量的加法运算与标量乘法运算,先将Rn中的u和v相加然后再作用以T的结果T(u+v)等于先把T作用于u和v然后将Rm中的T(u)和T(v)相加。
若T是线性变换,则T(0)=0
且对T的定义域中一切向量u和v以及数c和d有:T(cu+dv)=cT(u)+dT(v)
线性变换的矩阵
从Rn到Rm的每一个线性变换,实际上都是一个矩阵变换x->Ax,而且变换T的性质都归结为A的性质。寻找矩阵A的关键,是了解T完全由它对单位矩阵In的各列的作用所决定


定理:设T:Rn->Rm为线性变换,则存在唯一的矩阵A,使T(x)=Ax,对Rn中一切x。A是m*n矩阵,它的第j列是向量T(ej),其中ej是单位矩阵In的第j列:A=[T(ei) ... T(en)]
存在于唯一性
线性变换的概念给出一种新的了解以前提到的存在唯一性问题的观点
定义:映射T:Rn->Rm称为到Rm上的映射,若Rm中任一b都至少有一个Rn中的x与之对应(也称为满射)
定义:映射T:Rn->Rm称为一对一映射,若Rm中每个b是Rn中至多一个x的项(也称为单射)
定义:设T:Rn->Rm为线性变换,则T是一对一当且仅当方程Ax=0仅有平凡解
定义:设T:Rn->Rm是线性变换,设A为T的标准矩阵,则T把Rn映上到Rm,当且仅当A的列生成Rm。T是一对一的,当且仅当A的列线性无关。
矩阵运算
若A是m*n矩阵,有m行n列。A的第i行和第j列的元素用aij表示,称为A的(i,j)元素。
矩阵相等:若有相同的维数,而对应元素相等。
方阵:行和列相等的矩阵
若A与B都是m*n矩阵,则A+B也是m*n矩阵。各列是A与B对应列之和,因列的向量加法是对应元素相加,A+B的每个元素也就是A与B的对应元素相加。仅当A与B有相同维数,A+B才有定义
定理:ABC是相同维数的矩阵,r与s为数,则满足下面条件
A+B=B+A
(A+B)+C=A+(B+C)
A+0=A
r(A+B)=rA+rB
(r+s)A=rA+sA
r(sA)=(rs)A
矩阵乘法:若A是m*n矩阵,B是n*p矩阵,B的列是b1,...bp,则乘积AB是m*p矩阵。
该乘法操作定义为


∑西格玛,总和符号。例如∑Pi其中i=1,2,那么就是求P1+P2的总和。∑下面的数字表示从几开始求和,上面的数字表示求和到几截止。

下列定理列出了矩阵乘法的重要性质
设A为m*n矩阵,B,C的维度使下列各式的乘积成立
A(BC)=(AB)C 乘法结合律
A(B+C)=AB+AC 乘法左分配律
(B+C)A=BA+CA 乘法右分配律
r(AB)=(rA)B=A(rB)
ImA = A = AIm矩阵乘法的恒等式
矩阵的乘幂:若A是n*n矩阵,k是正整数,则Ak表示k个A相乘。若k=0,则A0x就是x本身,称为单位矩阵
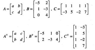
矩阵的转置:给定m*n矩阵A,则A的转置是一个n*m矩阵,用AT表示。对角线左上至右下进行翻转。

设A与B表示矩阵,其维数使下列和与积有定义
(AT)T=A
(A+B)T=AT+BT
(rA)T= rAT
(AB)T= BTAT
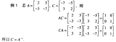
矩阵的逆
矩阵对逆的一般化也要求两个方程同时成立,并避免使用斜线记号表示除法,因为矩阵乘法不是可交换的。
一个n*n矩阵A是可逆的,若存在一个n*n矩阵C使:AC=I 且CA=I
这里I是n*n单位矩阵。此时称C是A的逆阵。若A可逆,它的逆是唯一的,记作A-1
AA-1=I,且A-1A = I
不可逆矩阵有时称为奇异矩阵,而可逆矩阵也称为非奇异矩阵

这里给出2*2矩阵可逆的验证方法,同时给出一个简单的公式给出它的逆矩阵


可逆矩阵在线性代数中很重要,用于在计算和公式推导中。
定理:若A是可逆n*n矩阵,则对每一个Rn中的b,方程Ax=b有唯一解x=A-1b
定理:若A是可逆矩阵,则A-1也可逆而且(A-1)-1=A
若A和B都是n*n可逆矩阵,AB也可逆,且其逆是A和B的逆矩阵按相反顺序的乘积,(AB)-1=B-1A-1
若A可逆,则AT也可逆,且其逆是A-1的转置,即(AT)-1=(A-1)T
初等矩阵
单位矩阵进行一次行变换,就得到初等矩阵

计算E1A,E2A,E3A,说明这些乘积可由A进行变换得到

定理:n*n矩阵A是可逆的,当且仅当A行等价于In,这时把A变成In的一系列初等行变换同时把In变成A-1
求A-1的算法:把增广矩阵[AI]进行行简化,若A行等价于I,则[AI]行等价于[IA-1],否则A没有逆

逆矩阵的另一个观点
用e1,...,en表示In的各列,则把[AI]行变换成[I A-1]的过程可看作解n个方程组,
Ax=e1, Ax=e2,...,Ax=en (1)
其中这些方程组的“增广列”都放在A的右边,构成矩阵
[A e1 e2 ... en]=[AI]
方程AA-1=I及矩阵乘法的定义说明A-1的列正好是方程(1)的解,这一点很有用。如果只需要A-1的一列或两列,这时只需要解(2)中的相应方程
可逆矩阵特征

定理:设A和B为方阵,若AB=I,则A和B都是可逆的,且B=A-1,A=B-1

可逆矩阵定理的作用在于它给出了许多重要概念的联系。
例如矩阵A的列的线性无关性与形如Ax=b的解存在性关联起来。可逆矩阵定理仅能用于方阵。
例如若一个4*3矩阵的列线性无关,不能用可逆矩阵定理断定形如Ax=b的方程的解的存在性或不存在性
可逆线性变换
线性变换T:Rn->Rn称为可逆的,若存在函数S:Rn->Rn使得
1.对所有Rn中的x,S(T(x))=x
2.对所有Rn中的x,T(S(x))=x
下列定理说明若这样的S存在,是唯一的而且必是线性变换,称S是T的逆,把它写成T-1
定理:设T:Rn->Rn为线性变换,A为T的标准矩阵,则T可逆当且仅当A是可逆矩阵,这时由S(x)=A-1x定义的线性变换S是满足上面1,2的唯一函数
分块矩阵
可以把矩阵看做一个数的矩形表,可以把它看做一组列向量。因此想考虑A的其他分块,用水平线和竖直线分成几块。分块矩阵也出现在线性代数的现代应用中,因为这些记号简化了许多讨论,并使矩阵计算中许多本质的结构显露出来。


矩阵因式分解
矩阵A的因式分解是把A表示为两个或更多个矩阵的乘积。矩阵乘法是数据的综合,矩阵因式分解是数据的分解,在计算机科学的语言中,将A表示为矩阵的乘积是对A中数据的预处理,把这些数据组成两个或更多部分,这种结构可能更有用,或者更便于计算。
LU分解
A是m*n矩阵可以行化简为阶梯型而不必行对换,则A可以写成形式A=LU,L是m*m下三角矩阵,主对角线元素全时1,U是A的一个等价的m*n阶梯形矩阵。这样一个分解称为LU分解,矩阵L是可逆的,称为单位下三角矩阵

当A=LU时,方程Ax=b可以写成L(Ux)=b,把Ux写成y,可以由解下面一对方程来求解x:
Ly=b、Ux=y
首先解Ly=b,然后解Ux=y求得x,每个方程都比较容易解,因为L和U都是三角矩阵


Rn的子空间
Rn中重要的向量子集,称为子空间。通常子空间与某个矩阵A有关,提供了关于方程Ax=b的有用信息。
定义:Rn中的一个子空间是Rn中的集合H,具有以下三个性质
1. 零向量属于H
2. 对H中任意的向量u和v,u+v属于H
3. 对H中任意向量u和数c,cu属于H
子空间对加法和标量乘法运算是封闭的。

不通过原点的一条直线不是子空间,因为它不包括原点
仅含零向量的集合,是一个特殊的子空间,也满足子空间的条件,称为零子空间
矩阵的列空间与零空间
应用中,Rn的子空间通常出现以下两种情况中,他们都与矩阵有关
定义:矩阵A的列空间是A的各列的线性组合的集合,记作Col A.
若A=[a1,...,an],它们各列属于Rm,则Col A和Span{a1,...,an}相同。m*n矩阵的列空间是Rm的子空间

定义:矩阵A的零空间是齐次方程Ax=0的所有解的集合,记为Nul A
当A有n列时,Ax=0的解属于Rn,A的零空间是Rn的子集。事实上,Nul A具有Rn的子空间的性质
定理:m*n矩阵A的零空间是Rn的子空间,等价地,n个未知数的m个齐次线性方程的解的全体是Rn的子空间
子空间的基
子空间一般含有无穷多个向量,子空间中的问题最好能够通过研究生成这个子空间的一个小的有限集合来解决,这个集合越小越好。可以证明,最小可能的生成集合必是线性无关的。
定义:Rn中子空间H的一组基是H中一个线性无关集,它生成H
维数与秩
坐标系
选择子空间H的一个基代替一个纯粹生成集的主要原因,是H中的每个向量可以被表示为基向量的线性组合的唯一形式。假设B={b1,...,bp}是H的基,H中的一个向量x可以由两种方式生成,设
#
转载于:https://www.cnblogs.com/chenxygx/p/9934025.html