题目描述,如果没有
这样的限制的话,这题属于一个 easy 的一道题。
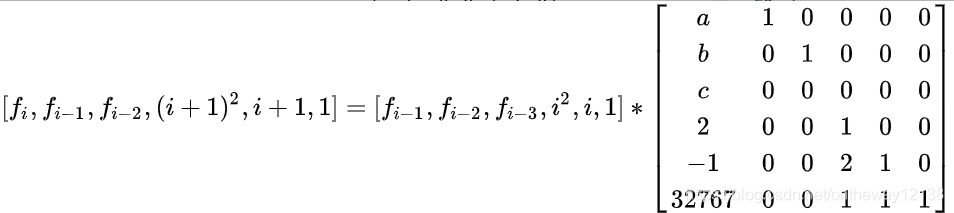
先根据公式计算出对应的矩阵

然后就是矩阵快速幂的套路了,在这里总结一下,后面可以算的快一些
#include <bits\stdc++.h>
using namespace std;
typedef long long ll;
typedef vector<ll> vec;
typedef vector<vec> mat;
const int MODE = 1e9 + 7;
mat multiply(mat& A, mat& B) {
int m = A.size(), n = B[0].size();
mat res(m, vec(n, 0));
// 两个矩阵相乘的算法
for(int i=0; i<m; i++)
for(int j=0; j<n; j++)
for(int k=0; k<A[i].size(); k++)
res[i][j] = (res[i][j] + A[i][k] * B[k][j]) % MODE;
return res;
}
mat pow(mat& A, long long n) {
// 初始为单位矩阵
mat res(A.size(), vec(A.size(), 0));
for(int i=0; i<A.size(); i++)
res[i][i] = 1;
// 通过快速幂算法快速计算矩阵的 n 次方
while(n > 0){
if((n&1) == 1) res = multiply(A, res);
n >>= 1;
A = multiply(A, A);
}
return res;
}
long long getRes(int a, int b, int c, long long n, int f0) {
// 计算得到的矩阵
mat arr{{a, 1, 0, 0, 0, 0},
{b, 0, 1, 0, 0, 0},
{c, 0, 0, 0, 0, 0},
{2, 0, 0, 1, 0, 0},
{-1, 0, 0, 2, 1, 0},
{32767, 0, 0, 1, 1, 1}};
mat res = pow(arr, n);
// 当 i 取 1 时的初始值
mat F = {{f0, 0, 0, 1, 1, 1}};
res = multiply(F, res);
return res[0][0] % MODE;
}
int main(){
ll n;
int a, b, c, f0;
cin >> n >> a >> b >> c >> f0;
long long res = getRes(a, b, c, n, f0);
cout << res << endl;
return 0;
}

版权声明:本文为ontheway12138原创文章,遵循CC 4.0 BY-SA版权协议,转载请附上原文出处链接和本声明。